Новости
9 мая
08.05.2026

8 мая 2026 года в читальном зале библиотеки состоялся расширенный Ученый совет ИМХ РАН, посвященный 81 годовщине Победы в Великой Отечественной войне 1941-1945 гг.
С вступительным словом выступил директор Института, академик РАН И.Л. Федюшкин.
Младший научный сотрудник М.Д. Гришин выступил с сообщением «Кровопролитные бои за освобождение Будапешта и Вены».
Сотрудники Института поделились своими воспоминаниями о родственниках – героях-участниках Великой Отечественной войны.
В ИМХ РАН открыта вакансия научного сотрудника
05.05.2026
Федеральное государственное бюджетное учреждение науки Институт металлоорганической химии им. Г.А. Разуваева Российской академии наук объявляет конкурс на замещение следующих вакантных должностей:
- научный сотрудник лаборатории лиганд-промотируемых реакций и комплексов редкоземельных элементов
одна вакансия
Для участия в конкурсе претендентам необходимо разместить свою заявку на портале вакансий. Срок подачи документов до 16:00 25 мая 2026 г. Дополнительная информация по телефону +7 (831) 4626571.
XXIX Всероссийская конференция молодых учёных-химиков
29.04.2026
С 20 по 25 апреля 2026 г. в Нижнем Новгороде на базе ННГУ им. Н.И. Лобачевского состоялась XXIX Всероссийская конференция молодых учёных-химиков.
Традиционно мероприятие собрало молодых учёных, аспирантов и студентов, став площадкой для научного диалога, обмена опытом и профессионального развития. В очном формате в конференции участвовали 350 исследователей из 102 образовательных, научных и промышленных организаций, представлявших 40 городов России — от Санкт-Петербурга до Владивостока.
Сотрудники ИМХ РАН традиционно приняли активное участие в работе конференции: студенты и аспиранты выступили с докладами, а более опытные специалисты вошли в состав экспертного жюри.
Устные доклады наших молодых ученых:
- Созинова Юлия «Многосторонняя химия dpp-bianH2 как безметалльного (Metal-Free) восстановителя»,
- Гусев Артем «Синтез пористых фотополимеров на основе диметакрилата этиленгликоля с добавлением триметакрилата висмута»,
- Буханов Михаил «Галогениды и фосфаэтиноляты металлов 13-ой группы с аценафтен-1,2-дииминовыми и карбеновыми лигандами»,
- Мельникова Валентина «Синтез имидов германия (II), свинца (II) и лантаноидов (II) с использованием объёмного 2,6-дибензгидрил-4-метиланилина»,
- Бондарев Артем «Новые гетероспиновые комплексы металлов с радикалами Блаттера».
Доклад Бондарева Артёма отмечен Дипломом II степени в секции «ХИМИЯ ЭЛЕМЕНТООРГАНИЧЕСКИХ И КОМПЛЕКСНЫХ СОЕДИНЕНИЙ». Поздравляем!

Вакансия заместителя директора по научной работе
17.04.2026
Федеральное государственное бюджетное учреждение науки Институт металлоорганической химии им. Г.А. Разуваева Российской академии наук объявляет конкурс на замещение следующих вакантных должностей:
- Заместитель директора по научной работе
одна вакансия
Для участия в конкурсе претендентам необходимо разместить свою заявку на портале вакансий. Срок подачи документов до 16:00 7 мая 2026 г. Дополнительная информация по телефону +7 (831) 4626571.
Конкурс был проведён 8 мая 2026 года. По решению конкурсной комиссии на должность заместителя директора по научной работе избран чл.-корр. РАН Александр Владимирович Пискунов.
В ИМХ РАН открыты вакансии научных сотрудников
16.04.2026
Федеральное государственное бюджетное учреждение науки Институт металлоорганической химии им. Г.А. Разуваева Российской академии наук объявляет конкурс на замещение следующих вакантных должностей:
- Научный сотрудник лаборатории металлокомплексов с редокс-активными лигандами
одна вакансия
Для участия в конкурсе претендентам необходимо разместить свою заявку на портале вакансий. Срок подачи документов до 16:00 6 мая 2026 г. Дополнительная информация по телефону +7 (831) 4626571.
Конкурс был проведён 7 мая 2026 года. По решению конкурсной комиссии на должность научного сотрудника избран к.х.н. Алексей Александрович Золотухин.
Hot article
15.04.2026
Статья сотрудников ИМХ РАН Gallium phosphaketenes derived from bis(imino)acenaphthenes (bian): synthesis and reactivity towards a trityl radical and bian-gallylene попала в подборку Hot atricles журнала Dalton Transactions.
В раздел Hot atricles входят исследования, отмеченные рецензентами как наиболее интересные и значимые для мирового химического сообщества.

Наука заказов
С 8 по 10 апреля 2026 года сотрудники ИМХ РАН принимали участие в интенсиве «Наука заказов. Нижний Новгород».
Цель интенсива — дать участникам готовые инструменты для перехода от лабораторных исследований к реальным контрактам с промышленными предприятиями.
Три насыщенных дня эксперты из бизнеса, науки и органов власти разбирали ключевые вопросы взаимодействия науки и реального сектора экономики.
Организаторы мероприятия: АНО “Нижегородский НОЦ”, АНО “Проектный офис Стратегии развития Нижегородской области”.

Большая химия в небольшом институте
Директор ИМХ РАН академик Игорь Леонидович Федюшкин на обложке журнала Поиск-НН.

Новости РНФ
02.04.2026
Российский научный фонд подвел итоги конкурса проектов фундаментальных научных исследований и поисковых научных исследований отдельными научными группами, а также конкурса на продление сроков выполнения проектов по данному мероприятию.
В конкурсе проектов отдельных научных групп поддержку РНФ получил проект ведущего научного сотрудника ИМХ РАН д.х.н. А.Н. Корнева “Многопалубные диазадифосфапенталены и комплексы диазадифосфапенталенов с переносом заряда в оптоэлектронике”.
В конкурсе проектов отдельных научных групп – продление поддержку получили 2 проекта сотрудников ИМХ РАН:
- “Теоретико-экспериментальный дизайн металлокомплексных платформ на основе O-, N- и C-координированных металламакроциклических и ароматических лигандов для современных наукоемких технологий” д.х.н. С.Ю. Кеткова
- “Новые катализаторы образования связей C-C, C-N, C-P и C-Si на основе комплексов редко- и щелочноземельных металлов” к.х.н. Д.М. Любова.
Поздравляем!
Юбилей
27.03.2026
13 марта 2026 года в Нижегородском Доме ученых собрались представители ведущих химических институтов нашей страны, чтобы поздравить с 60-летием директора ИМХ РАН академика Игоря Леонидовича Федюшкина. Лично поздравить юбиляра приехали академик В.И. Бухтияров (директор ИК СО РАН, Новосибирск), академик А.В. Кучин (Институт химии ФИЦ Коми НЦ УрО РАН, Сыктывкар), академик Ю.Г. Горбунова (ИОНХ РАН, Москва), академик А.О. Терентьев (директор ИОХ РАН, Москва), академик А.Л. Максимов (директор ИНХС РАН, Москва), член-корреспондент А.А. Карасик (руководитель ИОФХ им. А.Е. Арбузова, Казань), член-корреспондент А.А. Трифонов (директор ИНЭОС РАН, Москва), член-корреспондент В.Г. Ненайденко (МГУ), профессор РАН С.С. Карлов (и.о. декана химического факультета МГУ), профессор РАН Н.В. Белкова (ИНЭОС РАН, Москва), профессор РАН С.З. Вацадзе (ИОХ РАН, Москва) и д.х.н. С.Н. Конченко (ИНХ СО РАН, Новосибирск).
С поздравительным словом от Нижегородского региона выступили заместитель Председателя Правительства Нижегородской области Е.С. Солнцева, ректор Приволжского исследовательского медицинского университета Н.Н. Карякин, заведующий кафедрой органической химии химического факультета ННГУ член-корреспондент РАН А.Ю. Федоров, начальник отдела Министерства образования и науки Нижегородской области И. А. Зверева и сотрудники ИМХ РАН.

Итоги РДРЗ-2026
18.03.2026
С 11 по 13 марта 2026 года в Нижнем Новгороде прошла очередная Всероссийская конференция с международным участием «IX Российский День редких земель», которая традиционно собирает ведущих учёных со всей России, работающих в области химии редкоземельных металлов.
В работе конференции приняло участие более 60 ученых из 40 различных организаций из 17 городов России (Апатиты, Екатеринбург, Казань, Нижний Новгород, Москва, Новосибирск, Тюмень, Кемерово, Уфа, Томск, Владивосток, Дубна, Фрязино, Долгопрудный, Зеленоград, Самара, Ростов-на-Дону).
Научная программа конференции охватывала все важнейшие аспекты и общемировые тенденции в химии редкоземельных металлов (РЗМ): органические, неорганические, координационные и гибридные производные, а также неорганические материалы на основе РЗМ. В ходе работы Конференции ведущими учеными России – академиком РАН Ю.Г. Горбуновой, членом-корреспондентом РАН А.А. Трифоновым, д.х.н. С.Н. Конченко, д.х.н. И.В. Тайдаковым, д.х.н. С.З. Вацадзе, к.х.н. Д.М. Ройтерштейном, д.х.н. В.В. Уточниковой – были сделаны пленарные доклады. Также было представлено 27 устных и 15 стендовых докладов.
Мы благодарим всех участников! До новых встреч в Нижнем Новгороде!
Поздравляем!
13.03.2026

13 марта 2026 года директор ИМХ РАН академик Игорь Леонидович Федюшкин отмечает 60-летие!
Ведущий российский ученый-химик, специалист в области органических производных непереходных металлов и редкоземельных элементов, ученый с мировым именем.
Лауреат премии Фридриха Вильгельма Бесселя (Германия), премии «100 Талантов» (КНР), награжден медалью ордена «За заслуги перед Отечеством» II степени и другими наградами.
Область научных интересов Федюшкина И.Л. – высоко реакционноспособные элементоорганические соединения на основе элементов главных подгрупп и лантаноидов. Занимаясь разработкой дизайна элементоорганических соединений непереходных и редкоземельных металлов с редокс-активными лигандами и тонкой настройкой их химического поведения, Федюшкин И.Л. разработал эффективные и экологически безопасные реагенты и катализаторы реакций органического синтеза.
Под руководством Игоря Леонидовича разработаны эффективные инициаторы полимеризации циклических сложных эфиров (ε-капролактон, L-лактид). Образующиеся биосовместимые и биоразлагаемые полимеры нашли применение в медицине и фармацевтике.
Многие годы он является членом редакционной коллегии журналов «Известия Академии наук. Серия химическая» и «Журнал общей химии», членом научных советов РАН по органической химии, физической химии, медицинской химии, членом бюро отделения химии и наук о материалах РАН.
Коллектив ИМХ РАН поздравляет Игоря Леонидовича с юбилеем! Желаем ему крепкого здоровья, благополучия и всего самого доброго!
Новости РНФ
10.03.2026
Российский научный фонд подвел итоги регионального конкурса проектов поисковых исследований в целях эффективного использования и развития научного потенциала субъектов Российской Федерации.
По результатам проведенной экспертизы поддержку получили 36 проектов из 11 регионов России. Среди них проект сотрудника ИМХ РАН Батенькина Максима Александровича “Разработка прототипа инкапсулятора для клеток и малых молекул”.
Поздравляем!
В ИМХ РАН открыты вакансии научных сотрудников
06.03.2026
Федеральное государственное бюджетное учреждение науки Институт металлоорганической химии им. Г.А. Разуваева Российской академии наук объявляет конкурс на замещение следующих вакантных должностей:
- Старший научный сотрудник лаборатории металлокомплексного катализа
одна вакансия - Старший научный сотрудник лаборатории фотополимеризации и полимерных материалов
три вакансии
Для участия в конкурсе претендентам необходимо разместить свою заявку на портале вакансий. Срок подачи документов до 16:00 26 марта 2026 г. Дополнительная информация по телефону +7 (831) 4626571.
Тримерный трирадикальный комплекс галлия
Полиядерные соединения представляют собой молекулярные структуры, включающие несколько атомов металла, связанных между собой либо напрямую, либо посредством мостиковых лигандов. Такие соединения активно используются в катализе, биомедицине и материаловедении благодаря своим уникальным физическим и химическим свойствам. Их применяют для повышения эффективности промышленных процессов, разработки новых лекарственных препаратов и создания инновационных материалов.
Сотрудники ИМХ РАН синтезировали уникальный тримерный трирадикальный катехолат галлия, использовав редокс-активный 3,6-ди-2-пиридил[1,2,4,5]тетразин. Полученный комплекс формирует стабильный металлоциклический треугольник, содержащий три тетразиновых лиганда в анион-радикальном состоянии.

Это соединение является первым примером подобной структуры на основе непереходного металла, что позволило изучить обменные магнитные взаимодействия между парамагнитными фрагментами тетразина, не осложненные участием металлического центра.
Результаты работы опубликованы в журнале Inorganic Chemistry Communications.
Динамические процессы в химии элементоорганических соединений
С 24 по 27 февраля 2026 г. в ИОФХ им. А.Е. Арбузова в г. Казань состоялась V Научная конференция «Динамические процессы в химии элементоорганических соединений», посвященная 70-летию академика О.Г. Синяшина. Академик Синяшин – крупный специалист в области органической и медицинской химии, химии элементоорганических и координационных соединений и наноматериалов.
В рамках мероприятия директор ИМХ РАН академик И.Л. Федюшкин выступил с пленарной лекцией “Универсальный катализатор реакций цепной полимеризации”.
Устные доклады представили сотрудники Института:
Владимир Додонов “Димерные имиды тяжелых элементов 14 группы: взаимосвязь структуры, динамики остова и фотофизических свойств” и Анастасия Тараканова “Эффективные фотоинициаторы в видимом диапазоне на основе триалкилзамещенных о-хинонов для глубокого отверждения композиционных толстых полимерных слоев”. По итогам работы конференции Анастасия награждена дипломом за лучший устный доклад в молодежной сессии!
Множественное кооперативное связывание в биметаллических гидридах
20.02.2026
Ученые из Института металлоорганической химии им. Г.А. Разуваева РАН синтезировали гетеробиметаллические гидриды алюминий-переходный металл с использованием стерически затрудненного редокс-активного лиганда. Для объяснения стабильности полученных соединений предложена модель множественного кооперативного связывания.

Гидриды металлов главных подгрупп привлекают значительное внимание благодаря потенциалу их применения в хранении водорода и органическом синтезе. Повышение эффективности гидридов в этих областях может быть достигнуто путем их комбинирования с переходными металлами. В контексте дегидрирования металлы побочных подгрупп обеспечивают более низкую энергию активации и повышают эффективность выделения водорода. Что касается восстановительной способности, ожидается, что активация связей M–H на центрах переходных металлов приведет к созданию нового поколения восстановительных систем благодаря их кооперативному поведению. В большинстве случаев реакции гидридов элементов 13-й группы с производными переходных металлов приводят к образованию σ-комплексов, стабилизированных за счет донирования электронов связи M–H на вакантную орбиталь центра переходного металла. Более редкими путями являются перенос гидридного лиганда (окислительное присоединение) или восстановительное элиминирование.
Сотрудники ИМХ РАН показали, что стратегическое использование стерически затрудненного редокс-активного лиганда ArBIG-bian (ArBIG-bian = 1,2-бис[(2,6-дибензгидрил-4-метилфенил)имино]аценафтен) позволяет сформировать центры Al(μ2-H)2TM (TM = Cr, Mo, W, Ni, Er), стабильность которых обусловлена не одним классическим взаимодействием, а уникальным синергизмом трех факторов: ковалентного связывания в гидридных мостиках Al(μ2-H)2TM, прямого взаимодействия TM–Al и внутримолекулярного электростатического взаимодействия между локализованными формальными зарядами. В отличие от ранее известных систем, такое множественное связывание представляет собой исключительный случай. Предложенная модель связывания, подтвержденная детальными расчетами методом DFT, выгодно отличает полученные соединения от описанных ранее аналогов.
Проведенное исследование не просто описывает новые гетеробиметаллические гидриды, но и дает глубокое понимание неклассических типов связывания, которые обеспечивают существование этих структур. Кроме того, ученые обнаружили беспрецедентный пример кооперативной реакционной способности, в котором фрагмент Al(μ2-H)2Mo активирует связь N–H в аммиаке — превращение, ранее не описанное для гидридов непереходных металлов.
Результаты исследования, поддержанного грантом Российского научного фонда, опубликованы в журнале Inorganic Chemistry Frontiers.
В ИМХ РАН открыта вакансия главного научного сотрудника
19.02.2026
Федеральное государственное бюджетное учреждение науки Институт металлоорганической химии им. Г.А. Разуваева Российской академии наук объявляет конкурс на замещение следующей вакантной должности:
- Главный научный сотрудник лаборатории металлокомплексов с редокс-активными лигандами
одна вакансия (¼ ставки по совместительству)
Для участия в конкурсе претендентам необходимо разместить свою заявку на портале вакансий. Срок подачи документов до 16:00 11 марта 2026 г. Дополнительная информация по телефону +7 (831) 4626571.
Результаты конкурса научно-исследовательских работ молодых учёных
13.02.2026
Поздравляем победителей IV конкурса научно-исследовательских работ молодых ученых ИМХ РАН, посвященного памяти Г.А. Разуваева, прошедшего в ИМХ РАН 12 февраля.
- Первое место
Колеватов Д.С. (лаб. МРАЛ) - Второе место
Тараканова А.Е. (лаб. ФППМ) - Третье место
Пашков А.А. (лаб. ФППМ)
Кушнерова О.А. (лаб. ФМОС)
Обзор
10.02.2026
В Журнале общей химии опубликован коллективный обзор, посвященный достижениям российских химиков в области практически ориентированной органической химии за последние 10 лет. В обзоре представлены достижения ведущих исследовательских групп, представляющих как институты РАН, так и российские университеты, от Калининграда до Сибири.
Сотрудники ИМХ РАН представили главу 2.18. “Карбонилсодержащие фотоинициаторы для одно- и двухфотонной полимеризации”

Фотопроводящие кристаллы на основе фосфорорганических соединений
09.02.2026
Сотрудники Института металлоорганической химии им. Г.А. Разуваева РАН синтезировали комплексы с переносом заряда на основе фосфорорганических соединений класса диазадифосфапенталенов (DDP) и тетрацианобензола (TCNB). Путем супрамолекулярной сборки с комбинацией π-донорных (DDP) и π-акцепторных молекул (TCNB) удалось получить кристаллы, обладающие фотопроводимостью.

3а,6а-Диаза-1,4-дифосфапенталены (DDP) относятся к семейству 10π-электронных ароматических гетероциклов и отличаются от других фосфорсодержащих ароматических гетероциклов высокой π-донорной способностью и склонностью к образованию комплексов с переносом заряда с органическими π-акцепторами.
D/A-кристаллы, состоящие из доноров (D) и акцепторов (A) электронов, благодаря своим уникальным оптическим свойствам представляют собой перспективные структуры для фоточувствительных устройств, таких как солнечные элементы, светоизлучающие диоды и датчики света. Известно, что D/A-кристаллы с TCNB в качестве акцептора функционируют как источники света в широком диапазоне, от синего до оранжевого цвета, в зависимости от химической структуры донора.
Сотрудниками ИМХ РАН получена серия комплексов с переносом заряда, где в качестве доноров выступают диазадифосфапенталены с тиенильными заместителями, а в качестве акцепторов – молекулы тетрацианобензола. Проведенные исследования показали, что состав и структура образующихся комплексов существенно зависят от периферийных заместителей в DDP. Не смотря на ограниченную растворимость полученных соединений, ученым удалось вырастить кристаллы и впервые измерить фотопроводимость для D/A-комплекса вида DDP-TCNB.

В отсутствие освещения при напряжении 40 В сила тока, проходящего через кристалл, составляет 0.02 нА. При освещении кристаллов имитатором солнечного света проводимость возрастает в 70 раз – до 1.4 нА. Время отклика составляет не более 1 секунды. Высокие фотопроводящие характеристики достигаются благодаря особой кристаллической упаковке, способствующей эффективной фотогенерации и быстрому переносу носителей заряда.
Результаты работы опубликованы в журнале ChemPlusChem.
Благодарственные письма Правительства Нижегородской области
06.02.2026
5 февраля 2026 года более 100 представителей научного сообщества приняли участие во встрече, организованной Правительством Нижегородской области и посвященной будущему научно-технологического развития региона, в преддверии Дня российской науки.
В рамках мероприятия были представлены структура, функционал и задачи, поставленные перед министерством науки и высшего образования региона, созданного в начале 2026 года, а также состоялось награждение нижегородцев за вклад в научно-технологическое развитие.
За добросовестный труд, высокий профессионализм, достигнутые результаты в развитии научно-образовательного комплекса Нижегородской области, и в связи с празднованием Дня российской науки благодарственными письмами Правительства Нижегородской области награждены сотрудники ИМХ РАН:
Ксения Арсеньева, Максим Жеребцов и Светлана Бухвалова!

В ИМХ РАН открыты вакансии научных сотрудников
05.02.2026
Федеральное государственное бюджетное учреждение науки Институт металлоорганической химии им. Г.А. Разуваева Российской академии наук объявляет конкурс на замещение следующих вакантных должностей:
- Заведующий лаборатории лиганд-промотируемых реакций
одна вакансия (½ ставки по совместительству) - Заведующий лаборатории комплексов редкоземельных элементов
одна вакансия (½ ставки по совместительству) - Заведующий лаборатории функциональных металл-органических соединений
одна вакансия (½ ставки по совместительству) - Заведующий лаборатории фотополимеризации и полимерных материалов
одна вакансия (½ ставки по совместительству) - Заведующий лаборатории цифровой и структурной химии металлокомплексов
одна вакансия (½ ставки по совместительству) - Заведующий лаборатории физико-химических исследований
одна вакансия (½ ставки по совместительству)
Для участия в конкурсе претендентам необходимо разместить свою заявку на портале вакансий. Срок подачи документов до 16:00 25 февраля 2026 г. Дополнительная информация по телефону +7 (831) 4626571.
Электрофильный карбазолид лития как эффективная ловушка для литийорганических соединений
02.02.2026
Объединенным коллективом ученых из Института металлоорганической химии им. Г.А. Разуваева РАН и Института элементоорганических соединений им. А.Н. Несмеянова РАН (г. Москва) продемонстрирована возможность разрушения полиядерных литий-органических ассоциатов (n-BuLi)6, (Me3SiCH2Li)6, (tBuLi)4 за счет их комплексообразования с высокоэлектрофильным карбазолидом лития, выступающим в роли “ловушки” для дискретных литий-органических фрагментов. Мономерные алкильные звенья располагаются в полости, образованной шестью изопропильными заместителями арильных фрагментов карбазольного лиганда, в так называемом липофильном кармане, и прочно удерживаются в нем за счет комплексообразования с двумя координационно-ненасыщенными литиевыми центрами. С применением данного подхода впервые был синтезирован комплекс, содержащий мономерный n-BuLi фрагмент.

Проведённый совместно с сотрудниками ИНЭОС РАН квантовохимический анализ показал, что карбанионный фрагмент обладает выраженной донорной способностью по отношению к двум металлоцентрам, образуя прочные связи с энергиями взаимодействия в диапазоне от 5.4 до 12.3 ккал/моль. Экспериментальные и расчетные исследования подтвердили резкое снижение энергии связывания карбаниона с двумя литиевыми центрами при переходе от н-бутильного к трет-бутильному фрагменту вследствие пространственных затруднений.
В дальнейшем ученые планируют исследовать реакционную способность синтезированных биметаллических комплексов, в том числе в реакциях СН активации субстратов с подвижным ионом водорода. Это поможет раскрыть потенциал полученных комплексов в новых перспективных каталитических превращениях. Работа опубликована в журнале Dalton Transactions.
Ярче и дешевле
27.01.2026
В декабрьском номере журнала ПОИСК-НН опубликована статья о достижениях сотрудников ИМХ РАН в области создания новых эффективных люминофоров на основе олова и германия.

Металлоорганические соединения сурьмы(V) как агенты для фототермической терапии
21.01.2026
Сотрудники Института металлоорганической химии им. Г.А. Разуваева РАН синтезировали соединения сурьмы(V) на основе редокс-активных тетрадентатных ONNO-лигандов. Комплекс сурьмы, содержащий фенилендииминовый фрагмент, продемонстрировал способность преобразовывать энергию света ближнего ИК-диапазона в тепло с эффективностью 57%, что делает его перспективным агентом для фототермической терапии опухолей.

Фототермическая терапия (ФТТ) — это современный неинвазивный метод борьбы с онкологическими заболеваниями. В организм вводятся специальные агенты-сенсибилизаторы, которые накапливаются в опухоли. При облучении безопасным инфракрасным светом эти соединения превращают световую энергию в тепло, буквально «сжигая» раковые клетки изнутри, не затрагивая здоровые ткани. Ключевая задача — создать стабильные, эффективные и биосовместимые сенсибилизаторы.
Группа исследователей из ИМХ РАН синтезировала и изучила фототермические свойства координационных соединений сурьмы(V) на основе тетрадентатных ONNO-лигандов. Комплекс с фенилендиаминовым фрагментом эффективно поглощает излучение с длиной волны 808 нм, идеальной для глубокого проникновения в ткани. При облучении лазером разбавленный раствор комплекса нагревается с 25°C до 41°C за 15 минут. Рассчитанный коэффициент конверсии света в тепло составил 57% — это уровень ведущих фотосенсибилизаторов на основе наночастиц благородных металлов, полупроводников или графена. После пяти последовательных циклов облучения и нагрева комплекс не разлагается и полностью сохраняет как свою химическую структуру, так и фототермическую активность. Это решает одну из главных проблем многих агентов — быстрое разрушение в процессе работы.
Таким образом, выполненное исследование доказалоперспективу использования недорогих координационных соединений как высокоэффективных фототермических агентов нового поколения. В дальнейшем учёные планируют модифицировать структуру лигандов для комплексов данного типа с целью улучшения растворимости в водных средах и биосовместимости.
Результаты исследования опубликованы в журнале Dalton Transactions.
Топ-50 статей в ведущих журналах с участием российских учёных в 2025 году
16.01.2026
В конце 2025 года команда проекта CoLab традиционно опубликовала подборку наиболее заметных исследовательских публикаций с участием российских научных коллективов, вышедших в ведущих международных журналах.
Критериев отбора было 2:
1) Высокий импакт-фактор журнала
2) В коллективе должны быть авторы преимущественно с российской аффилиацией
Сороковую строчку рейтинга заняла статья сотрудников ИМХ РАН “Intermolecular Lithium η2-Alkene and κ2-Alkane Complexes: Synthesis, Bonding, and Facile Interconversion” в Journal of the American Chemical Society (IF=15.6).
ФОХ-2025
23.12.2025
Молодые ученые ИМХ РАН приняли участие во Всероссийской открытой научной конференции студентов академических групп Химического факультета МГУ, которая прошла 29 ноября 2025 года в Институте органической химии им. Н.Д. Зелинского РАН (ИОХ РАН) в г. Москва.
Студент лаборатории ФППМ Павел Киянкин с докладом на тему “УФ-отверждаемые композиции Al2O3 – ди(мет)акрилат бутандиола и «зеленые тела» на их основе” отмечен дипломом за лучший устный доклад. И дипломом за лучший стендовый доклад награждена аспирант лаборатории ЛПР Юлия Созинова, выступившая с сообщением “Универсальный донор электронов: dpp-bianh2 как ключ к селективному восстановлению” .
Поздравляем!
Созданы материалы для OLED устройств и термосенсоров рекордной яркости
16.12.2025
Коллектив ученых из Института металлоорганической химии им. Г.А. Разуваева РАН (Нижний Новгород) и Северо-Западного университета (Сиань, Китай) разработал новый класс люминесцентных соединений на основе двухвалентного германия.

Несмотря на то, что элементы главной подгруппы (такие как германий) считаются перспективной альтернативой дорогим редкоземельным металлам, создание эффективных излучателей на их основе долгое время оставалось сложной задачей. Авторам исследования удалось синтезировать уникальные димерные комплексы, квантовый выход фотолюминесценции которых в твердом состоянии достигает рекордных 76%. Этот показатель почти в пять раз превосходит результаты всех ранее известных молекулярных эмиттеров на основе германия.
Ключом к успеху стала химическая модификация структуры атомами хлора, которая позволила создать особую кристаллическую упаковку, усиливающую свечение за счет жесткой фиксации молекул. Полученные материалы обладают высокой термической стабильностью, что делает их пригодными для напыления и использования в создании органических светодиодов (OLED) нового поколения. Кроме того, интенсивность и время свечения новых комплексов меняются в зависимости от температуры, что позволяет использовать их в качестве высокочувствительных люминесцентных термометров.
Компьютерное моделирование подтвердило, что высокая эффективность обусловлена механизмом фосфоресценции, поддерживаемым особым типом вибронного взаимодействия. Открытие демонстрирует огромный потенциал доступных p-элементов для создания дешевых и эффективных оптических устройств.
Результаты исследования, выполненного при поддержке Российского научного фонда (грант №23-73-10150), опубликованы в журнале Dalton Transactions.
Благодарность РСОШ 2025
02.12.2025

Благодарность
01.12.2025
Внимание, внимание!
Уважаемые коллеги, ознакомьтесь с обращением директора института, академика РАН И.Л. Федюшкина.
«Уважаемые коллеги, в пятницу, 28 ноября с.г. мне сообщили прекрасную новость – усилиями трех сотрудников нашего института отремонтированы три научных прибора. Это сделала группа по-настоящему народных умельцев, Лесковских левшей, в которую входят: снс, кхн Ю.В. Полуштайцев, снс, кхн Р.С. Ковылин, стажер-исследователь А.Н. Остросаблин. Особо хочу подчеркнуть, что наши коллеги, проявив изобретательность, смекалку, инженерные знания, реанимировали приборы, которые не смогли отремонтировать профессиональные наладчики.
Уважаемые Юрий Викторович, Роман Сергеевич, Антон Николаевич! Объявляю вам благодарность и назначаю в декабре с.г. денежное вознаграждение за работу, необусловленную трудовым договором, а выполненную по зову сердца. Вы – настоящие патриоты института».
Новости РНФ
Российский научный фонд подвел итоги конкурса проектов фундаментальных научных исследований и поисковых научных исследований малыми отдельными научными группами. По результатам экспертизы поддержку получили 4 проекта сотрудников ИМХ РАН:
Полякова С.К. «Люминесцентные материалы на основе соединений двухвалентных лантаноидов с цианометаллатами переходных металлов»
Золотарева Н.В. «Комплексы с переносом заряда на основе диазадифосфапенталенов как новая платформа для метериалов органической электроники»
Малеева А.В. «Стабильные полигетероспиновые комплексы металлов с радикалами Блаттера, как платформы для перспективных молекулярных магнитных материалов: синтез и изучение магнитных свойств»
Любова Т.С. «Антраценсодежащие (бис)оксимовые эфиры как фотоинициаторы типа Норриш I для одно- и двухфотонной фотополимеризации»
Поздравляем!
Постичь пределы: флешки с молекулу помогут хранить недосягаемые объемы памяти
24.11.2025
Исследователи из Института элементоорганических соединений имени А.Н. Несмеянова РАН (Москва) и Института металлоорганической химии им. Г.А. Разуваева РАН (Нижний Новгород) с коллегами синтезировали стабильные металлорганические комплексы редкоземельных металлов, часть из которых продемонстрировала свойства молекулярных магнитов в приложенном магнитном поле.
Новые соединения имеют сэндвич-структуру: ион металла (иттрия или лантаноидов тербия, диспрозия, гольмия и эрбия) в них заключен между двумя параллельно расположенными плоскими лигандами — фрагментами органических молекул. Эксперименты показали, что такие комплексы устойчивы к воздействию воздуха и влаги, а также способны выдерживать возгонку в вакууме (переход в газообразное состояние). Благодаря этим свойствам их можно применять для создания новых функциональных материалов, композитов и пленок.
Потенциально они могут лечь в основу новых носителей информации с недоступным на сегодняшний день объемом памяти. Это в свою очередь позволяет вывести на новый уровень миниатюризацию электронных устройств, а также позволит создать новые функциональные материалы и сенсоры. Подробнее о технологии — в материале «Известий».

Наука и жизнь
07.11.2025
Директор Института металлоорганической химии им. Г.А. Разуваева РАН академик Игорь Леонидович Федюшкин прокомментировал Нобелевскую премию по химии для журнала Наука и жизнь.
“Металл-органические каркасы – это супрамолекулярные образования. В них каждый молекулярный фрагмент связан с соседними, давая двух- и трёхмерные структуры, размер которых ограничен размерами кристалла, который они образуют. Есть выражение: «Природа не терпит пустоты» – это не про металл-органические каркасы. Как раз наоборот, из-за структурных факторов в таких системах возникают пустоты и полости. Это и обуславливает большие перспективы применения таких соединений, например, для разделения близких по объему и геометрии молекул, вроде бензола и циклогексана. Выдающиеся работы в этой области выполнены под руководством академика Владимира Петровича Федина в новосибирском Академгородке.
В Институте металлоорганической химии в Нижнем Новгороде тоже исследуются металл-органические каркасы. Так, несколько лет назад была решена проблема их контролируемой сборки. Образующиеся трёхмерные структуры, как правило, нерастворимы и не могут быть обратно «разобраны на молекулы», что иногда требуется и происходит, например, во время перекристаллизации с целью очистки от примесей или получения более крупных кристаллов. Супрамолекулярная сборка в наших системах контролируется переносом электрона между двумя разными реагентами. Когда электрон переносится с молекулы донора на молекулу акцептора получаются другие по свойствам молекулы, которые и собираются в бесконечные одно- или двумерные сетки. Они, как и все МОК нерастворимы. Однако можно подобрать растворитель, в котором полученные каркасы немного растворимы. При их растворении и сольватации происходит обратный перенос электрона и образуются исходные реагенты.
В работах академика Владимира Петровича Федина получены фундаментальные результаты, имеющие перспективы широкого практического применения. Например, полученные в его группе МОК способны эффективно разделять смесь этан/этилен, последний производится в промышленности в огромном количестве и его очистка от примеси этана важная прикладная задача. При этом можно разделять и, как кажется, неразделяемые смеси, например, лёгких углеводородов: метана, этана и пропана, в чём также нуждается нефте- и газодобывающая промышленность. На основе МОК академиком Фединым созданы протон-проводящие материалы, которые могут найти применение при создании химических источников тока. Большие перспективы имеют МОК для применения в катализе реакций органического синтеза, в качестве резервуаров для хранения газов, например, СО2, а также в качестве сенсоров и даже элементов защиты от подделок.”
Ярко светящиеся комплексы олова — альтернатива дорогим материалам для OLED-дисплеев
06.11.2025
Сотрудники ИМХ РАН синтезировали новые соединения на основе олова, демонстрирующие рекордный для этого элемента квантовый выход фосфоресценции.
Фосфоресценция — способность материала испускать свечение под действием излучения определенных длин волн — лежит в основе ярких и энергоэффективных экранов смартфонов и телевизоров, световых панелей и других устройств.
До сих пор лучшими фосфоресцирующими материалами считались комплексы иридия, платины и других редких переходных металлов. Их дефицит и высокая стоимость подталкивают к поиску альтернатив. Ими могут стать олово, висмут и сурьма. Олово особенно интересно из-за склонности к красно-оранжевому свечению. Однако стабильные при комнатной температуре и одновременно интенсивно излучающие молекулярные соединения олова встречались крайне редко.
Исследователи синтезировали серию из восьми новых оловоорганических комплексов с ярким оранжевым свечением. Квантовый выход фосфоресценции лучших четырёх соединений составил 82 %, при этом для большинства известных молекулярных комплексов олова этот показатель ранее не превышал 6,8%. Такая высокая «производительность» ставит новые молекулы на один уровень с коммерческими фосфоресцентными материалами на основе иридия, уже используемыми в дисплеях.
Результаты исследования, поддержанного грантом Российского научного фонда, опубликованы в журнале Inorganic Chemistry Frontiers.

CAS BioFinder Discovery Platform
22.10.2025
Открыт тестовый доступ к базе данных
CAS BioFinder Discovery Platform компании Chemical Abstracts Service (CAS).
CAS BioFinder Discovery Platform – научно-информационная платформа, созданная Chemical Abstracts Service, подразделением American Chemical Society (ACS), предназначенная для ускорения процесса разработки лекарств на ранних стадиях, что достигается за счет объединения тщательно отобранных данных с методами прогнозной аналитики, основанных на технологиях искусственного интеллекта (ИИ).
Для получения доступа к ресурсу каждый пользователь должен персонально зарегистрироваться. Для имеющих регистрацию на платформе SciFinder действуют те же логин и пароль.
Тестовый доступ продлится до 15 декабря 2025 года.
Грант для молодых ученых
21.10.2025
Министерство образования и науки Нижегородской области подвело итоги конкурсного отбора на получение гранта в форме субсидии на поддержку молодых ученых в 2025 году.
В числе победителей – проект сотрудника лаборатории фотополимеризации и полимерных материалов ИМХ РАН Юдина В.В. “Разработка прототипа большеформатной пористой полимерной матрицы для медицинского применения”.
Поздравляем!
VIII Разуваевские чтения
15.10.2025
14-19 сентября 2025 года ИМХ РАН провел Всероссийскую конференцию с международным участием, посвященную 130 годовщине со дня рождения основателя Института академика АН СССР Григория Алексеевича Разуваева “VIII Разуваевские чтения”.
Конференция проведена на высоком научном и организационном уровне благодаря работе программного комитета и локального оргкомитета.
За активное участие в организации и проведении конференции объявляется благодарность членам рабочей группы оргкомитета: в.н.с. Куропатову В.А., в.н.с. Чеснокову С.А., с.н.с. Черкасовой А.В., с.н.с. Толпыгину А.О., с.н.с. Копцевой Т.С., с.н.с. Малеевой А.В., н.с. Протасенко Н.А., н.с. Золотухину А.А., н.с. Мартьянову К.А., н.с. Норкову С.В., н.с. Казакову Г.Г., н.с. Базанову А.А., н.с. Жиганшиной Э.Р., м.н.с. Климашевской А.В., м.н.с. Колеватову Д.С., м.н.с. Гришину М.Д., м.н.с. Таракановой А.Е., м.н.с. Котельниковой А.А., м.н.с. Рогожину А.Ф., ст.-иссл. Остросаблину А.Н, пом. рук. Василевской И.Л.
Стабильные соединения лития с алкенами и алканами
14.10.2025
Объединённым коллективом ученых из Института металлоорганической химии имени Г.А. Разуваева РАН (Нижний Новгород) и Института элементоорганических соединений имени А.Н. Несмеянова РАН (Москва) впервые в мире синтезированы стабильные соединения непереходного металла лития с олефинами и алканами.
Исследователи разработали объемный органический лиганд, создающий вокруг атома лития своеобразный защитный «карман». Благодаря этому уникальному окружению, литий, стремясь достигнуть стабильного состояния, смог вступить во взаимодействие с алкенами и алканами, хотя в обычных условиях такое взаимодействие практически невозможно.
В ходе исследования однозначно показано, что комплексобразование в случае s-элементов имеет исключительно электростатическую природу и принципиально отличается от природы и механизма в комплексах переходных металлов. Особенно интересно то, что, несмотря на небольшую энергию взаимодействия металл-лиганд в комплексах лития, происходит активация двойной связи С=С, достаточная для её введения в различные химические превращения, в частности, реакции гидроаминирования и гидрофосфинирования олефинов и диенов. При этом, в отличие от комплексов переходных металлов, в которых активация происходит за счёт обратного донирования d-электронов на разрыхляющую π*-орбиталь субстрата, в случае s-металлов активация имеет электростатическую природу и является результатом поляризации двойной связи в поле электрофильного иона металла.
Полученные результаты имеют принципиальное фундаментальное значение, так как существенно расширяют представления о природе комплексообразования металлов различной природы с олефинами, диенами и алканами, а также позволяют разработать новые подходы к активации кратных связей С-С, что исключительно важно для создания новых каталитических методов превращения ненасыщенных субстратов в практически значимые продукты.
Результаты исследований опубликованы в Journal of the American Chemical Society.

Предзащита кандидатской диссертации
10.10.2025
9 октября 2025 года в ИМХ РАН состоялась предзащита кандидатской диссертации Поляковой Светланы Константиновны “Комплексы редкоземельных металлов с полициклическими ароматическими лигандами”, научный руководитель д.х.н., профессор М.Н. Бочкарев.

По итогам работы семинара диссертация рекомендована к защите.
В ИМХ РАН открыты вакансии научных сотрудников
09.10.2025
Федеральное государственное бюджетное учреждение науки Институт металлоорганической химии им. Г.А. Разуваева Российской академии наук объявляет конкурс на замещение следующей вакантной должности:
- Заведующий лабораторией Органического синтеза на основе растительного сырья 0,5 ст.
одна вакансия
Для участия в конкурсе претендентам необходимо разместить свою заявку на портале вакансий. Срок подачи документов до 29 октября 2025 г. (16:20). Дополнительная информация по телефону +7 (831) 462 65 71.
Нобелевская премия по химии 2025
Нобелевскую премию по химии 2025 года получили учёные Сусуму Китагава (Киотский университет, Япония), Ричард Робсон (Мельбурнский университет, Австралия) и Омар М. Яги (Калифорнийский университет в Беркли, США) «за разработку металл-органических каркасов»
Металл-органические каркасы (МОК, MOFs — Metal-Organic Frameworks) представляют собой уникальный класс гибридных материалов, координационных полимеров, полимерная структура различной размерности (1D, 2D или 3D) которых состоит из ионов металлов, связанных органическими линкерными молекулами (лигандами).
Особенности МОК:
- Пористая структура обеспечивает большую площадь поверхности на единицу массы материала, что позволяет эффективно взаимодействовать с газообразными веществами.
- Размеры и форма пор могут варьироваться путем изменения катиона металла и типа органических лигандов, что открывает широкие возможности для дизайна материалов с заданными свойствами.
- Высокая химическая стабильность
- Возможность модификации свойств путем функционализации и введения активных групп внутрь каркаса.
Основные области применения МОК: хранение газов, катализ, разделение газовых и жидких смесей, биомедицина (носители лекарственных препаратов).
В России целый ряд научных групп успешно занимается исследованием металл-органических каркасов, и ИМХ РАН входит в их число. В подтверждение приведем некоторые публикации сотрудников Института по данной тематике:
https://pubs.rsc.org/en/content/articlelanding/2020/ce/d0ce00767f
https://chemistry-europe.onlinelibrary.wiley.com/doi/full/10.1002/ejic.202001013
https://pubs.acs.org/doi/full/10.1021/acs.inorgchem.0c03647
https://pubs.rsc.org/en/content/articlelanding/2022/ce/d1ce01698a
https://link.springer.com/article/10.1007/s10904-024-03013-7
https://pubs.rsc.org/en/content/articlelanding/2024/ce/d4ce00272e
https://pubs.acs.org/doi/10.1021/acs.chemmater.4c03507
И обзор, охватывающий достижения российских ученых в этой области, https://link.springer.com/article/10.1134/S0022476622050018
Разработка мультитаргетных лекарственных препаратов для лечения болезни Альцгеймера
02.10.2025
Multi-target directed ligand strategy (MTDL) представляет собой методику разработки лекарственных препаратов, направленную на создание соединений, одновременно взаимодействующих с несколькими биологическими мишенями. Эта стратегия направлена на повышение эффективности лечения сложных заболеваний, таких как онкологические заболевания, нейродегенеративные расстройства и хронические воспалительные процессы, путем одновременного воздействия на несколько патологических механизмов.
Коллективом ученых из Казани (ИОФХ РАН, КФУ и КНИТУ) и Нижнего Новгорода (ИМХ РАН) получена серия липофильных аммониевых ацилгидразонов со стерически затрудненным пирокатехиновым фрагментом – перспективных MTDL-агентов для симптоматической терапии болезни Альцгеймера. Это прогрессирующее неврологическое заболевание, характеризующееся постепенным снижением когнитивных функций, памяти и способности выполнять повседневные задачи. Безопасной и эффективной терапии болезни Альцгеймера до сих пор не существует.
В настоящее время перспективной стратегией представляется использование MTDL ингибиторов холинэстеразы и бутирилхолинэстеразы. Для этих целей были разработаны соединения, содержащие три ключевых фрагмента: 1) липофильный (пространственно-экранированный пирокатехин), 2) катионный (ацилгидразон, обеспечивающий частичную водорастворимость) и 3) алкильный “хвост”, позволяющий более точно донастраивать свойства, в том числе липофильность. Такие соединения показали себя обратимыми ингибиторами бутирилхолинэстеразы. А ацилгидразон с самым длинным в этой серии октадецильным “хвостом” и полученные на его основе липосомальные системы перспективны для будущих медицинских применений.
Работа опубликована в Journal of Molecular Liquids.

30 сентября – День рождения Г.А. Абакумова
30.09.2025

30 сентября 1937 года родился выдающийся российский ученый, академик РАН, первый директор ИМХ РАН Глеб Арсентьевич Абакумов (1937-2019).
Сферой научных интересов Г.А. Абакумова являлась химия металлоорганических соединений. Он не только продолжил и развил дело своего учителя академика Г.А. Разуваева, но и создал собственную научную школу в области координационной химии комплексов переходных металлов со свободнорадикальными лигандами; стал основоположником одного из новых направлений – гравитационной химии.
За годы своей плодотворной работы Г.А. Абакумов опубликовал более 600 научных статей, получил свыше 20 патентов. Под его руководством защищено 26 кандидатских и 5 докторских диссертаций.
Наиболее значимые открытия и достижения:
- открытие комплексообразования стабильных нитроксильных радикалов с Льюисовскими кислотами
- разработка метода генерации свободных арильных радикалов в жидкой фазе
- синтез и исследование строения и свойств нового класса веществ — комплексов переходных металлов со свободнорадикальными о-семихиноновыми лигандами, использование о-семихиновов в качестве спиновых меток
- открытие фото(термо)механического эффекта и явления редокс-изомерии
- исследование и применение фотополимеризующихся композиций на базе о-хинонов.
За свою научную деятельность Г.А. Абакумов удостоен ряда государственных наград: Государственная премия СССР (1985 год) за цикл работ по синтезу, свойствам и применению семихиноновых комплексов металлов, Орден Дружбы (1999 год) за большие заслуги перед страной в области науки и техники.
Уникальные фосфорорганические соединения
26.09.2025
Сотрудники ИМХ РАН впервые осуществили синтез трёхпалубных дикатионов диазадифосфапенталенов и продемонстрировали возможность управления энергией электронных переходов в них путем варьирования расстояния между палубами.
3а,6а-Диаза-1,4-дифосфапенталены (DDP) относятся к семейству 10π-электронных ароматических гетероциклов и отличаются от других фосфорсодержащих ароматических гетероциклов высокой π-донорной способностью и склонностью к образованию комплексов с переносом заряда с органическими π-акцепторами.
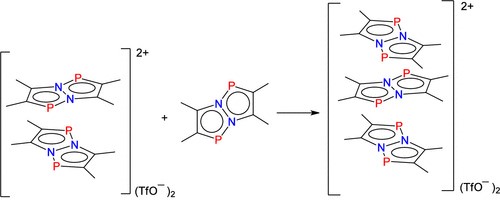
Сотрудники ИМХ РАН установили, что в результате реакции DDP с его дихлоридом и триметилсилил трифлатом происходит образование двухпалубных дикатионов диазадифосфапенталена [(DDP)2]2+(TfO–)2, которые могут выступать в качестве π-акцепторов при взаимодействии с плоскими молекулами π-доноров. Дальнейшее присоединение еще одного эквивалента DDP позволило получить глубоко окрашенные трехпалубные соединения [(DDP)3]2+(TfO–)2.

Согласно квантово-химическим расчетам, наибольший положительный заряд в полученном трехпалубном дикатионе сосредоточен на атомах фосфора средней палубы, которая выступает в роли π-донора, поставляя электроны на две соседние палубы. Максимум полосы поглощения в УФ-видимой области спектра для данных соединений сильно зависит от заместителей в диазадифосфапенталене и определяется расстоянием между палубами, обусловленным стерическими факторами.
В ходе исследования на основании экспериментальных и расчетных данных впервые показана возможность получения комплексов с настраиваемой энергией переноса заряда путем супрамолекулярной сборки и изменения расстояния между палубами в трехпалубных дикатионах диазадифосфапенталенов. Работа опубликована в журнале Inorganic Chemistry.

VIII Разуваевские чтения
22.09.2025

С 14 по 19 сентября 2025 года состоялась Всероссийская конференция с международным участием «VIII Разуваевские чтения», организованная Институтом металлоорганической химии имени Г.А. Разуваева РАН и посвященная 130-летию со дня рождения выдающегося советского ученого-химика, академика Григория Алексеевича Разуваева.
Мероприятие прошло на борту теплохода «Михаил Фрунзе», совершавшего круиз по маршруту Нижний Новгород–Елабуга–Нижний Новгород. Участниками конференции стали более 150 представителей ведущих научных учреждений России, в их числе трое академиков и семеро членов-корреспондентов Российской академии наук.
Научная программа была насыщенной и разнообразной. Участники заслушали пленарные, ключевые, устные и стендовые доклады по актуальным вопросам современной науки, включая исследования в области химии элементоорганических и свободнорадикальных соединений, координационной химии, химии кластеров, разработки новых функциональных материалов и биомедицины.
В рамках мероприятия был организован конкурс научных работ молодых ученых, лучшие авторы получили памятные призы — книги «Воспоминания об академике Григории Алексеевиче Разуваеве».
Завершился научный марафон круглым столом, на котором участники конференции, лично знавшие Григория Алексеевича, поделились яркими воспоминаниями о выдающемся химике, создав атмосферу уважения и преемственности поколений.
Боргидриды алюминия с дииминовыми лигандами
04.09.2025
В последние годы приобрели значительную популярность экологически чистые отрасли, которые избегают выбросов углерода и сокращают зависимость от невозобновляемого ископаемого топлива. Водородная энергетика является одной из таких областей, поскольку водород обладает огромным потенциалом в качестве безуглеродного источника энергии. Хотя водород может храниться в газообразной и жидкой формах, наиболее перспективным вариантом является твердотельное хранение. В этой связи, борогидриды металлов вызывают значительный интерес, но являются термодинамически очень стабильными. Введение в систему другого металла (переходного или непереходного) может снизить термодинамическую стабильность материала за счет ослабления B–H связей в образующейся системе M–H–B. В частности, соединения металлов 13 группы имеют склонность к образованию таких мостиковых взаимодействий. Наибольшее внимание среди таких смешанных комплексов привлекли производные алюминия.
Сотрудниками ИМХ РАН синтезированы новые алюминий-боргидридные комплексы на основе аценафтен-1,2-дииминовых лигандов различной пространственной загруженности.

Авторами исследования продемонстрирована возможность получения как мономерных, так и димерных алюминий-боргидридных комплексов путем подбора сольватирующих молекул, а также обнаружена каталитическая активность новых гидридов в реакции дегидросочетания диметиламин-борана.
Кроме того, в исследуемых реакциях, были выявлены процессы гидридного трансфера от атома алюминия к бору и раскрытие цикла тетрагидрофурана, реализуемого благодаря кооперативному взаимодействию гидридов алюминия и бора. Полученные результаты открывают новые возможности для понимания химии алюминийборгидридов, их использования в процессах дегидрирования и применения в катализе.
Результаты работы опубликованы в журнале Organometallics.
Николаевские чтения – 2025
02.09.2025
C 20 по 23 августа 2025 года в новосибирском Академгородке состоялась всероссийская научная конференция «Николаевские чтения 2025», посвященная основателю и первому директору Института неорганической химии Сибирского отделения РАН – академику А.В. Николаеву.
Заместитель директора по научной работе ИМХ РАН, член-корреспондент РАН Пискунов А.В. открывал научную программу мероприятия с пленарной лекцией “Редокс-активные лиганды в дизайне хромофорных комплексов металлов”.
За фото благодарим https://conferences.niic.nsc.ru/nikolaev_2025/.

В ИМХ РАН открыты вакансии научных сотрудников
25.08.2025
Федеральное государственное бюджетное учреждение науки Институт металлоорганической химии им. Г.А. Разуваева Российской академии наук объявляет конкурс на замещение следующих вакантных должностей:
- младший научный сотрудник 0,25 ст.
Лаборатория функциональных металл-органических соединений
одна вакансия - младший научный сотрудник 0,25 ст.
Лаборатория органического синтеза на основе растительного сырья
одна вакансия
Срок подачи документов в Учёный секретариат — 2 месяца со дня опубликования на сайте ИМХ РАН. Телефон для справок: +7 (831) 462 65 71.
130 лет со дня рождения выдающегося химика, академика АН СССР Григория Алексеевича Разуваева
23.08.2025
23 августа 2025 года исполнилось 130 лет со дня рождения Григория Алексеевича Разуваева (1895-1989) – выдающегося русского и советского химика, академика АН СССР, основателя Института металлорганической химии (в настоящее время Институт металлоорганической химии им. Г. А. Разуваева РАН).

Имя академика Г.А. Разуваева неразрывно связано с химией металлоорганических соединений и химией свободных радикалов. Его многолетний самоотверженный труд в этой области внес неоценимый вклад в развитие химической науки. Г.А. Разуваев является пионером исследования короткоживущих, реакционноспособных свободных радикалов в жидкой фазе.
В середине 50-х годов XX века Разуваевым с коллегами было обнаружено инициированное свободными радикалами или УФ-облучением декарбоксилирование ртутных солей органических кислот. В дальнейшем реакция Разуваева-Ольдекопа-Майера была детально изучена во всех ее вариантах и легла в основу нового метода синтеза ртутьорганических соединений.

В 1963 году под руководством Г.А. Разуваева были получены первые представители нового класса биэлементоорганических соединений со связью E-Hg-E, где E – элемент подгруппы кремния. Это удалось сделать благодаря открытию гидридного метода синтеза (реакция Разуваева-Вязанкина). Метод открыл большие синтетические возможности и позволил получить широкий круг би- и полиэлементоорганических соединений.

Стоит отметить, что Г.А. Разуваев особое значение придавал сочетанию фундаментальных и прикладных исследований. Так, группой Разуваева был разработан промышленный синтез ЦПК (дициклогексилпероксидикарбоната), который и по настоящее время остается лучшим инициатором полимеризации для ряда мономеров, особенно для метилметакрилата. Исследования ареновых комплексов хрома и процессов их термораспада привело к внедрению на заводе «Капролактам» в Дзержинске промышленного производства хроморганической жидкости «Бархос», используемой для получения хромовых покрытий. Под руководством Разуваева были созданы способы получения нитевидных монокристаллов и слоистых пленок германия и других металлов для полупроводниковой техники и электроники.
Г.А. Разуваев, пройдя сложный жизненный путь, сохранил лучшие человеческие качества: гуманизм, доброту, благородство, патриотизм. Большое влияние яркой личности Г.А. Разуваева распространялось на всех окружавших его людей. За сравнительно короткий период Г.А. Разуваев создал в г. Горький (Нижний Новгород) талантливый коллектив своих учеников и последователей, который сформировался в разуваевскую научную школу, получившую широкое признание в нашей стране и за рубежом.
Большой заслугой Г.А. Разуваева является основание первых академических учреждений в Нижнем Новгороде – Лаборатории стабилизации полимеров, Института химии и Института металлорганической химии, почетным директором которого он был с 1988 года до своей кончины в 1989 году. В настоящее время институт носит его имя.
В честь 130-летия со дня рождения Г.А. Разуваева с 14 по 19 сентября 2025 года в Нижнем Новгороде пройдет Всероссийская конференция по элементоорганической и координационной химии «VIII Разуваевские чтения» (https://iomc.ras.ru/razuvaev-2025/).
Грант для молодых ученых
18.08.2025
Министерство образования и науки Нижегородской области информирует, что с 6 августа 2025 года стартовал прием заявок на участие в отборе на получение гранта в форме субсидии на поддержку молодых ученых в 2025 году.
Гранты предоставляются следующей категории: молодым ученым –
физическим лицам в возрасте от 18 до 35 лет (включительно) зарегистрированным (пребывающим) на территории Нижегородской области и осуществляющим научную и (или) научно-техническую деятельность на ее территории.
Научные проекты, подаваемые на отбор, должны быть разработаны по одному из приоритетных направлений научно-технологического развития региона:
- электроника и микроэлектроника, приборостроение (включая БАС, БАС – беспилотные авиационные системы)
- информационные технологии;
- медицина и биомедицина (биотехнологии);
- химия, нефтехимия, особо чистые материалы;
- автомобилестроение, станкостроение.
Участник отбора может подать 1 заявку, предельный размер гранта – 1 млн. рублей.
Срок приема заявок до 04 сентября 2025.
Подробные условия проведения отбора представлены в объявлении, размещенном на официальном сайте Министерства , а также на Единой платформе предоставления субсидий Нижегородской области.
Поступление в вуз онлайн
11.07.2025

Поступление в вуз онлайн — это сервис, разработанный Минобрнауки России, Минцифры России, Рособрнадзором и доступный на портале Госуслуги. Он позволяет абитуриентам подавать документы в образовательные и научные организации без личного посещения. Абитуриент может подать заявление на бюджетное (в том числе целевое) и платное обучение, очную, очно-заочную и заочную формы, на программы бакалавриата и специалитета.
С 2025 года функционал Сервиса расширился и появилась возможность подачи заявления на программы магистратуры и аспирантуры. Найти заказчика для поступления на целевое обучение с 2024 года можно на портале Работа в России. С более подробной информацией можно ознакомиться на Госуслугах.
Отчет директора
03.07.2025
3 июля 2025 года состоялось расширенное заседание Ученого Совета, на котором директор ИМХ РАН академик Игорь Леонидович Федюшкин представил отчет о работе Института в 2024 году.
На заседании присутствовала заместитель председателя правительства Нижегородской области Екатерина Сергеевна Солнцева.

Новые фотоинициаторы для двухфотонной полимеризации
30.06.2025
Коллективом ученых из ИМХ РАН и МФТИ (г. Москва) разработаны новые фотоинициаторы, содержащие в своей структуре полимеризационно-способные метакриловые группы, и продемонстрировано их преимущество в условиях двухфотонной полимеризации.

Фотополимеризация — это процесс превращения жидких мономеров или олигомеров в твердые полимеры под воздействием света определенной длины волны (обычно ультрафиолетового диапазона). Этот процесс широко применяется в микроэлектронике для изготовления печатных плат и микросхем, в 3D-печати для создания трехмерных объектов, а также в медицине для лечения зубов, изготовления зубных протезов и биосовместимых имплантов. Фотоинициаторами называют химические соединения, которые под действием излучения способны генерировать реакционно-способные частицы, запускающие процесс полимеризации мономеров. Особенность двухфотонной полимеризации заключается в том, что активация фотоинициатора в этом случае требует одновременного поглощения не одного, а двух квантов света меньшей энергии, чаще всего инфракрасного диапазона. За счет высокой точности и возможности трехмерного микролитографирования двухфотонная фотополимеризация используется в создании микроэлектромеханических систем (MEMS), биотехнологиях и медицинской инженерии.
Сотрудниками ИМХ РАН синтезированы два новых фотоинициатора A–π–D типа, в котором в качестве акцептора (А) выступал индионовый фрагмент, а в качестве донора (D) – фрагмент сложного эфира N–фенилдиэтаноламина и изомасляной либо метакриловой кислот. Полученные соединения инициируют как одно- (λ = 405 нм), так и двухфотонную (λ = 780 нм) полимеризацию пентаэритритилтриакрилата (PETA), однако в условиях двухфотонной полимеризации фотоинициатор с полимеризационно–способными метакрилатными фрагментами демонстрирует преимущества.
Замена изобутиратных групп на метакрилатные приводит к повышению термической устойчивости и улучшению физико–механических свойств образующегося полимера, а также снижению вымываемости непрореагировавшего инициатора из объема полимера. В условиях двухфотонной полимеризации для композиции на основе полимеризационно–способного инициатора удалось получить полимерные 3D-структуры с толщиной линий 90 нм, расположенных на расстоянии 220 нм, в то время как для аналогичной композиции содержащей производное изомасляной кислоты формирующиеся линии значительно шире – линии толщиной 140 нм на расстоянии 310 нм.
Полученные данные свидетельствуют о комплексном улучшении свойств конечных полимеров при использовании фотоинициаторов с полимеризационно–способными группами. Результаты исследования опубликованы в European Polymer Journal.
Европий засветился по-новому
06.06.2025
Источник: Коммерсант
Ученые ИМХ РАН в сотрудничестве с ИОНХ РАН (г. Москва) впервые синтезировали и исследовали стабильный пористый трёхмерный каркасный полимер на основе редкоземельного металла европия в двухвалентном состоянии. Соединение проявляет неординарные магнитные свойства, а также имеет яркое свечение (люминесценцию), которое наблюдается в широком диапазоне температур.
Синтезированный полимер найдет применение в люминесцентной термометрии — методе определения температуры объектов по цвету или интенсивности их свечения. Такой подход востребован в промышленности для своевременного обнаружения перегревов оборудования и при контроле качества теплоизоляции в трубопроводах. Благодаря пористой структуре полимер можно будет также применять в качестве сорбента, например, для очистки воздуха от токсичных примеcей.
Результаты исследования, поддержанного грантом Российского научного фонда (РНФ), опубликованы в журнале Chemistry of Materials.

Всероссийская премия «За верность науке»
05.06.2025
Министерство науки и высшего образования Российской Федерации в целях привлечения внимания широкой общественности к научному труду проводит XI Всероссийскую Премию «За верность науке».
Премия направлена на содействие коммуникации журналистского и научного сообществ и вручается за выдающиеся достижения в области популяризации науки и поддержки престижа деятельности ученых и инженеров в Российской Федерации. К участию в Премии принимаются как индивидуальные, так и коллективные заявки от ученых, журналистов, сотрудников пресс-служб, студенческих редакций и других представителей возглавляемых вами организаций, занимающихся популяризацией науки и технологий.
Прием заявок осуществляется на официальном сайте Премии до 31 июля 2025 года.
Фотоизомеризация гидроксиксантенонов
03.06.2025
Окислительная деароматизация фенольных соединений представляет собой важное химическое превращение, в ходе которого образуются ненасыщенные кетоны, распространенные структурные фрагменты в природных и фармацевтических соединениях. Один из значимых классов соединений, синтезируемых с помощью реакций данного типа, составляют спироциклогексадиеноны, которые встречаются в качестве промежуточных соединений при синтезе широкого круга биологически активных субстратов.
Сотрудниками ИМХ РАН обнаружена фотоизомеризация пространственно–экранированных гидроксиксантенонов, содержащих в структуре фоточувствительный α-гидроксикетоновый фрагмент, в спироциклогексадиеноны под действием УФ-излучения. Гидроксиксантеноны являются продуктами окисления пространственно–экранированных катехолфенолов, в которых окислению подвергается пирокатехиновый фрагмент. Обнаруженный процесс является примером «переокисления» фрагментов в молекуле под действием света, в котором «хиноновый» фрагмент восстанавливается, а окислению подвергается фенольный фрагмент исходной молекулы. Это превращение происходит через расщепление фрагмента C-O и образованием гидроксифеноксильного радикалов, зафиксированного методом ЭПР. После переноса атома водорода протекает рекомбинация радикалов с образованием спироциклического продукта, содержащего дигидробензофурановый и реакционноспособный диеноновый фрагменты.
Данный подход – окисление с последующей фотоперегруппировкой продукта окисления – может быть использован в синтезе биологически активных молекул для лекарственных препаратов.
Результаты работы опубликованы в журнале Известия Академии наук. Серия химическая.

Стали известны имена новых членов РАН
30.05.2025
В Российской академии наук состоялись выборы — избраны члены-корреспонденты, академики и иностранные члены РАН.
Кандидатуры будущих членов Академии наук тщательно рассматривались на протяжении нескольких месяцев: сначала — на уровне секций и общих собраний отделений. Вчера на Общем собрании членов РАН состоялось тайное голосование по их избранию. Полный список избранных учёных доступен на сайте РАН в разделе, посвящённом выборам.
Поздравляем заместителя директора по научной работе ИМХ РАН, доктора химических наук Пискунова Александра Владимировича с избранием членом-корреспондентом Российской академии наук!
Новые редокс-амфотерные комплексы олова (IV)
21.05.2025
В ИМХ РАН синтезированы новые оловоорганические соединения на основе редокс-активного тетрадентатного ONNO-лиганда – потенциальные компоненты для устройств накопления энергии.
Редокс-активные лиганды — это лиганды, способные изменять свою степень окисления, находясь в координационной сфере металла. Наиболее подробно изученными соединениями, способными выступать в качестве таких лигандов, являются о-хиноны и их азотсодержащие гетероаналоги – о-иминохиноны и α-диимины. В комплексе с металлом они могут находиться в нейтральной, анион-радикальной либо дважды восстановленной форме. Tетрадентатные редокс-активные ONNO лиганды в комплексе с металлом могут менять свою степень окисления уже от 0 до -4, что делает их эффективными «хранилищами» электронов и позволяет предположить использование металлокомплексов на их основе в качестве активных компонентов при создании проточных редокс-батарей.
Сотрудниками ИМХ РАН разработана методика ступенчатого окисления производных олова(IV) основе редокс-активного тетрадентатного ONNO-лиганда — N,N’-бис(3,5-ди-трет-бутил-2-гидроксифенил)-1,2-фенилендиамина стехиометрическим количеством п-бензохинона. Это позволило получить комплексы олова(IV), содержащие лиганд в различных окислительно-восстановительных состояниях, а также провести контролируемую внутрилигандную циклизацию.

Электрохимические исследования методом циклической вольтамперометрии показали, что соединение Ph2Sn(ONNO), содержащее лиганд в дианионной форме, претерпевает два последовательных обратимых одноэлектронных окисления и два последовательных обратимых одноэлектронных восстановления и выдерживает не менее 100 циклов окисления/восстановления, что делает его перспективным для использования в проточных неводных аккумуляторах.
Результаты работы опубликованы в журнале Dalton Transactions.
Открытие и изучение катализаторов «коктейлевого» типа
15.05.2025
28-30 апреля 2025 г. в ИОХ им. Н. Д. Зелинского РАН состоялась научная конференция, посвящённая юбилею акад. В.П.Ананикова, на которой было отмечено открытие важного научного направления в исследовании каталитических систем. Изучение катализаторов «коктейлевого» типа в настоящее время является быстро-развивающимся научным направлением в мире. Приводим краткое популярное описание этого явления по материалам работы конференции «Новые горизонты катализа и органической химии», 2025.
Катализ играет центральную роль в современной химии, позволяя реакциям протекать быстрее, экономичнее и эффективнее. От производства лекарств и удобрений до получения пластмасс и топлива – катализаторы стоят за бесчисленными процессами, которые определяют нашу повседневную жизнь. Традиционно химики понимали катализ в двух основных формах: гомогенной, когда катализатор присутствует в той же фазе, что и исходные вещества, и гетерогенной, когда катализатор представляет собой отдельную фазу, например, твердое вещество, которое взаимодействует с исходными соединениями, находящимися в жидком или газообразном виде. В течение десятилетий эти два типа каталитических систем рассматривались по отдельности.
Но в последние годы была открыта гораздо более динамичная и увлекательная картина металл-катализируемых превращений. Вместо того чтобы быть фиксированными в одном состоянии, катализаторы могут меняться в ходе реакции – они могут эволюционировать и адаптироваться, превращаясь в совершенно новые формы. Эта идея привела к появлению новой концепции, названной катализом «коктейлевого» типа (рис. 1 и 2). Подобно тому, как в коктейле различные ингредиенты объединяются в смесь, каталитические системы могут содержать смесь различных активных форм: молекулярных комплексов, металлических кластеров и наночастиц. Эти формы не просто сосуществуют – они могут активно превращаться друг в друга в зависимости от температуры, растворителя и других условий реакции.

Рис. 1. Путь снизу-вверх в концепции катализа типа «коктейль». A – молекулярный катализ: предшественник представляет собой комплекс металла, являющийся типичным гомогенным катализатором; B – эволюция катализатора: стадия трансформации, на которой металлический комплекс порождает различные формы, включая наночастицы металла, кластеры металла и комплексы другого строения; C – динамическая равновесная система типа «коктейль»: реальная каталитическая система содержит смесь разных форм металла (комплексов, наночастиц, кластеров), представляя собой динамическую равновесную реакционную среду с множеством сосуществующих активных форм катализатора.
Представьте, что вы начинаете реакцию с, казалось бы, четко определенного комплекса палладия (рис. 1). По мере протекания реакции некоторые молекулы могут распадаться, образовывая небольшие кластеры, состоящие из атомов металла, или превращаться в наночастицы. Некоторые из этих форм металла могут способствовать протеканию определённых этапов целевой реакции, в то время как другие выполняют вспомогательную функцию. Так, в некоторых случаях из наночастиц в раствор вымываются атомы металла, которые становятся активными сами по себе. Позже эти атомы могут снова объединяться в частицы различной морфологии.
Подобная химическая система может возникнуть как при использовании предшественников катализатора, традиционно применяемых в гомогенном катализе (рис. 1), так и при использовании нанесенных наночастиц в качестве исходной формы катализатора (рис. 2).

Рис. 2. Путь сверху-вниз в концепции катализа типа «коктейль». A – гетерогенный катализ начинается с типичного нанесенного металлического катализатора; B – трансформация катализатора включает вымывание/выщелачивание, образование новых наночастиц, появление кластеров и возникновение растворимых комплексов металлов; C – устанавливается динамическое равновесие, характерное для системы типа «коктейль», в которой сосуществуют различные металлсодержащие частицы, способствующие катализу.
Эта концепция помогает объяснить, почему некоторые реакции протекают эффективнее, чем ожидалось, или почему наличие даже крошечных следов металла приводит к полному превращению субстратов. Системы типа «коктейль» зачастую более надежны и адаптивны, чем однокомпонентные катализаторы. Если один тип катализатора деактивируется, другой может взять на себя его функции. Некоторые же виды частиц действуют как резервуары, высвобождая или вновь захватывая атомы металла по мере необходимости. Такая адаптивность делает подобные системы особенно полезными для «зеленой» химии, где минимизация отходов и использование меньшего количества драгоценных металлов являются главными приоритетами.
Явление катализа «коктейльного» типа впервые было описано в 2012 году в исследованиях В.П. Ананикова с коллегами. Они обнаружили, что широко используемый палладиевый катализатор, который долгое время считался чисто молекулярным, на самом деле содержит наночастицы палладия, играющие ключевую роль в реакции. С тех пор было показано, что многие системы на основе различных металлов – платины, родия, никеля, меди и других – ведут себя аналогичным образом. Эта идея в дальнейшем позволила прийти к более широкому пониманию того, что реальные каталитические системы редко бывают статичными; зачастую они представляют собой динамичное сочетание различных форм металла, взаимодействующих в условиях своеобразного химического равновесия.
Для исследователей эта концепция является одновременно захватывающей и поучительной. Она показывает, что химия в реальном мире не всегда следует очевидным моделям из учебников. Вместо одного идеально стабильного катализатора мы можем иметь дело с группой катализаторов, которые адаптируются и эволюционируют по мере протекания реакции. Это позволяет преодолеть разрыв между гомогенным и гетерогенным катализом и по-новому взглянуть на то, как молекулярная структура, размер частиц и поверхностные взаимодействия вместе приводят к целевым химическим трансформациям.
Идея о катализе «коктейльного» типа ознаменовала собой переход к новому способу мышления. Вместо того чтобы бороться со сложностью, «коктейльный» катализ её принимает. Такой подход помогает химикам разрабатывать более совершенные и гибкие каталитические системы, которые работают в сложных условиях, требуют меньше металла и обеспечивают больший контроль над реакционной способностью и селективностью. Это динамичный, согласованный взгляд на катализ, который открывает дверь к технологиям следующего поколения в химии устойчивого развития и промышленных приложениях.
Литература
Открытие эффекта «коктейля»
- Zalesskiy S.S., Ananikov V.P., “Pd2(dba)3 as a Precursor of Soluble Metal Complexes and Nanoparticles: Determination of Palladium Active Species for Catalysis and Synthesis”, Organometallics, 2012, 31, 2302-2309
Некоторые обзоры
- Ananikov V.P., Beletskaya I.P., “Toward the Ideal Catalyst: From Atomic Centers to a “Cocktail” of Catalysts”, Organometallics, 2012, 31, 1595-1604
- Kashin A.S., Ananikov V. P., “Catalytic C-C and C-Heteroatom Bond Formation Reactions: In Situ Generated or Preformed Catalysts? Complicated Mechanistic Picture Behind Well-Known Experimental Procedures”, J. Org. Chem., 2013, 78, 11117-11125
- Eremin D.B., Ananikov V. P., “Understanding Active Species in Catalytic Transformations: from Molecular Catalysis to Nanoparticles, Leaching, “Cocktails” of Catalysts and Dynamic Systems”, Coord. Chem. Rev., 2017, 346, 2-19
- Prima D.O., Kulikovskaya N.S., Galushko A.S., Mironenko R.M., Ananikov V.P. “Transition metal “cocktail”-type catalysis”, Curr. Opinion in Green and Sustainable Chemistry 2021, 100502
- Chernyshev V.N., Denisova E.A., Eremin D.B., Ananikov V. P., “The key role of R-NHC couplings (R = C, H, heteroatom) and M-NHC bond cleavage in the evolution of M/NHC complexes and formation of catalytically active species”, Chem. Sci., 2020, 11, 6957-6977
Адаптивный катализ
- Ananikov V.P., Orlov N.V., Zalesskiy S.S., Beletskaya I.P., Khrustalev V.N., Morokuma K., Musaev D.G., “Catalytic Adaptive Recognition of Thiol (SH) and Selenol (SeH) Groups Towards Synthesis of Functionalized Vinyl Monomers”, J. Am. Chem. Soc., 2012, 134, 6637-6649
- Ghosh I., Shlapakov N.S., Karl T.A., Düker J., Nikitin M., Burykina J.V., Ananikov V.P., König B. “General cross-coupling reactions with adaptive dynamic homogeneous catalysis”, Nature, 2023, 619, pages 87–93
- Kashin A.S., Arkhipova D.M., Sahharova L.T., Burykina J.V., Ananikov V.P., “Revealing Catalyst Self-Adjustment in C–S Cross-Coupling through Multiscale Liquid-Phase Electron Microscopy”, ACS Catal., 2024, 14, 8, 5804–5816
Примеры исследований систем типа «коктейль» катализаторов
- Prima D.O., Kulikovskaya N.S., Novikov R.A., Kostyukovich A.Yu., Burykina J.V., Chernyshev V.N., Ananikov V. P., “Revealing the mechanism of combining best properties of homogeneous and heterogeneous catalysis in hybrid Pd/NHC systems”, Angew. Chem. Int. Ed., 2024, 63 (27), e202317468
- Galushko A.S., Boiko D.A., Pentsak E.O., Eremin D.B., Ananikov V. P. “Time-Resolved Formation and Operation Maps of Pd Catalysts Suggest a Key Role of Single Atom Centers in Cross-Coupling”, J. Am. Chem. Soc., 2023, 145, 16, 9092-9103
- Eremin D.B., Galushko A.S., Boiko D.A., Pentsak E.O., Chistyakov I.V., Ananikov V. P., “Toward Totally Defined Nanocatalysis: Deep Learning Reveals the Extraordinary Activity of Single Pd/C Particles”, J. Am. Chem. Soc., 2022, 144, 13, 6071–6079
- Astakhov A.V., Khazipov O.V., Chernenko A.Yu., Pasyukov D.V., Kashin A.S., Gordeev E.G., Khrustalev V.N., Chernyshev V.M., Ananikov V.P., “A New Mode of Operation of Pd-NHC Systems Studied in a Catalytic Mizoroki–Heck Reaction”, Organometallics, 2017, 36, 1981–1992
- Panova Yu.S., Kashin A.S., Vorobev M.G., Degtyareva E.S., Ananikov V.P., “Nature of the Copper-Oxide-Mediated C−S Cross-Coupling Reaction: Leaching of Catalytically Active Species from the Metal Oxide Surface”, ACS Catal., 2016, 6, 3637-3643
- Ondar E.O., Kostyukovich A.Yu., Burykina J.V., Galushko A.S., Ananikov V. P., “Examination of Pt2dba3 as a “cocktail”-type catalytic system for alkene and alkyne hydrosilylation reactions”, Catal. Sci. Technol., 2023, 13, 6022-6040
Вместе против коррупции
12.05.2025
Уважаемые коллеги!
Министерство науки и высшего образования Российской Федерации проводит Международный молодежный конкурс социальной антикоррупционной рекламы «Вместе против коррупции!» под эгидой Межгосударственного совета по противодействию коррупции.
Конкурс проводится в трех возрастных группах в следующих номинациях: «Лучший видеоролик», «Лучший плакат» и «Лучший рисунок».
Прием конкурсных работ осуществляется с 1 мая по 1 октября 2025 г.
Подробности на сайте конкурса www.anticorruption.life
80 лет Победы
07.05.2025

07 мая 2025 г. в читальном зале библиотеки состоялось Общее собрание Института, посвященное 80-летию Великой Победы.
В память о родственниках – героях-участниках Великой Отечественной войны, сотрудники ИМХ РАН подготовили видео-презентацию “Бессмертный полк”. Аспирант Гришин М.Д. выступил с историческим сообщением “Роль Советского Союза во второй мировой войне”, а с.н.с. Черкасова А.В. сделала доклад “Роль советских ученых в Победе над фашистскими оккупантами”.
Ученый совет
30.04.2025
29 апреля 2025 года состоялось заседание Ученого совета ИМХ РАН по
вопросу выдвижения кандидатов из числа аспирантов очной формы обучения для участия в конкурсе на соискание стипендии имени академика Г.А. Разуваева в 2025/2026 учебном году.
На заседании были заслушаны итоговые доклады аспирантов 1 – 3 годов подготовки о результатах научно-исследовательской деятельности и поддержаны следующие кандидатуры:
1. ГРИШИН Матвей Даниилович
2. КОТЕЛЬНИКОВА Анастасия Алексеевна
3. ТАРАКАНОВА Анастасия Евгеньевна
4. ХРАМОВА Дарья Владимировна
5. БОГАЧЕВ Михаил Алексеевич
6. МИХАЙЛЫЧЕВ Александр Дмитриевич
7. ЕРМОЛИН Илья Дмитриевич
8. КОЛЕВАТОВ Дмитрий Сергеевич
9. КРЮЧЕНКОВА Алина Александровна
10. ЛЫСЕНКОВ Виталий Сергеевич
11. СОЗИНОВА Юлия Игоревна
XXVIII Всероссийская конференция молодых ученых-химиков
29.04.2025
С 15 по 17 апреля 2025 года в Нижегородском государственном университете им. Н.И. Лобачевского прошла XXVIII Всероссийская конференция молодых ученых-химиков (с международным участием), объединившая 480 человек из 40 городов и 102 организаций.
Сотрудники ИМХ РАН традиционно принимают активное участие в работе конференции: к.х.н. Арсеньев М.В. выступил с пленарным докладом на тему «Тризамещенные о-хиноны/пирокатехины-редокс-активные лиганды и фотоинициаторы радикальной полимеризации», а аспиранты и студенты, выполняющие свои квалификационные работы в ИМХ РАН, представили на суд экспертного жюри устные и стендовые доклады.
По итогам конференции доклады молодых сотрудников ИМХ РАН отмечены дипломами III степени в секции Органическая и элементоорганическая химия:
- Ермолин Илья Дмитриевич «Использование комплексов калия в качестве катализаторов реакций гидрофункционализации»
- Пашков Алексей Андреевич «Использование о-хинонметидов для получения гетероциклических соединений с фрагментом пространственно-экранированного фенола»
Поздравляем!

Поздравляем!
18.04.2025

Сегодня 18 апреля 2025 года свое 50-летие отмечает заместитель директора по научной работе ИМХ РАН, доктор химических наук, профессор РАН Пискунов Александр Владимирович.
Пискунов А.В. – крупный специалист в области элементоорганической, координационной и физической химии, автор 240 научных статей и 2 патентов. Под его руководством защищены 9 кандидатских диссертаций. Научная деятельность Александра Владимировича охватывает как фундаментальные, так и прикладные аспекты химической науки. Его исследования посвящены развитию направлений, связанных с изучением каталитических реакций с участием комплексов непереходных металлов, разработкой подходов к синтезу магнитоактивных и хромофорных молекул, а также созданию новых перспективных материалов для микроэлектроники.
Коллектив ИМХ РАН с радостью поздравляет Пискунова Александра Владимировича с этим замечательным юбилеем! От всего сердца желаем ему здоровья, плодотворной работы, новых научных идей, а также счастья и благополучия в семье!
Cинтезирован первый парамагнитный галлилен
15.04.2025
Сотрудники ИМХ РАН успешно синтезировали первый стабильный парамагнитный галлилен (соединение низковалентного галлия) на основе аценафтен-1,2-дииминового лиганда, объемные заместители которого предотвращают процесс димеризации в дигаллан.
Низковалентные производные непереходных металлов — это соединения, где атом металла имеет низкую степень окисления относительно своей максимальной валентности. Такие соединения часто используются в катализе, синтезе новых функциональных материалов, а также они служат моделями для изучения электронной структуры металлов и особенностей химической связи.
Полученное в ИМХ РАН производное низковалентного галлия обладает сразу двумя редокс-активными центрами — 1,3,2-диазагаллол-радикалом и атомом галлия(I), что делает его уникальным реагентом для различных химических реакций. На примере реакций с н.-пропилбромидом и тетраметилтиурамдисульфидом ученые продемонстрировали, что данный галлилен может вступать в реакции как с участием неподеленной электронной пары атома галлия, так и с участием редокс-активного лиганда.
Предполагается использование полученного галлилена для активации малых молекул и соединений с кратными связями. Кроме того, он может быть использован в качестве лиганда для комплексообразования с переходными металлами, что значительно расширяет область его потенциального применения.
Результаты работы опубликованы в журнале Inorganic Chemistry.

Новости РНФ
03.04.2025
Российский научный фонд подвел итоги конкурса проектов фундаментальных научных исследований и поисковых научных исследований отдельными научными группами, а также конкурса на продление сроков выполнения проектов по данному мероприятию, поддержанных грантами РНФ в 2022 году.
Поддержку Фонда получили 2 проекта сотрудников ИМХ РАН:
- д.х.н. Скатова А.А. “Галлафосфены – соединения со связью Ga=P: фундаментальные и прикладные аспекты”
- д.х.н. Пискунов А.В. “Гетеролептические комплексы металлов с редокс-активными лигандами как эффективные донорно-акцепторные хромофоры с поглощением видимой и ближней ИК-областях” (продление)
Поздравляем!
Новые органические лиганды для синтеза люминесцентных металл-органических координационных полимеров
02.04.2025
Сотрудниками ИМХ РАН в коллаборации с ИНХ СО РАН (г. Новосибирск) для синтеза металл-органических координационных полимеров (МОКП) были впервые использованы высокосимметричные дитопные мягкоосновные лиганды на основе тиазольных и оксазольных гетероциклов. Для получения указанных лигандов, являющихся структурными изомерами, были разработаны простые «one-pot» протоколы.
На примере натрия продемонстрировано, что оба лиганда имеют плоскую геометрию и способны формировать двумерные металл-органические координационные полимеры. Характеристики полученных МОКП такие как строение металлоцентра, тип координации (мостиковый или смешанный мостиковый/хелатный) и люминесцентные свойства, зависят от типа лиганда и природы используемого растворителя. Синтезированные МОКП натрия при комнатной температуре демонстрируют интенсивную флуоресценцию в диапазоне 370–450 нм и умеренную микросекундную фосфоресценцию в диапазоне 500–670 нм, а при температуре жидкого азота наблюдается увеличение интенсивности эмиссии и длительность времени жизни фосфоресцентной компоненты.
Полученные результаты открывают новые для химии координационых полимеров центросимметричные бензоксазольный и бензотиазольный лиганды, которые могут использоваться в качестве дитопных или тетратопных линкеров для создания люминесцентных МОКП. Работа опубликована в журнале Dalton Transactions.

Советские академики – фронтовики
27.03.2025
27 марта 2025 г. в 13.00 в читальном зале библиотеки состоялось очередное мероприятие, посвященное 80-летию Великой Победы.
С сообщением на тему “Советские академики – фронтовики: уроки жизнелюбия и нравственного патриотизма” выступил научный сотрудник к.х.н. Г.Ю. Жигулин.

Синтезирован новый силилен с уникальными свойствами
24.03.2025
Сотрудники Института металлоорганической химии им. Г.А. Разуваева РАН синтезировали уникальный силилен (кремниевый аналог карбена) на основе аценафтен-1,2-дииминового лиганда и продемонстрировали его необычную реакционную способность по отношению к различным субстратам.
В зависимости от условий, силилен может вступать в окислительное присоединение, что приводит либо к однократному, либо к двукратному внедрению по связям молекулы-реагента. Кроме того, он может участвовать в циклоприсоединении, при котором возможны разные пути: образование трёхчленного ([2+1]) или пятичленного ([4+1]) циклов, а также полный разрыв двойной связи реагента.

Однако самым необычным открытием стало уникальное двухступенчатое циклоприсоединение ацетилена и фенилацетилена: сначала силилен образует [2+1]-цикл, а затем, при участии атома кремния в степени окисления +4, происходит дополнительное [4+2]-присоединение. Причём вторая стадия протекает исключительно благодаря редокс-активному аценафтен-1,2-дииминовому лиганду, который и поставляет электроны для образования новых связей.
Основной вывод исследования заключается в том, что для управления реакционной способностью низковалентного атома кремния можно не только снижать энергетические барьеры между граничными орбиталями или между синглетным и триплетным состояниями, но и создавать дополнительные активные центры. Эти центры, взаимодействуя с низковалентным атомом кремния, значительно расширяют его химические возможности, что открывает новые горизонты в области разработки кремнийсодержащих катализаторов и функциональных материалов.
Результаты работы опубликованы в журнале Dalton Transaction.
В.В. Семенов (1951-2025)
20.03.2025

Институт металлоорганической химии им. Г.А. Разуваева Российской академии наук с большим прискорбием сообщает, что 15 марта 2025 года после продолжительной болезни скончался доктор химических наук, ведущий научный сотрудник Владимир Викторович Семенов.
Владимир Викторович проработал в институте более 50 лет. С 1974 г он начал свою карьеру в Институте химии АН СССР в должности стажера-исследователя. В 1982 г защитил кандидатскую диссертацию по теме «Реакции органохлорполисиланов с органическими пероксидами». В 2003 г защитил докторскую диссертацию «Получение и реакционная способность функциональных ди- и олигоорганосиланов» в Институте элементоорганических соединений им. А.Н. Несмеянова РАН (г. Москва), научный консультант – доктор химических наук А.Н. Егорочкин. В 2000-2017 годах успешно возглавлял лабораторию кремнийорганических соединений.
В.В. Семенов – последователь научной школы академика Г.А. Разуваева. Область научных интересов – химия олигомерных и полимерных органосиланов, химия координационных соединений с кремнийорганическими лигандами, органо-неорганические гибридные материалы, хелатные микроудобрения. Автор более 400 научных статей в отечественных и зарубежных журналах, 2 авторских свидетельств СССР и 4 патентов РФ на изобретения. Под научным руководством В.В. Семенова защищены 4 кандидатских диссертации. Являлся членом Совета профсоюзной организации работников Нижегородского научного центра РАН, долгое время возглавлял профсоюзную организацию ИМХ РАН.
Владимир Викторович был высоким профессионалом своего дела, добрым и отзывчивым человеком. Сохранял высокую работоспособность и трудолюбие вплоть до самых последних дней его жизни.
Светлая память о нем навсегда останется в наших сердцах.
Низкокоординированный алкоксид калия – эффективная ловушка для аренов
12.03.2025
Сотрудники ИМХ РАН в сотрудничестве с ИНЭОС РАН (г. Москва) на основе разработанного ранее суперобъемного трис(арил)карбинола получили координационно-ненасыщенный алкоксид калия, являющийся мощным акцептором π-электронной плотности различных ароматических субстратов. Впервые было теоретически (DFT и QTAIM анализ) и экспериментально установлено, что в ходе комплексообразования с ионом K+ арены подвергаются электростатической активации и становятся более восприимчивыми к нуклеофильной атаке. Было показано, что ароматические субстраты (толуол, бензол, нафталин и анизол) внутри координационной сферы калия действительно подвергаются металлированию под воздействием n-BuLi либо Me3SiCH2Li. Данные модельные реакции позволяют глубже понять возможный механизм металлирования СН-связей аренов в условиях суперосновных систем Лохмана-Шлоссера а также роль и природу синергетического эффекта двух различных металлов. Полученные результаты открывают новые возможности для разработки методов каталитической активации и функционализации непредельных и ароматических соединений, а также расширяют представления о природе связи металл-лиганд в отдельных стадиях каталитического цикла. Работа опубликована в журнале Dalton Transactions.

Новости РНФ
06.03.2025
Российский научный фонд подвел итоги двух региональных конкурсов: проектов отдельных научных групп и малых отдельных научных групп. Финансирование проектов осуществляется на паритетной основе — 50% за счет средств РНФ и 50% — за счет средств, предоставленных субъектом Российской Федерации.
В конкурсе малых отдельных научных групп поддержку фонда получил проект н.с. ИМХ РАН Кушнеровой Ольги Александровны “Высокопроизводительные акрилатные клеевые композиции с графеновыми наполнителями”.
Поздравляем!
Неизвестные страницы освобождения Украины
26.02.2025
26 февраля 2025 г. в ИМХ РАН состоялось первое мероприятие, посвященное 80-летию Великой Победы. С сообщением «Неизвестные страницы освобождения Украины» выступил младший научный сотрудник М. Д. Гришин.
В ИМХ РАН открыты вакансии научных сотрудников
Федеральное государственное бюджетное учреждение науки Институт металлоорганической химии им. Г.А. Разуваева Российской академии наук объявляет конкурс на замещение следующих вакантных должностей:
- Лаб. физико-химических исследований
старший научный сотрудник
одна вакансия - Лаб. металлокомплексного катализа
старший научный сотрудник
одна вакансия - Лаб. металлокомплексов с редокс-активными лигандами
научный сотрудник
одна вакансия
Для участия в конкурсе претендентам необходимо разместить свою заявку на портале вакансий. Срок подачи документов до 16:00 18 марта 2025 г. Дополнительная информация по телефону +7 (831) 4626571.
Поздравляем с Юбилеем!
26 февраля 2025 года исполняется 90 лет ведущему научному сотруднику лаборатории физико-химических исследований, профессору, заслуженному деятелю науки РФ, доктору химических наук Алексею Николаевичу Егорочкину.
А.Н. Егорочкин является известным специалистом в области теории электронного строения соединений элементов подгруппы кремния и физической органической химии.

На протяжении шестидесяти лет (с 1965 года по настоящее время) профессиональная деятельность А.Н. Егорочкина связана с нашим Институтом. Под его руководством успешно работали исследователи, чьи научные труды снискали высокую оценку химиков в России и зарубежных коллег. Отличительной особенностью научных исследований, возглавляемых А.Н. Егорочкиным, было широкое применение различных физико-химических методов (спектроскопия ядерного магнитного резонанса, колебательная спектроскопия, электронная спектроскопия поглощения, люминесценция). Благодаря различным собственным исследованиям и осмыслению большого массива литературных данных А.Н. Егорочкиным с сотрудниками была разработана современная концепция эффектов сопряжения в производных элементов подгруппы кремния. За большой личный вклад в развитие теории внутримолекулярных электронных взаимодействий в элементоорганических соединениях А.Н. Егорочкин был удостоен премии им. А.Н. Несмеянова РАН.
А.Н. Егорочкин является автором и соавтором более 500 научных публикаций (включая 2 монографии, главы в книгах, обзоры, статьи, авторские свидетельства СССР и зарубежные патенты), под его руководством защищены десятки кандидатских и несколько докторских диссертаций.
В последние годы А.Н. Егорочкин успешно разрабатывает проблему поляризационного эффекта в химии органических, элементоорганических и координационных соединений. Работами А.Н. Егорочкина с сотрудниками доказана важная роль данного эффекта во внутримолекулярных взаимодействиях в заряженных комплексах и соединениях.
Своим неутомимым служением науке и постоянным стремлением к новым знаниям А.Н. Егорочкин является достойным примером для молодых научных сотрудников.
Поздравляем!
14.02.2025
12 февраля 2025 года на площадке Дома народного единства в Нижнем Новгороде состоялась торжественная церемония награждения нижегородских молодых ученых. Деятели науки, достигшие значимых успехов в своей работе, были отмечены региональными наградами в рамках празднования Дня российской науки.
Награды молодым ученым на сцене торжественно вручали и.о. заместителя председателя правительства Нижегородской области Екатерина Солнцева, заместитель председателя Законодательного собрания Алексей Антонов и заместитель министра образования и науки региона Любовь Широкова.
Сотрудники ИМХ РАН Татьяна Копцева и Илья Вилков награждены Благодарственными письмами Губернатора Нижегородской области, а аспиранты Анастасия Климашевская и Антон Рогожин отмечены Почетными грамотами Министерства образования и науки региона.

Конкурс молодых учёных ИМХ РАН
13.02.2025
Поздравляем призёров III конкурса научно-исследовательских работ
молодых ученых ИМХ РАН, посвященного памяти Г.А. Разуваева!
- Первое место
- Колеватов Д.С. (лаб. МРАЛ)
- Второе место
- Третье место
Благодарственное письмо
11.02.2025
ИМХ РАН получил Благодарственное письмо Волго-Вятского главного управления Банка России.

День российской науки
08.02.2025
Уважаемые коллеги!
Поздравляем всех с Днём российской науки! Этот день – символ нашего общего стремления к познанию мира, развитию новых идей и технологий.
Работа ученых играет важную роль в развитии нашей страны и общества. Ваши исследования, открытия и разработки помогают улучшать жизнь людей, решать сложные задачи и двигаться вперёд в самых разных областях знаний.
Желаем вам новых научных успехов, вдохновения и энергии для реализации ваших проектов. Пусть каждый новый день приносит интересные идеи, важные результаты и радость от проделанной работы.
Пусть ваш труд будет отмечен признанием и уважением, а впереди ждут новые горизонты открытий и достижений!
С праздником!
Благодарность зам. зав. лаб МКК Д.М. Любову
30.01.2025
Благодарность Российского совета олимпиад школьников объявляется члену экспертной комиссии по естественным наукам Любову Дмитрию Михайловичу за вклад в развитие интеллектуальных соревнований школьников в Российской Федерации в 2023/24 учебном году.

Конкурс молодых ученых
28.01.2025
Администрация ИМХ РАН и Совет молодых ученых ИМХ РАН объявляют конкурс научно-исследовательских работ молодых ученых ИМХ РАН.
Даты проведения: 12-13 февраля 2025 г.
В конкурсе могут участвовать все научные сотрудники ИМХ РАН, принимающие участие в выполнений научно-исследовательских работ по плану НИР института, и не достигшие на момент проведения конкурса полных 36 лет. На конкурс представляются результаты научно-исследовательских работ, выполненных в 2024 г. в соответствии с планом НИР института, как индивидуально, так и в составе научных коллективов.
Всем участникам конкурса предоставляется не более 15 минут для доклада и не более 10 минут для обсуждения (25 минут на одного человека).
Для участия в конкурсе авторы работ представляют в конкурсную комиссию заявку ДО 15.00 6 февраля 2025 г., включающую название работы, состав авторского коллектива, а также E-mail автора, представляющего работу на конкурсе.
Благодарность
26.12.2024
Сотрудникам ИМХ РАН Арсеньеву М.В., Петрову Б.И. и Пискунову А.В. объявлена благодарность за участие в экспертной оценке работ участников Конкурса для молодых ученых, приуроченного к 300-летию Российской академии наук.

Топ 2% лучших ученых мира
24.12.2024
Опубликован рейтинг «Топ 2% лучших ученых мира».Рейтинг составлен исследователями из Стэнфордского университета и основывается на библиометрических данных Scopus и Elsevier. Он учитывает такие показатели, как индекс Хирша, цитируемость, а также стандартизированные метрики, которые отражают влияние ученого в своей области.
В число наиболее цитируемых исследователей вошли 980 россиян, в том числе директор ИМХ РАН академик И.Л. Федюшкин, заведующий лабораторией металлокомплексного катализа чл.-корр. РАН, д.х.н. А. А. Трифонов и заведующий сектором комплексов редкоземельных элементов д.х.н. М.Н. Бочкарёв.

Нижегородские ученые разработали инновационное лекарство от диабета
19.12.2024
Скоро люди с сахарным диабетом смогут забыть о ежедневных инъекциях. Коллектив нижегородских ученых, в состав которого входят сотрудники ИМХ РАН, разрабатывают революционный препарат, способный самостоятельно вырабатывать инсулин. В данный момент ничего подобного в мире нет. Об этом в видеосюжете ТРК “Звезда” и в статье журнала “Поиск-НН”.


Почётная грамота
11.12.2024
За активную деятельность в рамках взаимодействия с Минпромторгом России, вклад в развитие радиоэлектронной промышленности и многолетний добросовестный труд директор ИМХ РАН, академик Федюшкин Игорь Леонидович награжден Почетной грамотой Министерства промышленности и торговли РФ.
Поздравляем!

Академиада-2024
03.12.2024
Сотрудники ИМХ РАН Светлана Барышникова , Максим Арсеньев и Юрий Полуштайцев в составе команды “Dream Team” заняли второе место в VI Всероссийской академиаде по волейболу среди команд профсоюзных организаций Профсоюза работников РАН, проходившей с 30 ноября по 1 декабря 2024 года в Казани.
Поздравляем ребят и желаем новых спортивных достижений!

Новости РНФ
Российский научный фонд подвел итоги конкурса на получение грантов РНФ по мероприятию «Проведение фундаментальных научных исследований и поисковых научных исследований малыми отдельными научными группами» в 2025-2026 годах.
Поддержку фонда получил проект под руководством м.н.с. лаборатории фотополимеризации и полимерных материалов ИМХ РАН Юдина В.В. “Одностадийный фотолитический синтез новых полимерных материалов с самоорганизующимися взаимопроникающими нано- и микроразмерными структурами сшитых и линейных полимеров на основе (мет)акрилатов”.
Поздравляем!
Химия Элементоорганических Соединений и Полимеров – 2024
28.11.2024
С 18 по 22 ноября 2024 года в Институте элементоорганических соединений им. А.Н. Несмеянова Российской академии наук проходила Всероссийская конференция с международным участием «Химия Элементоорганических Соединений и Полимеров — 2024». Мероприятие было приурочено к 70-летнему юбилею Института и 125-летней годовщине со дня рождения его основателя – Александра Николаевича Несмеянова.
В ходе конференции сотрудники ИМХ РАН тепло поздравили коллег из ИНЭОС РАН с юбилеем и представили свои доклады о последних научных достижениях:
- Федюшкин И.Л. «1,3-DIAZA-2-METALOLS»
- Селихов А.Н. «LOW-COORDINATION F- AND S-BLOCK METAL COMPLEXES WITH A SUPERBULKY CARBAZOLE LIGAND IN CATALYTIC DEAROMATIZATION OF N-HETEROCYCLES»
- Морозов А.Г. «REDOX DIVERSITY IN TITANIUM COMPLEXES WITH ACENAPHTHENE-1,2-DIIMINE»
- Жиганшина Э.Р. «ARYLTRICYANOETHYLENES AS PHOTOACTIVE COMPONENTS OF THE INITIATING SYSTEM OF FREERADICAL POLYMERIZATION OF OLIGOESTER(METH) ACRYLATES»
- Кушнерова О.А. «LUMINESCENCE OF HEAVY DIMERIC ISOCYANIDES»
- Мещерякова И.Н. «TIN(IV) AND VANADIUM(V) COMPLEXES BASED ON REDOX-ACTIVE TETRADENTATE ONNO LIGAND IN DIFFERENT OXIDATION AND PROTONATION STATES»
- Малеева А.В. «METALLACYCLIC TRIANGLE GALLIUM CATECHOLATE WITH BRIDGING ANION-RADICAL LIGANDS OF TETRAZINE TYPE»
- Арсеньева К.В. «HETEROCYCLIC TETRYLENES STABILIZED BY LIGANDS WITH ACCESSORY DONOR CENTERS. FEATURES AND CATALYTIC ACTIVITY»
- Балашова Т.В. «LANTHANIDE COMPLEXES WITH ARYLBORONIC ACIDS. SYNTHESIS AND LUMINESCENT PROPERTIES»
- Климашевская А.В. «NOVEL BENZIMIDAZOLE AND BENZOXAZOLE DERIVATIVES OF 3,5-DI-TERT-BUTYL-OAMINOPHENOL AS A LIGANDS FOR HEAVY CARBENE ANALOGUES»
- Бухвалова С.Ю. «SYNTHESIS AND PROPERTIES OF TRIVALENT LANTHANIDE IODIDES OF COMPOSITION Ln3+(e)– I2»
- Любов Д.М. «TETRAPHENYLPORPHYRINATEPENTHAMETHYLCYCLOPENTADIENIDE SANDWICH COMPLEXES – THE FIRST AIRSTABLE Ln(III) ORGANOMETALLICS»

Органические радикалы и органическая электрохимия
25.11.2024
Сотрудники ИМХ РАН приняли участие во Всероссийской конференции им. академика В.И. Овчаренко “Органические радикалы и органическая электрохимия: фундаментальные и прикладные аспекты”, которая проходила в Новосибирске с 11 по 15 ноября 2024 года в институте “Международный томографический центр” СО РАН.
Ведущий научный сотрудник лаборатории металлокомплексов с редокс-активными лигандами д.х.н. Куропатов В.А. выступил с пленарным докладом на тему “Редокс-активные диоксолены. Игра вдолгую”, а м.н.с. лаб. МРАЛ к.х.н Норков С.В. представил устный доклад “Катехолпроизводные с гетероциклическими π-системами для органической электроники”.

XXIX Нижегородская сессия молодых учёных
18.11.2024
С 12 по 15 ноября 2024 года на базе загородного отеля «Волга» прошла 29-я «Нижегородская сессия молодых ученых». Организаторами Конференции выступили министерство образования и науки Нижегородской области, «Центр специальных проектов «Платформа», а также Совет молодых ученых Нижегородской области. В течение четырех дней более 100 участников презентовали свои научные достижения экспертам и коллегам. Это аспиранты, преподаватели ведущих научно-исследовательских организаций, научные сотрудники и инженерно-технические работники предприятий и организаций, студенты ВУЗов Нижегородской области в возрасте до 35 лет.
По итогам работы Сессии были определены победители в гуманитарных, технических и естественных секциях. Аспиранты ИМХ РАН Колеватов Дмитрий и Созинова Юлия заняли I и II места в секции “Химия”. Поздравляем!

Новый подход для получения переключаемых спиновых систем
14.11.2024
Сотрудники Института металлоорганической химии им. Г.А. Разуваева РАН разработали принципиально новый подход, позволяющий получать переключаемые спиновые системы, не содержащие ионов переходных металлов. Предложенные системы представляют собой комплексы с переносом заряда на основе диоксоленовых производных германия с бис-иминопиридиновыми лигандами.

Комплексы с переносом заряда (КПЗ) — это молекулярные образования, в которые входят два типа компонентов: акцепторы, обладающие высоким сродством к электрону, и доноры с низким потенциалом ионизации. Такие комплексы, как правило, характеризуются интенсивным окрашиванием, что обуславливает их применение в качестве красителей. Кроме того, комплексы с переносом заряда все чаще находят свое применение при разработке светоизлучающих устройств, преобразователей солнечной энергии и различных электронных сенсоров. В настоящее время бурное развитие молекулярной микроэлектроники требует все новых материалов, что открывает большие перспективы для использования КПЗ, обладающих полупроводниковыми свойствами.
В ходе исследований в области металл-органических КПЗ, построенных на основе катехолатных комплексов германия(IV) (донор) с бис-иминопиридинами (акцептор), было обнаружено, что электронное состояние образующегося биядерного комплекса в значительной мере определяется свойствами акцепторного мостикового фрагмента. При этом в зависимости от природы азотсодержащего органического лиганда удается сформировать как классическую диамагнитную систему с переносом заряда, так и добиться полного переноса двух электронов с донорных фрагментов на акцептор с образованием парамагнитного бирадикального комплекса.
Результаты исследования опубликованы в журнале ChemPlusChem.
От лаборатории до промышленности
07.11.2024
Младший научный сотрудник лаборатории гибридных наноматериалов ИМХ РАН Илья Вилков на обложке журнала «ПОИСК-НН».
В интервью “От лаборатории до промышленности” Илья поделился подробностями своей научной работы, уделив особое внимание углеродным нанотрубкам и процессу создания современных композитных материалов на их основе.

Научные стратегии будущего
05.11.2024
Делегация ИМХ РАН во главе с директором, академиком Игорем Леонидовичем Федюшкиным, приняла участие в работе кластера конференций по элементоорганической и супрамолекулярной химии «Научные стратегии будущего» (с международным участием). В рамках этого кластера состоялись:
- IV Научная конференция «Динамические процессы в химии элементоорганических соединений»
- VI Школа-конференция для молодых учёных «Супрамолекулярные стратегии в химии, биологии и медицине: фундаментальные проблемы и перспективы».
Мероприятия прошли с 28 октября по 1 ноября в Казани на базе Института органической и физической химии имени А. Е. Арбузова.
За фото спасибо t.me/elemsupra2024

Завершён конкурс на замещение вакантных должностей научных работников
01.11.2024
01 ноября 2024 года в ИМХ РАН был проведен конкурс на замещение вакантных должностей научных работников. По решению конкурсной комиссии на должность заведующего лабораторией избран:
- Морозов Александр Геннадьевич
Лаборатория Органического синтеза на основе растительного сырья
На должность научного сотрудника избран:
- Базанов Андрей Андреевич
Лаборатория лиганд-промотируемых реакций
На должности младшего научного сотрудника 0,5 избраны:
- Муравьева Мария Сергеевна
Лаборатория Органического синтеза на основе растительного сырья - Полякова Светлана Константиновна
Рогожин Антон Федорович
Сектор комплексов редкоземельных элементов - Климашевская Анастасия Владимировна
Лаборатория металлокомплексов с редокс-активными лигандами
Химия и жизнь
30.10.2024
В журнале «ПОИСК-НН» опубликовано приуроченное к юбилею интервью ученого секретаря ИМХ РАН Шальновой Клары Геннадьевны, в котором она рассказывает о своем профессиональном пути и истории становления Института.

Поздравляем с юбилеем!
29.10.2024
29 октября 2024 года свое 80-летие отмечает ученый секретарь ИМХ РАН, кандидат химических наук Шальнова Клара Геннадьевна.
Профессиональная биография Клары Геннадьевны неотделима от становления и развития Института металлорганической химии имени Г.А. Разуваева Российской академии наук. За 55 лет своей трудовой деятельности она прошла путь от младшего научного сотрудника до заместителя директора и вот уже 36 лет занимает должность ученого секретаря ИМХ РАН.

К.Г. Шальновой опубликовано 46 научных работ. Она стояла у истоков нового направления в координационной химии – комплексов металлов со свободно-радикальными лигандами. Шальнова К.Г. не только ученый, но и превосходный администратор. Находясь на посту ученого секретаря и заместителя директора, она внесла огромный вклад в развитие Института, в формирование научной повестки и кадровой политики ИМХ РАН. Все эти годы Клара Геннадьевна обеспечивает эффективное взаимодействие Института с профильными научными учреждениями страны, органами федеральной и региональной исполнительной власти и центральным аппаратом Российской академии наук.
Коллектив ИМХ РАН с радостью поздравляет Клару Геннадьевну Шальнову с этим замечательным юбилеем! От всего сердца желаем ей здоровья, спокойной и плодотворной работы, а также счастья и благополучия в семье!
XXIX Нижегородская сессия молодых ученых
23.10.2024
С 12 по 15 ноября 2024 года на базе Загородного отеля «Волга» пройдет XXIX Нижегородская сессия молодых ученых.
Организаторами мероприятия выступают Министерство образования и науки Нижегородской области и Центр специальных проектов «Платформа» при партнёрстве Совета молодых ученых Нижегородской области.
Традиционно участниками становятся аспиранты, преподаватели ведущих научно-исследовательских организаций, научные сотрудники и инженерно-технические работники предприятий и организаций, студенты ВУЗов Нижегородской области в возрасте до 35 лет. Мероприятие проводится как открытый конкурс с презентациями научных разработок.
Целью проведения сессии является активизация научной работы
молодых учёных и научных организаций Нижегородской области, обмен научными идеями и достижениями, активизация межведомственного научного взаимодействия.
С подробностями участия можно ознакомиться в информационном письме.

Микрокапсулы с полимерным покрытием для иммуноизоляции островковых клеток поджелудочной железы
18.10.2024
Сахарный диабет – это заболевание, связанное с относительной или абсолютной недостаточностью гормона инсулина, приводящее к хронической гипергликемии и другим нарушениям обмена веществ. Перспективным вариантом лечения инсулин-зависимых нарушений углеводного обмена является трансплантация инсулин-продуцирующих клеток поджелудочной железы, способных выделять инсулин непосредственно в кровь. Это очень перспективный подход к лечению сахарного диабета, который может позволить полностью освободить больного от необходимости проводить инъекции инсулина в течение всей жизни. Недостатком этого метода является необходимость применения иммуносупрессивной терапии, что ведет к снижению качества жизни пациента, увеличению риска инфекционных, онкологических, сердечно-сосудистых и метаболических заболеваний. Инкапсуляция трансплантируемых клеток в пористые полимерные оболочки, изолирующие их от иммунных клеточных реакций организма, позволит полностью отказаться от системной иммуносупрессии и значительно увеличить срок жизни клеток в организме реципиента.
Для формирования микрокапсул в ИМХ РАН была разработана микрофлюидная экспериментальная установка для контролируемого формирования микрокапель с использованием внешнего воздействия на поток непрерывной фазы. В качестве инновационного материала для покрытия микрокапсул предложен поли [2-(метакрилоилокси)этил] триметиламмонийхлорид (PMETAC), синтезированный также в ИМХ РАН.

В ходе работы были исследованы микрокапсулы с полимерным покрытием, нанесённым путем обработки последних раствором PMETAC (0,01 – 1 мас.%). Показано, что с увеличением концентрации полимера увеличивается осмотическая и термическая стабильность микрокапсул в условиях культивирования клеток, а также стабильность при многократном промывании физиологической средой.
Микрокапсулы, покрытые с использованием 0,4 мас.% PMETAC, показали наиболее многообещающие результаты. Они стабильны в вышеуказанных тестах и при этом непроницаемы для высокомолекулярных соединений (120 кДа и выше), что обеспечивает иммуноизоляцию инкапсулированных островков, и сохраняют проницаемость соединений молекулярной массой 35 кДа (питательные вещества, инсулин). При инкапсуляции панкреатические островки остаются жизнеспособными и функционально активными. Разработанные альгинатные микрокапсулы, покрытые PMETAC, подходят для дальнейших испытаний на животных.
Результаты исследования опубликованы в журнале Polymers.
В работе, кроме сотрудников лаборатории фотополимеризации и полимерных материалов Института металлоорганической химии им. Г.А. Разуваева РАН, принимали участие специалисты из Приволжского исследовательского медицинского университета, Нижегородского государственного университета им. Н.И. Лобачевского, Нижегородской областной клинической больницы им. Н.А. Семашко, Нижегородского областного клинического онкологического диспансера и Федерального научно-клинического центра Физико-химической медицины им. Ю.М. Лопухина.
Orbit Chemistry module
11.10.2024
Orbit Chemistry module – модуль, разработанный компанией Questel, и интегрированный в платформу Orbit Intelligence,
предназначенный для поиска молекул в более чем 75 миллионах патентных
документах.
Orbit Chemistry module – имеет простой в использовании и
адаптируемый интерфейс, который обеспечивает различные типы поиска молекул: по введенному имени, по содержимому импортированного файла в формате .mol, по рисунку структуры. Модуль распознает все химические синонимы элементов и
помогает быстро найти, где в семействе патентов упоминается интересующая
молекула.
Orbit Chemistry module также способен преобразовывать
наименования в редактируемые структуры.
Модуль Orbit Chemistry – это:
- Легкий доступ к химической информации при чтении патента.
- Быстрая индексация патентов.
- Простое сочетание поиска молекул с патентной базой данных Orbit Intelligence (поиск по ключевым словам или по последовательностям).
Ресурс будет полезен для специалистов по интеллектуальной собственности в
области органической химии, фармацевтики и биологических наук.
Перед началом работы в Orbit Chemistry module в режиме
Advanced Search в меню выбора поисковых полей (Manage fields) необходимо
сделать активной позицию Molecules.
Руководство по поиску и анализу модекул доступно по ссылке.
Срок доступа: c 30.09.2024 до 29.11.2024.
XXII Менделеевский съезд
10.10.2024
С 7 по 12 октября на федеральной территории «Сириус» проходит XXII Менделеевский съезд по общей и прикладной химии. Четыре тысячи участников, в том числе более 200 международных участников из 38 стран мира собрались, чтобы обсудить различные аспекты химической науки и образования. В этом году форум посвящён 300-летию основания Российской Академии наук и 190-летию Дмитрия Ивановича Менделеева.
На съезде с докладами выступили директор ИМХ РАН академик Игорь Леонидович Федюшкин и заместитель директора по научной работе Александр Владимирович Пискунов.
8 октября в рамках съезда был организован круглый стол «О механизмах взаимодействия фундаментальной науки и реального сектора экономики», модераторами которого выступили профессора РАН А.В. Пискунов и К.А. Брылев. Представители Министерства образования и науки, Министерства промышленности и торговли, Российского научного фонда, Российской академии наук и крупных промышленных корпораций обсудили вопросы, касающиеся роли фундаментальных исследований в технологическом суверенитете РФ, проблемы подготовки кадров и поделились опытом выстраивания диалога между учёными и бизнесменами.

Спектроскопия координационных соединений
07.10.2024
Сотрудники ИМХ РАН представили свои доклады на XX Международной конференции «Спектроскопия координационных соединений», которая проходила с 29 сентября по 5 октября 2024 года на побережье Чёрного моря в Краснодарском крае (п. Небуг).
- Малеева А.В. «Перенос заряда/электрона в катехолатных комплексах галлия с N-лигандами»
- Ильичев В.А. «Тетрацианидобораты двухвалентных европия и иттербия – трехмерные металл-органические координационные полимеры с кубической структурой. Экстраординарная стабильность и интенсивная термически зависимая фотолюминесценция тетрацианидобората европия»
- Климашевская А.В. «Перенос заряда в комплексах олова (IV) с редокс-активными лигандами различной природы»
- Полякова С.К. «Комплексы лантаноидов с нафтилбороновой кислотой»
- Рогожин А.Ф. «Бис(2-меркаптобензоксазоляты) лантаноидов – многостадийные превращения ионных солей в одномерные люминесцентные координационные полимеры»
- Лукоянов А.Н. «Синтез и спектральные характеристики редокс-активных лигандов с переключаемыми свойствами и металлокомплексов на их основе»

Нижегородские химики делают новые материалы для медицины
03.10.2024
Более 85% россиян страдают от болезней позвоночника, суставов и костей, говорит статистика. Причём большинство таких пациентов – люди трудоспособного возраста, от 30 до 50 лет. Порой им требуются сложные и дорогостоящие операции по имплантации костной ткани. Как полимеры способны спасать человеческие кости, изданию «Аргументы и Факты – Нижний Новгород» рассказал доктор химических наук, заведующий лабораторией фотополимеризации и полимерных материалов Института металлоорганической химии им. Г. А. Разуваева Российской академии наук Сергей Чесноков.
Источник: «АиФ – Нижний Новгород»

VI Всероссийская конференция по органической химии
02.10.2024
Директор ИМХ РАН академик Игорь Леонидович Федюшкин и заместитель директора по научной работе Александр Владимирович Пискунов приняли участие в работе VI Всероссийской конференции по органической химии, проходившей с 23 по 27 сентября в Москве в Институте органической химии им. Н.Д. Зелинского.
Научная программа конференции традиционно охватывает такие вопросы как методология органического синтеза, механизмы реакций и строение органических соединений, направленный синтез органических соединений, химия природных соединений. В этом году в программе конференции впервые появились – современные цифровые технологии в химии, инновационные подходы к синтезу и катализу, а также междисциплинарные направления, включая искусственный интеллект и устойчивые технологии в органическом синтезе.
В рамках конференции академик Федюшкин И.Л. выступил с пленарной лекцией “МЕТАЛЛАЗОТНЫЕ ГЕТЕРОЦИКЛЫ”, а д.х.н. Пискунов А.В. представил устный доклад “ОРГАНИЧЕСКИЕ РЕДОКС-АКТИВНЫЕ ЛИГАНДЫ В ХИМИИ ЭЛЕМЕНТОВ 14-ОЙ ГРУППЫ”.

Олигомеры 2024
30.09.2024
Делегация ИМХ РАН приняла участие в работе XX Международной конференции по химии и физикохимии олигомеров, проходившей с 9 по 14 сентября 2024 года в г. Самаре на базе Самарского национального исследовательского университета имени академика С.П. Королева.

Новые катализаторы гидроборирования гетероалленов
10.09.2024
Гетероаллены (изоцианаты, карбодиимиды и другие соединения с кумулированными двойными связями) представляют собой высокореакционноспособные ненасыщенные органические соединения, которые широко используются в органическом синтезе для производства полимеров, мочевин, амидов, карбаматных пестицидов и др., при этом удобным путем получения из них формамидов, формамидинов и метиламинов является реакция гидроэлементирования. Однако зачастую в данных процессах образуется трудноразделимая смесь продуктов, что делает востребованным поиск катализаторов, осуществляющих превращения селективно.
Сотрудниками ИМХ РАН реализовано каталитическое гидроборирование ряда изоцианатов и карбодиимидов с использованием в качестве катализаторов биметаллических (Al/Li) гидридов с дианионными аценафтен-1,2-дииминовыми лигандами. Эффективность предложенных катализаторов не уступает, а в некоторых случаях превосходит таковую для известных гидридов непереходных металлов. Полученные результаты дополняют и расширяют область использования производных металлов главных подгрупп в органическом синтезе. Результаты опубликованы в Organometallics.

Cтипендия имени академика Г.А. Разуваева
09.09.2024
Поздравляем аспирантов ИМХ РАН с присуждением стипендии имени академика Г.А. Разуваева:
- Матвея Данииловича Гришина
- Анастасию Владимировну Климашевскую
- Светлану Константиновну Полякову
- Антона Федоровича Рогожина
- Анастасию Евгеньевну Тараканову
Новые катализаторы гидросилилирования
30.08.2024
Гидросилилирование – присоединение кремнийгидридов к ненасыщенным соединениям – важнейший метод получения кремнийорганических соединений, широко используемых в промышленности для производства клеев, пластмасс, герметиков, водоотталкивающих покрытий, косметических средств, а также в медицине – при протезировании зубов и изготовлении имплантов.
Сотрудниками ИМХ РАН и ИНЭОС РАН синтезированы низкокоординационные гидриды Yb(II) и Ca(II), стабилизированные объёмными карбазолильными лигандами, представляющие собой исключительно редкий и реакционноспособный класс соединений данных металлов. Полученные комплексы оказались эффективными катализаторами гидросилилирования N-содержащих ароматических гетероциклов (пиридина, хинолина, изохинолина и др.), позволяющими проводить присоединение гидросиланов/деароматизацию регио- и хемоселективно при комнатной температуре с количественной конверсией. Особенно интересно то, что те же самые катализаторы при повышении температуры до 90 °С катализируют обратную реакцию – выделение гидросилана и восстановление ароматической структуры.
Результаты опубликованы в Inorganic Chemistry Frontiers.

Объявлены результаты «молодежных конкурсов» 2024 года в рамках Президентской программы РНФ
11.07.2024
Поддержку фонда получили 4 проекта молодых сотрудников ИМХ РАН:
- Арсеньева К.В. «Гетероциклические тетрилены стабилизированные лигандами с акцессорными донорными центрами, как катализаторы и прекурсоры сенсорных материалов»
- Бухвалова С.Ю. «Синтез и свойства биэлементных металлоподобных соединений редкоземельных металлов состава MX2 и MX и их органических производных»
- Жиганшина Э.Р. «Арилтрицианоэтилены как фотоинициаторы одно- и двухфотонной фотополимеризации»
- Норков С.В. «Новые органические полупроводники на основе катехол производных с протяженными гетероциклическими пи-системами»
Поздравляем!
Высокотермостабильное защитное покрытие кварцевого оптического волокна
03.07.2024

Сотрудниками ИМХ РАН (Нижний Новгород) и ИНЭОС РАН (Москва) предложен новый подход к разработке многокомпонентных фотоотверждаемых композиций, заключающийся в использовании смеси ди(мет)акрилата и фторированного кардосополиимида (ФСПИ). Такие фотоотверждаемые композиции востребованы для формирования первичных защитных покрытий кварцевых оптических волокон. Установлено, что синтезированный ФСПИ имеет отличную растворимость в различных ди(мет)акрилатах и за счет изменения концентрации позволяет в широком интервале регулировать вязкость исходной фотополимеризующейся композиции. На основании экспериментальных данных о скорости полимеризации композиций на основе ди(мет)акрилатов этиленгликоля, триэтиленгликоля, тетраэтиленгликоля, бутандиола-1,4 с добавками ФСПИ, а также термостойкости и механических свойств образующихся полимеров выбраны оптимальные составы фотополимеризующихся композиций для получения первичных защитных покрытий кварцевых оптических волокон.
Введение ФСПИ позволило увеличить в 2.2 раза прочность на разрыв, модуль упругости в 2 раза и удлинение при разрыве в 2.2 раза. Кроме того, после длительного отжига при 200°С (72 ч) прочность волокна с покрытием возрастает на 17%, что указывает на значительную термоокислительную стабильность покрытия на воздухе и его высокую адгезию к кварцевому оптическому волокну.
Разработанный подход дает возможность корректировать свойства исходной фотополимеризующейся композиции и отверждаемого полимера, открывая широкие возможности в производстве функциональных материалов различного назначения. Работа опубликована в International Journal of Molecular Sciences.
Редокс-изомерия в комплексах иттербия
28.06.2024
Редокс-изомерия — это структурная изомерия, которая сопровождается обратимым внутримолекулярным переносом электрона между металлом и редокс-активным лигандом. Редокс-изомерные соединения за счет своей способности пребывать в двух состояниях, отличающихся электронным строением, представляют собой перспективные компоненты для создания молекулярных электронных устройств. Сотрудниками ИМХ РАН синтезирован дитиокарбаматный комплекс иттербия, содержащий пространственно-загруженный редокс-активный аценафтен-1,2-дииминовый лиганд (bian). Соединение демонстрирует редокс-изомерный переход в твердой фазе: изменение температуры вызывает обратимый перенос электрона металл–лиганд. Это второй пример редокс-изомерии в комплексах редкоземельных элементов. В отличие от ранее описанного димерного комплекса иттербия на основе 2,6-диизопропилфенил-замещенного аценафтен-1,2-дииминового лиганда – переход одного изомера в другой происходит не скачкообразно, а постепенно – в интервале температур 350 – 100 К. Работа опубликована в Dalton Transactions.

Стипендия Президента РФ
21.06.2024
Определены 500 победителей конкурса на назначение новой стипендии Президента РФ для аспирантов и адъюнктов.
В числе победителей аспиранты ИМХ РАН Климашевская Анастасия Владимировна и Рогожин Антон Федорович.
Поздравляем!
Министерство образования и науки Нижегородской области выражает благодарность сотрудникам ИМХ РАН
20.06.2024
Министерство образования и науки Нижегородской области выражает
признательность и искреннюю благодарность сотрудникам ИМХ РАН за
проведенную работу по анализу и оценке заявок, представленных на конкурс на
право получения грантов Нижегородской области в сфере науки, технологий и
техники в 2024 г.:
- в.н.с. д.х.н. Вячеславу Александровичу Куропатову
- с.н.с. к.х.н. Александру Николаевичу Селихову
Новый костнозамещающий материал
10.06.2024
Сотрудниками ИМХ РАН разработан новый костнозамещающий материал на основе гибридного пористого полимера. В кооперации с сотрудниками ПИМУ проведено сравнительное исследование разработанного материала и коммерческого остеопластического матрикса на основе ксенотрансплантата крупного рогатого скота. Экспериментами in vitro показано, что, несмотря на различия в природе и размерах пор, оба материала характеризуются взаимосвязанной пористой структурой, обеспечивающей условия для адгезии и жизнедеятельности стромальных стволовых клеток человека. Исследования in vivo (кролики) показали, что к концу периода наблюдения (6 мес.) восстановление дефектов у животных обеих групп завершилось. Данные морфологического исследования показали, что скорости регенерации костной ткани кролика при использовании того и другого материалов сопоставимы. При этом, данные КТ и измерения денситометрии указывают на возможность более равномерной структурной перестройки в области хирургического дефекта при использовании нового материала. Таким образом, разработанный в ИМХ РАН материал продемонстрировал цитосовместимость, безопасность и биосовместимость при восстановлении костных дефектов аналогичные характеристикам коммерческого остеопластического матрикса на основе ксеногенных тканей. Полученные результаты позволяют считать разработанный материал перспективным для дальнейших исследований и усовершенствований с целью его использования в биомедицинских приложениях. Работа опубликована в Polymers.

Мы — химический спецназ
Что такое металлоорганическая химия и зачем нужны биоразлагаемые полимеры? Можно ли их создать с помощью современных химических методов? Как эти методы могут помочь в лечении рака или протезировании костной ткани? Об этом корреспондент Научной России Наталия Лескова беседует с академиком РАН Игорем Леонидовичем Федюшкиным, директором ИМХ РАН.

Инновационное лекарство
07.06.2024
В журнале ПОИСК-НН опубликована статья об инновационном лекарстве от сахарного диабета, в разработке которого принимают участие сотрудники ИМХ РАН.

Конкурс на замещение вакантной должности м.н.с.
06.06.2024
Федеральное государственное бюджетное учреждение науки Институт металлоорганической химии им. Г.А. Разуваева Российской академии наук объявляет конкурс на замещение следующей вакантной должности:
- Младший научный сотрудник Лаборатории физико-химических исследований
одна вакансия
Для участия в конкурсе претендентам необходимо разместить свою заявку на портале вакансий. Срок подачи документов до 16:00 26 июня 2024 г. Дополнительная информация по телефону +7 (831) 4626571.
Поздравляем!
30.05.2024
На заседании Отделения химии и наук о материалах РАН директору ИМХ РАН академику Игорю Леонидовичу Федюшкину вручена государственная награда Российской Федерации – Медаль Ордена “За Заслуги Перед Отечеством” II Степени.

Завершён конкурс на замещение вакантной должности научного работника
30 мая 2024 года в ИМХ РАН был проведен конкурс на замещение вакантных должностей научных работников. По решению конкурсной комиссии на должность научного сотрудника избран:
- Лаборатория Органического синтеза на основе растительного сырья
Жеребцов Максим Александрович
Поздравляем!
28.05.2024
Заместитель директора по научной работе, д.х.н., профессор РАН Александр Владимирович Пискунов за значительный вклад в становление и развитие науки награжден юбилейной медалью “300 лет Российской Академии наук”

Магнитно-люминесцентные комплексы эрбия
22.05.2024
Молекулярными магнетиками (single molecule magnets, SMM) называются объекты молекулярного масштаба, демонстрирующие свойства, характерные для объемных ферромагнитных материалов. Большинство известных в настоящее время SMM представляют собой координационные соединения, молекулы которых содержат один или несколько ионов металлов с достаточно большим числом неспаренных электронов, и при достаточно низких температурах (ниже температуры блокировки ТБ) обладают способностью сохранять в течение определенного времени остаточную намагниченность. Молекулы-магниты могут быть использованы в качестве элементов высокоплотной магнитной памяти и квантового компьютинга. Сотрудниками ИМХ РАН на основе объемных арилоксидного и фторированных алкоксидных лигандов синтезирована серия бифункциональных низкокоординационных комплексов эрбия, обладающих магнито-люминесцентными свойствами. Показано, что полученные соединения не только ведут себя как индуцированные полем молекулярные магниты (SMM), но и демонстрируют характерное для ионов Er3+ излучение в ближней инфракрасной области (NIR), связанное с переходом 4I13/2 → 4I15/2 с чрезвычайно длительным временем жизни, достигающим 73 мкс. Анализ спектров излучения полученных комплексов в ближней ИК-области позволил выявить корреляции энергетической щели между основным и первым возбужденным состояниями, полученной из люминесценции, с величинами эффективных энергетических барьеров, полученных из динамических магнитных измерений. Работа опубликована в Dalton Transactions.

II Конкурс работ молодых ученых ИМХ РАН
20.05.2024
За участие во II конкурсе работ молодых ученых ИМХ РАН, посвященном памяти Г.А. Разуваева, высокое качество представленных работ, объявлена благодарность: Лапшину И.В., Вилкову И.В., Рогожину А.Ф., Норкову С.В., Кошелеву И.В., Богачеву М.А., Анисимовой Н.Д., Зверевой Ю.В., Климашевской А.В., Созиновой Ю.И., Таракановой А.Е., Котельниковой А.А., Кушнеровой О.А., Сковородко А.А., Храмовой Д.В.
Участники конкурса, занявшие призовые места, будут премированы в мае 2024 года:
1. Научный сотрудник лаборатории МКК, к.х.н. Лапшин И.В. в размере 25 000 рублей – 1 место
2. Младший научный сотрудник лаборатории ГНМ Вилков И.В. в размере 20 000 рублей – 2 место
3. Младший научный сотрудник сектора КРЗЭ Рогожин А.Ф. в размере 20 000 рублей – 2 место
4. Научный сотрудник лаборатории МРАЛ, к.х.н. Норков С.В. в размере 15 000 рублей – 3 место
5. Стажер-исследователь лаборатории МКК Богачев М.А. в размере 15 000 рублей – 3 место
6. Лаборант-исследователь лаборатории МКК Кошелев И.В. в размере 15 000 рублей – 3 место
Новости Профсоюза
14.05.2024
14 мая 2024 года в здании Президиума Санкт-Петербургской академии наук прошло торжественное заседание Центрального совета Всероссийского профессионального союза работников Российской академии наук, посвящённое 300-летию Российской академии наук. В составе делегации от Нижегородского регионального отделения профсоюзов РАН, включающей представителей профсоюзов ведущих институтов РАН Нижнего Новгорода, в заседании приняла участие сотрудник ИМХ РАН Трофимова О.Ю.
С приветственными словами на открытии торжественного заседания ЦС Профсоюза выступили:
- Заместитель министра науки и высшего образования Российской Федерации Омельчук Андрей Владимирович
- Председатель комитета по науке и высшей школе Правительства Санкт-Петербурга Максимов Андрей Станиславович
- Председатель профсоюза РАН, профессор РАН Чучева Галина Викторовна.
На заседании были представлены доклады ведущих российских учёных о развитии институтов РАН на протяжении трёх веков и о современном состоянии исследований в учреждениях РАН. С докладами выступили: директор Библиотеки РАН, к.пед.н. Скворцова О.В.; директор Института истории материальной культуры РАН, д.и.н. Поляков А.В.; директор Института восточных рукописей РАН, член-корр. РАН, д.и.н. Попова И.Ф.; директор СПб Филиала архива РАН, член-корр. РАН, д.и.н. Тункина И.В. и председатель Профсоюза работников РАН, заместитель директора по научной работе Института радиотехники и электроники им. В.А.Котельникова, д.ф.-м.н. профессор РАН Чучева Г.В.

Редокс-изомерия в твердых растворах
10.05.2024
Системы, способные пребывать в двух состояниях, отличающихся электронным строением (бистабильные системы), представляют собой потенциальные структурные элементы для создания молекулярных электронных устройств (ячеек памяти, сенсоров, переключателей). Сотрудниками ИМХ РАН совместно с коллегами из МТЦ СО РАН (г. Новосибирск) разработана бистабильная магнитная система на основе комплекса кобальта, содержащего свободно-радикальные о-семихиноновые и нитроксильный органические лиганды. Соединение демонстрирует феномен редокс-изомерии, который сопровождается петлей гистерезиса на зависимости эффективного магнитного момента от температуры. Положение петли гистерезиса удается сместить в область более низких температур путем приготовления твердых растворов комплекса кобальта с его редокс-инертным никелевым аналогом, при этом ширина самой петли на зависимости магнитного момента от температуры остается практически неизменной. Результаты исследования опубликованы в журнале Dalton Transactions.

В ИМХ РАН открыты вакансии научных сотрудников
08.05.2024
Федеральное государственное бюджетное учреждение науки Институт металлоорганической химии им. Г.А. Разуваева Российской академии наук объявляет конкурс на замещение следующей вакантной должности:
- Научный сотрудник Лаборатории Органического синтеза на основе растительного сырья
одна вакансия
Для участия в конкурсе претендентам необходимо разместить свою заявку на портале вакансий. Срок подачи документов до 16:00 28 мая 2024 г. Дополнительная информация по телефону +7 (831) 4626571.
79 лет Победы
07.05.2024
07 мая 2024 г. в 14.00 в читальном зале библиотеки состоялось общее собрание сотрудников Института, посвященное 79 годовщине Победы в Великой Отечественной войне 1941-1945 гг.
Аспирант Гришин М.Д. выступил с историческим сообщением “Курская битва”. Сотрудники Чесноков С.А. и Кожанов К.А. подготовили презентацию “Бессмертный полк” в память о родственниках сотрудников института – героях-участниках Великой Отечественной войны.

Завершён II конкурс научно-исследовательских работ молодых ученых ИМХ РАН, посвященный памяти Г.А. Разуваева
24.04.2024
С 23 по 24 апреля 2024 г. проведен II конкурс научно-исследовательских работ молодых ученых ИМХ РАН, посвященный памяти Г.А. Разуваева. В конкурсе приняло участие 15 человек. По результатам оценки представленных работ призовые места заняли следующие работы:
- I место
Лапшин И.В. (лаб. МКК)
Простой и эффективный катализ реакций гидрофункционализации - II место
Вилков И.В. (лаб. ГНМ)
Мезокристаллизация в MOCVD процессах на примере мезокристаллов карбида титана: актуальное состояние проблемы
Рогожин А.Ф. (сектор КРЗЭ)
Тетрацианидобораты двухвалентных Eu и Yb – 3D MOFs с кубической структурой. Яркая красная люминесценция Eu[B(CN)4]2 - III место
Норков С.В. (лаб. МРАЛ)
Дизайн катехолпроизводных с гетероциклическими пи-системами: путь к органическим полупроводникам
Кошелев И.В. (лаб. МКК)
Гетеробиметаллические комплексы щелочных и щелочноземельных металлов в качестве катализаторов стереоселективной изомеризации терминальных олефинов
Богачев М.А. (лаб. МКК)
Конформационно-жёсткий карбазольный гетероцикл – перспективная платформа для разработки низкокоординационных гидридов металлов
Конкурс научно-исследовательских работ молодых ученых ИМХ РАН
22.04.2024
Администрация ИМХ РАН и Совет молодых ученых ИМХ РАН с 22 по 24 апреля 2024 года проводит конкурс научно-исследовательских работ молодых ученых ИМХ РАН.
В конкурсе могут участвовать все научные сотрудники ИМХ РАН, принимающие участие в выполнении научно-исследовательских работ по плану НИР института, и не достигшие на момент проведения конкурса полных 36 лет. На конкурс представляются результаты научно-исследовательских работ, выполненных в 2022-2024 г.г. в соответствии с планом НИР института, как индивидуально, так и в составе научных коллективов.
Всем участникам конкурса предоставляется не более 15 минут для доклада и не более 10 минут для обсуждения (25 минут на одного человека).
С программой выступлений можно ознакомиться по ссылке.
XXVII Всероссийская конференция молодых учёных-химиков
19.04.2024
С 16 по 18 апреля 2024 года на площадке ННГУ им. Н.И. Лобачевского (Нижний Новогород) проходила XXVII Всероссийская конференция молодых учёных-химиков.
Научная программа конференции включала в себя работу 7 секций: Органическая и элементоорганическая химия, Химия высокомолекулярных соединений, Неорганическая и аналитическая химия, Теоретическая и квантовая химия, фотохимия и спектроскопия, Физическая химия, Прикладные исследования и материалы, а также Конкурс учебно-исследовательских работ школьников.
За время проведения мероприятия свои устные доклады представили более 500 молодых ученых-химиков из ведущих научных центров нашей страны.
По итогам работы конференции экспертное жюри определило лучшие выступления. Молодые сотрудники ИМХ РАН были награждены:
– Дипломом II степени Гришин Матвей
– Дипломом III степени Богачев Михаил
– Дипломом III степени Тараканова Анастасия
Поздравляем наших победителей!

SUPRADESIGN 2024
17.04.2024
15–19 апреля 2024 года в Казани проходит X Международный симпозиум «Дизайн и синтез супрамолекулярных архитектур», посвященный 90-летнему юбилею Александра Ивановича Коновалова.
В рамках симпозиума с.н.с ИМХ РАН A.В. Черкасова представила устный доклад “Новые аспекты в химии кофациальных соединений: самосборка “клетка”- подобных металлокомплексов на основе редокс-активных бис-диоксоленов”

Новые соединения для создания противотуберкулезных препаратов
05.04.2024
Исследователи из Института металлоорганической химии им. Г.А. Разуваева РАН (г. Нижний Новгород), Института общей и неорганической химии им. Н.С. Курнакова РАН (г. Москва) и Института общей генетики им. Н.И. Вавилова РАН (г. Москва) в совместной работе представили простой одностадийный способ синтеза гетерометаллических висмут-медного и лантан-медного соединений, обладающих высокой антимикобактериальной активностью в отношении Mycolicibacterium smegmatis как модели возбудителя туберкулеза – палочки Коха (Mycobacterium tuberculosis). Новые комплексы обладают антимикобактериальной активностью, сравнимой с активностью препаратов первого ряда для лечения туберкулеза – рифампицина и изониазида. Результаты исследования опубликованы в журнале Inorganica Chimica Acta.

Пресс-релиз опубликован на сайте Научная Россия
Новости РНФ
02.04.2024
Российский научный фонд подвел итоги конкурса проектов отдельных научных групп 2024 года.
Поддержку фонда получил проект директора ИМХ РАН, академика Федюшкина И.Л. “Низковалентные производные металлов 13 группы: синтез, строение и реакционная способность”
Завершён конкурс на замещение вакантных должностей научных работников
28.03.2024
27 марта 2024 года в ИМХ РАН был проведен конкурс на замещение вакантных должностей научных работников. По решению конкурсной комиссии на должность старшего научного сотрудника избран:
- Москалев Михаил Владимирович
Лаборатория лиганд-промотируемых реакций
На должности научного сотрудника избраны:
- Кушнерова Ольга Александровна
Лаборатория функциональных металл-органических соединений - Казаков Геннадий Геннадьевич
Лаборатория металлокомплексов с редокс-активными лигандами
АПОХ 2024
21.03.2024
Сотрудники ИМХ РАН приняли участие в работе Всероссийской молодежной научной школы-конференции “Актуальные проблемы органической химии”, проходившей с 15 по 21 марта 2024 года в окрестностях горнолыжного курорта «Шерегеш», Кемеровская область.
Свои доклады представили
с.н.с., к.х.н. Арсеньев Максим Вячеславович «Карбонилсодержащие соединения в фотоуправляемой радикальной полимеризации»,
н.с., к.х.н. Жиганшина Эльнара Ринатовна «Метакрилатсодержащие красители как инициаторы двухфотонной полимеризации» и
м.н.с. Тараканова Анастасия Евгеньевна «Синтез и окисление пространственно-экранированных катехолфенолов»

Новый полимерный материал с антибактериальными свойствами
18.03.2024
Сотрудники ИМХ РАН совместно с коллегами из ПИМУ (Нижний Новгород) синтезировали пористый гибридный полимер на основе поли(диметакрилат этиленгликоля) и разработали метод иммобилизации антибиотика ванкомицина на поверхности пор полученного гибридного материала. Это позволяет загружать целевое лекарственное средство в широком диапазоне концентраций, различающихся до двух порядков. Положительным свойством используемого полимера является его цитосовместимость, что продемонстрировано при взаимодействии с ним клеток человека in vitro. Пористая структура материала, его антибактериальные свойства и цитосовместимость дают основание рассматривать этот тип полимерного материала как основу для дальнейшей разработки трансплантатов нового поколения для лечения костных дефектов. Работа опубликована в Polymers.

Лиганд-индуцированные редокс-превращения в комплексах титана с аценафтен-1,2-дииминовым лигандом
11.03.2024
Сотрудниками ИМХ РАН продемонстрирован ступенчатый перенос спиновой плотности от металла к редокс-активному α-дииминовому лиганду в ряду хлоридо/алкоксихлоридокомплексов титана с 1,2-бис[(2,6-диизопропилфенил)имино]аценафтеном (dpp-Bian). Обменная реакция хлорида титана(IV) с мононатриевым производным dpp-Bian дает соединение (dpp-Bian)TiCl3, электронная структура которого наиболее близко описывается как комплекс титана (III) с дииминовым лигандом. Последовательное замещение электроноакцепторных хлоридных лигандов электронодонорными алкоксигруппами приводит к ступенчатому восстановлению металлоцентром нейтрального дииминового лиганда вплоть до моноаниона в молекуле (dpp-Bian)Ti(OiPr)2Cl. Максимальная восстановительная способность металлоцентра, реализующаяся в окружении трех алкоксидных лигандов, обусловливает образование бисамидного производного (dpp-Bian)Ti(OiPr)2 за счет элиминированияизопропоксильного радикала из молекулы [(dpp-Bian)Ti(OiPr)3].
Таким образом, показано, что комбинация редокс-активного неинноцентного лиганда с металлом, способным находиться в различных степенях окисления, является фундаментальным фактором для создания комплексов с тонко настраиваемыми электронными свойствами. Данный подход может быть использован в дизайне катализаторов окислительно-восстановительного типа. Работа опубликована в Inorganic Chemistry.

VIII Российский День редких земель
04.03.2024
С 13 по 16 февраля 2024 года в Нижнем Новгороде прошла очередная Всероссийская конференция с медждународным участием VIII Российский День редких земель, организованная ИМХ РАН и ННГУ им. Н.И. Лобачевского.
За активное участие в подготовке и умелую организацию проведения конференции объявляется благодарность с.н.с. Д.М. Любову, с.н.с. Т.В. Балашовой, н.с. О.Ю. Трофимовой, с.н.с. А.Н. Селихову, с.н.с. В.А. Ильичёву, с.н.с. А.О. Толпыгину, н.с. И.В. Лапшину, м.н.с. Л.И. Силантьевой, м.н.с. С.К. Поляковой, м.н.с. А.Ф. Рогожину, м.н.с. Х. Закария, лаб.-иссл. И.Д. Ермолину.
Стартует конкурс на право получения грантов Нижегородской области в сфере науки, технологий и техники
01.03.2024
Министерство образования и науки Нижегородской области информирует, что с 1 марта 2024 г. стартует конкурс на право получения грантов Нижегородской области в сфере науки, технологий и техники. Конкурс проводится по следующим направлениям развития науки, технологий и техники Нижегородской области, утвержденный постановлением Правительства Нижегородской области от 5 марта 2012 г. № 109:
- Безопасность и противодействие терроризму;
- Индустрия наносистем;
- Информационно-телекоммуникационные системы;
- Науки о жизни;
- Перспективные виды вооружения, военной и специальной техники;
- Рациональное природопользование и экология;
- Новые технологии машиностроения, транспортные и космические
системы; - Энергоэффективность, энергосбережение, ядерная энергетика;
- Новые материалы, химические технологии, фармацевтика и медицина;
- Прочность, надежность и ресурс инженерных конструкций.
Подробные условия проведения конкурса изложены в приложении.
Превращения гетероалленов с участием оксида алюминия на основе аценафтен-1,2-дииминового лиганда
28.02.2024
Сотрудниками ИМХ РАН продемонстрированы различные способы связывания и трансформации гетероалленов оксидом алюминия с аценафтен-1,2-дииминовым лигандом [(dpp-bian)Al(μ2-O)2Al(dpp-bian)]. Впервые в ходе реакций изоцианатов с оксидом металла получены производные имидокарбоновых кислот, а гидролиз аддукта алюмоксана с дициклогексилкарбодимидом позволил выделить соответствующую замещенную мочевину, что продемонстрировало возможность использования данного оксида в качестве оксопереносящего реагента в органическом синтезе. В присутствии соединения [(dpp-bian)Al(μ2-O)2Al(dpp-bian)] реализовано селективное гидроборирование различных гетероалленов. Фундаментальные исследования такого рода актуальны, поскольку предлагают новые подходы к трансформации непредельных органических соединений. Работа опубликована в Dalton Transactions.

Формирование проекционным способом толстой периодической структуры в слое фотополимеризующейся композиции
21.02.2024
Сотрудниками ИМХ РАН найден способ оптического создания полимерных структур с периодическим распределением показателя преломления в слое фотополимеризуюшейся композиции, толщина которого значительно превышает глубину резкости используемой проекционной системы. С помощью стандартной некогерентной проекционной системы (на основе DLP-проектора) были экспериментально получены решётки с периодом 10 μm и толщиной 1.2 mm. Фоточувствительной средой являлась смесь ОКМ-2 с хиноновым фотоинициатором с добавлением бутанола в качестве нейтрального компонента.
Рассмотренный подход формирования протяжённых периодических треков может расширить технические возможности существующих DLP-систем 3D-печати и улучшить оперативность изготовления изделия за счёт увеличения толщины слоёв, а также путём формирования толстых микроструктурированных слоёв. Работа опубликована в Journal of Applied Polymer Science.

VIII Российский День редких земель
19.02.2024
С 13 по 16 февраля 2024 года в Нижнем Новгороде прошёл VIII Российский День редких земель — Всероссийская конференция с международным участием, на которой традиционно собираются ведущие учёные в области редкоземельных металлов со всей России. В этом году число участников конференции достигло 120 человек.
Научная программа конференции включала пленарные, устные и стендовые доклады, освещающие все важнейшие аспекты и общемировые тенденции в химии редкоземельных металлов (РЗМ): органические, неорганические, координационные и гибридные производные, а также неорганические материалы на основе РЗМ. Тезисы представленных участниками докладов доступны на сайте конференции.
Поздравляем!
14.02.2024
За достигнутые результаты в развитии научно-образовательного комплекса Нижегородской области и в связи с Днем российской науки 13 февраля 2024 года сотрудники ИМХ РАН Матвей Гришин и Наталья Протасенко были награждены Почетными грамотами Министерства образования и науки Нижегородской области.

Поздравляем с юбилеем!
12.02.2024
Коллектив ИМХ РАН сердечно поздравляет заведующего Сектором комплексов редкоземельных элементов, доктора химических наук, профессора Бочкарева Михаила Николаевича с 85-летием!
От всей души желаем ему крепкого здоровья, ярких научных идей и выдающихся результатов!

Заседание Учёного Совета ИМХ РАН
08.02.2024
6 февраля 2024 г. состоялось заседание Учёного Совета ИМХ РАН, на котором рассмотрены заявки на участие в конкурсе проектов РНФ:
- Фронтальная полимеризация видимым излучением сверхтолстых слоёв композиций для ускоренного синтеза функциональных материалов и 3D-объектов заданной геометрии
Руководитель М.В. Арсеньев - Синтез и свойства биэлементных металлоподобных соединений редкоземельных металлов состава MX2 и MX и их органических производных
Руководитель С.Ю. Бухвалова - Экспериментально-теоретическая электронная плотность в исследовании строения и свойств функционализированных органических соединений и их металлокомплексов для материалов электронных технологий и медицины
Руководитель Р.В. Румянцев
Все проекты получили одобрение членов Учёного Совета.
С праздником!
Дорогие коллеги!
8 февраля 1724 года по Указу первого русского императора Петра Первого была основана Российская академия наук – научное учреждение, не имеющее аналогов в мире.
Российская академия наук великое национальное достояние. За все годы существования РАН верно и бескорыстно служит своему народу, создавая новые фундаментальные знания, участвуя в грандиозных научно-технических проектах.
Поздравляю вас с этой знаменательной датой. Желаю дальнейших научных открытий и продолжения традиций, заложенных основателем института академиком АН СССР Г.А. Разуваевым и его учениками академиком РАН Г.А. Абакумовым, членами-корреспондентами РАН Г.А. Домрачевым, В.К. Черкасовым.
Директор ИМХ РАН
академик РАН И.Л. Федюшкин
Поздравляем директора ИМХ РАН академика РАН И.Л. Федюшкина с получением государственной награды
06.02.2024
За большой вклад в развитие отечественной науки, многолетнюю плодотворную деятельность и в связи с 300-летием со дня основания Российской академии наук указом Президента Российской Федерации директор ИМХ РАН академик Федюшкин Игорь Леонидович награжден Медалью Ордена “За Заслуги Перед Отечеством” II Степени

60 Years of Academic Science in Nizhny Novgorod
01.02.2024
На сайте журнала “Russian Journal of General Chemistry” опубликован специальный выпуск, посвященный юбилею ИМХ РАН.

Special Issue “60 Years of Academic Science in Nizhny Novgorod”
Биядерные металломакроциклы кобальта и никеля
29.01.2024
Сотрудниками ИМХ РАН получены гомобиядерные металломакроциклы кобальта и никеля, в которых в качестве лиганда выступают связанные резорциновыми мостиками о-семихиноны. Согласно рентгеноструктурным данным о-семихиноновые фрагменты в полученных комплексах расположены кофациально и образуют клетки, способные удерживать гостевую молекулу за счет координации с атомами металла. В синтезированных комплексах кобальта и никеля роль гостя играет диэтиловый эфир, при этом две молекулы координированы снаружи, а одна – внутри. Полученные соединения могут найти применение в качестве новых функциональных абсорбционных материалов. Работа опубликована в журнале Polyhedron.

η2-Ацетиленовые комплексы Ca(II) и Yb(II)
09.01.2024
Учеными ИМХ РАН совместно с коллегами из ИНЭОС РАН (Москва) установлена природа связи в η2-комплексах ацетиленов с ионами s- (Ca2+) и f-металлов (Yb2+). Экспериментальными и расчётными методами показано, что в отличии от d-переходных металлов взаимодействие тройной связи С≡С с ионом металла имеет электростатическую природу и характеризуются относительно небольшой энергией (2–5 ккал/моль). Полученный результат вносит существенный вклад в понимание активации связи С≡С ионами s- и f-металлов и возможностей их использования в катализе превращений ацетиленов и получения практически значимых соединений. Работа опубликована в журнале Chemistry A European Journal.

Химию – в жизнь!
30.12.2023
В декабрьском выпуске журнала «Поиск НН» опубликована статья, посвященная юбилею ИМХ РАН.

Прецизионные параметры влияния метильного заместителя на электронное строение кобальтоцена
21.12.2023
Сотрудниками ИМХ РАН проведено первое исследование спектра масс-селективной пороговой ионизации (MATI) монометилзамещенного кобальтоцена. С уникальной точностью экспериментально определены важные молекулярные параметры – первый потенциал ионизации нейтральной молекулы и колебательные частоты свободного молекулярного иона. С использованием квантово-химических расчетов в рамках теории функционала плотности и метода связанных кластеров впервые получены характеристики изменений молекулярного и электронного строения, сопровождающих отрыв электрона от замещенного кобальтоцена. Обнаружены и охарактеризованы новые эффекты влияния метильной группы на вибронные взаимодействия, определяющие динамическое поведение сэндвичевой молекулы. Работа опубликована в журнале Physical Chemistry Chemical Physics.

XXVIII Нижегородская сессия молодых ученых
08.12.2023
С 5 по 8 декабря 2023 года на базе Загородного отеля «Волга» проходила XXVIII Нижегородская сессия молодых ученых (технические, естественные, гуманитарные науки). В рамках Сессии была организована научно-практическая конференция с работой дискуссионных площадок, проведены научно-популярные лекций о достижениях молодых ученых региона и заседание Совета молодых ученых Нижегородской области.
В рамках работы площадки «Новые вызовы – новые технологии: естественные науки» молодые сотрудники ИМХ РАН представили свои устные доклады и ответили на вопросы экспертного жюри.
По итогам работы Сессии в секции «Химия» за лучшие выступления были награждены:
1 место: Храмова Дарья «Влияние температуры фотополимеризации на свойства пористых матриц из поли(диметакрилата этиленгликоля)»
2 место: Климашевская Анастасия «Донорно-акцепторные комплексы олова (IV) на основе различных о-бензохинонов и дииминового лиганда – DPPZ»
3 место: Тараканова Анастасия «Алкилирование фенолов 4,6- ди-трет-бутил-3-метоксиметилпирокатехином. Антирадикальная активность пространственно-экранированных катехолфенолов»
Поздравляем наших победителей!

Завершён конкурс на замещение вакантных должностей научных работников
01.12.2023
01 декабря 2023 года в ИМХ РАН был проведен конкурс на замещение вакантных должностей научных работников. По решению конкурсной комиссии на должность главного научного сотрудника избран:
- Михаил Николаевич Бочкарёв
Сектор комплексов редкоземельных элементов
В ИМХ РАН открыты вакансии научных сотрудников
30.11.2023
Федеральное государственное бюджетное учреждение науки Институт металлоорганической химии им. Г.А. Разуваева Российской академии наук объявляет конкурс на замещение следующих вакантных должностей:
- Лаборатории металлокомплексного катализа
Научный сотрудник, одна вакансия
Для участия в конкурсе претендентам необходимо разместить свою заявку на портале вакансий. Срок подачи документов до 16:00 20 декабря 2023 г. Дополнительная информация по телефону +7 (831) 4626571.
Новости РНФ
29.11.2023
Российский научный фонд подвел итоги конкурса на получение грантов для малых отдельных научных групп. Поддержку фонда получили три проекта сотрудников ИМХ РАН:
– к.х.н. И.Н. Мещерякова – Тетрадентатные редокс-активные ONNO лиганды как эффективные «хранилища» электронов. Синтез комплексов и направленная модификация лигандов;
– к.х.н. Т.В. Балашова – Комплексы лантаноидов с полициклическими борсодержащими лигандами как потенциальные фото- и электролюминесцентные материалы;
– к.х.н. А.О. Толпыгин – Комплексы редкоземельных металлов для каталитического получения биосовместимых и биоразлагаемых полимерных материалов на основе циклических эфиров.
Поздравляем победителей и желаем успешной реализации проектов!
Завершён конкурс на замещение вакантных должностей научных работников
28.11.2023
28 ноября 2023 года в ИМХ РАН был проведен конкурс на замещение вакантных должностей научных работников. По решению конкурсной комиссии на должности ведущего научного сотрудника избраны:
- Ольга Владимировна Кузнецова
Лаборатория физико-химических исследований - Сергей Николаевич Менсов
Сектор оптики неоднородных полимеров
На должности научного сотрудника избраны:
- Наталья Вадимовна Золотарёва
Сектор фосфорорганических соединений - Николай Михайлович Лазарев
Сектор термохимических исследований
Юбилей ИМХ РАН – 35 лет!
27.11.2023
В этом году Институт металлоорганической химии им. Г.А. Разуваева отмечает несколько юбилейных дат. В 1963 г. по инициативе академика Г.А. Разуваева в Горьком было организовано первое учреждение АН СССР – Лаборатория стабилизации полимеров АН СССР. В 1969 г. Президиум Академии наук СССР принял решение о преобразовании данной лаборатории в Институт химии АН СССР, который в 1988 г. был реорганизован в Институт металлоорганической химии АН СССР, в настоящее время ИМХ РАН.

22 ноября 2023 года в Нижегородском государственном университете им. Н.И. Лобачевского состоялось торжественное заседание Ученого совета ИМХ РАН, посвященное 35-летию Института и 60-летию Лаборатории стабилизации полимеров. Директор ИМХ РАН академик И.Л. Федюшкин представил доклад об истории Института и основных направлениях исследований. С юбилеем ИМХ РАН лично поздравили академики РАН В.П. Анаников (ИОХ РАН, Москва), А.Г. Литвак (ИФМ РАН, Н.Новгород), О.Г. Синяшин (ИОФХ, Казань), члены-корреспонденты РАН А.А. Карасик (ИОФХ, Казань), К.Ю. Жижин (ИОНХ РАН, Москва), Д.Ф. Гришин (ННГУ, Н. Новгород), З.Ф. Красильник (ИФМ РАН, Н.Новгород), А.Ю. Федоров (ННГУ, Н.Новгород), декан химического факультета МГУ, профессор РАН С.С. Карлов, профессор РАН М.В. Федин (МТЦ СО РАН, Новосибирск), ректор ННГУ д.э.н. О.В. Трофимов, декан химического факультета ННГУ д.х.н. А.В. Маркин, профессор НГТУ д.х.н. И.В. Бодриков, сотрудники ПИМУ – проректор по развитию к.с.н. Н.Н. Патокина и в.н.с. к.б.н. М.Н. Егорихина, директор ИФМ РАН д.ф.-м.н. А.В. Новиков, зам. директора ИХВВ РАН д.х.н. В.С. Ширяев, начальник отдела НОЦ А.Э. Палютин. 23 Ноября юбилейные мероприятия продолжились в рамках конференции «Развитие металлоорганической и координационной химии в XXI веке», где к поздравлениям присоединились профессор РАН Белкова Н.В. (ИНЭОС РАН, Москва) и д.х.н. Болотин Д.С. (СПБГУ, Санкт-Петербург). Также свои поздравительные адреса прислали: академики РАН М.П. Егоров, Р.З. Сагдеев, А.М. Музафаров, С.Н. Калмыков, и.о. директора ИНЭОС РАН чл.-корр. А.А. Трифонов, директор ИОНХ РАН чл.-корр. В.К. Иванов, директор НИОХ СО РАН Е.Г. Багрянская, ректор Мининского университета к.ф.-м.н. В.В. Сдобняков, ректор ПИМУ д.м.н. Н.Н. Карякин, ректор НГТУ им. Р.Е. Алексеева д.т.н. С.М. Дмитриев, директор ИПМ РАН профессор В.И. Ерофеев, директор ИХВВ РАН чл.-корр. А.Д. Буланов, д.х.н. А.Н. Егорочкин, председатель НРО Профсоюза работников РАН В.Ф. Вдовин.
Органические радикалы и органическая электрохимия: фундаментальные и прикладные аспекты
20.11.2023
Сотрудники ИМХ РАН приняли участие в работе Всероссийской конференции им. академика В.И. Овчаренко “Органические радикалы и органическая электрохимия: фундаментальные и прикладные аспекты”, проходившей с 13 по 15 ноября 2023 года в ИОХ РАН (г. Москва). Директор ИМХ РАН академик Федюшкин И.Л. представил пленарный доклад на тему «Редокс-изомерия в соединениях лантаноидов». С устными докладами выступили к.х.н. Морозов А.Г. «Лиганд-индуцированные редокс-превращения в комплексах титана с аценафтен-1,2-дииминовым лигандом» и к.х.н. Мартьянов К.А. «Пространственно-затрудненные о-хиноны с азобензольным фрагментом»

Шахматный турнир
17.11.2023
16 ноября 2023 года в ИМХ РАН прошел шахматный турнир, посвященный 35-летию Института.
Поздравляем победителей!
1 место – с.н.с., к.х.н. Ларичев Р.Б. (лаб.СРС)
2 место – в.н.с., к.х.н. Объедков А.М. (лаб.ГНМ)
3 место – н.с., к.х.н. Норков С.В. (лаб.МРАЛ)

Спин-кроссовер в пятикоординационных комплексах кобальта
Химия диоксоленовых (о-хиноновых, о-семихиноновых, катехолатных) комплексов переходных металлов благодаря академику Г. А. Абакумову и его школе оформилась в отдельное направление координационной химии. На этих комплексах были обнаружены уникальные явления: фото-/термо механический эффект (упругий изгиб нитевидных кристаллов под действием тепла и света), редокс-изомерия (обратимый внутримолекулярный перенос электрона под внешним воздействием (тепло, свет, давление, магнитное поле и т. д.)), показана взаимосвязь этих явлений. Одним из нетронутых объектов до настоящего времени оставались пятикоординационные бис-диоксоленовые комплексы кобальта, которые потенциально могут быть редокс-изомерными. Сотрудниками ИМХ РАН получен ряд новых трифенилфосфиновых комплексов кобальта на основе различных о-хинонов, отличающихся стерической загрузкой и редокс-потенциалом. Установлено, что два комплекса находятся в дублетном состоянии, т. е. содержат один неспаренный электрон, локализованный на лиганде – семихиноне. В третьем комплексе, содержащем метокси-заместитель в диоксоленовом лиганде, неспаренный электрон локализован на металле. При нагревании данный комплекс претерпевает спиновый переход из дублетного в секстетное состояние (т. е. переходит в состояние с пятью неспаренными электронами). Такое явление, под названием спин-кроссовер, хорошо известно для шести-координационных комплексов с азотными лигандами. В пятикоординационных соединениях с фосфиновыми лигандами это наблюдается впервые. Работа опубликована в журнале Polyhedron.

Комплекс самария с периленом
09.11.2023
Перилен – полициклический ароматический углеводород, хорошо известный яркой люминесценцией с высоким квантовым выходом, большими коэффициентами экстинкции, термо- и фотостабильностью. Благодаря сочетанию этих свойств перилен и его производные нашли широкое применение в оптоэлектронике, фотокатализе, биоимиджинге, в создании сенсоров и флуоресцентных меток. Сотрудниками ИМХ РАН по реакции метатезиса периленового комплекса калия с дииодидом самария удалось получить и структурно охарактеризовать комплекс двухвалентного самария с периленом, который в данном соединении находится в форме анион-радикала. Спектр поглощения комплекса самария содержит две интенсивные полосы, соответствующие спин-разрешенным f–d-переходам, а спектр ФЛ имеет широкую полосу f–d-излучения Sm2+ при 758 нм. Результаты квантово-химических расчетов подтверждают двухвалентное состояние металла в комплексе и ионную природу взаимодействий металл-лиганд. Работа опубликована в журнале Organometallics.

Новое соединение с переключаемыми магнитными свойствами
08.11.2023
Ученые из Института общей и неорганической химии им. Н.С. Курнакова РАН и Института металлоорганической химии им. Г.А. Разуваева РАН разработали простой одностадийный способ получения соединения, обладающего свойством мономолекулярного магнита. Исследователи впервые установили возможность использования нового типа исходных веществ, одновременно содержащих атомы азота и кислорода, для конструирования молекулярных магнитов. Разработка перспективна для создания новых устройств хранения информации, а также молекулярных сенсоров. Работа опубликована в журнале New Journal of Chemistry.

В ИМХ РАН открыты вакансии научных сотрудников
Федеральное государственное бюджетное учреждение науки Институт металлоорганической химии им. Г.А. Разуваева Российской академии наук объявляет конкурс на замещение следующих вакантных должностей:
- Главный научный сотрудник Сектора комплексов редкоземельных элементов
одна вакансия
Для участия в конкурсе претендентам необходимо разместить свою заявку на портале вакансий. Срок подачи документов до 16:00 29 ноября 2023 г. Дополнительная информация по телефону +7 (831) 4626571.
Новые люминесцирующие комплексы платины
07.11.2023
Ученые ИМХ РАН совместно с коллегами из Санкт-Петербурга и Лозанны исследовали новые люминесцирующие комплексы платины на основе C,N-координированных лигандов и иодпиридина. Оказалось, что благодаря атому иода такие комплексы образуют супрамолекулярные структуры за счет галогеновых связей. Квантово-химические расчеты показали, что в рамках нековалентных взаимодействий I•••Pt положительно заряженный атом платины способен донировать электронную плотность на “сигма-дырку” атома иода соседней молекулы комплекса. Установлено, что люминесценция комплексов представляет собой достаточно редкий для платиновых систем случай чистой фосфоресценции без участия излучательных переходов с возбужденных синглетных уровней. Расчеты помогли выяснить природу соответствующих электронных переходов, создавая теоретическую основу для разработки более эффективных эмиссионных материалов. Работа опубликована в журнале Dalton Transactions.

В ИМХ РАН открыты вакансии научных сотрудников
03.11.2023
Федеральное государственное бюджетное учреждение науки Институт металлоорганической химии им. Г.А. Разуваева Российской академии наук объявляет конкурс на замещение следующих вакантных должностей:
- Ведущий научный сотрудник Лаборатории физико-химических исследований
одна вакансия - Ведущий научный сотрудник (0,5) Сектора оптики неоднородных полимеров
одна вакансия - Научный сотрудник Сектора фосфорорганических соединений
одна вакансия - Научный сотрудник Сектора термохимических исследований
одна вакансия
Для участия в конкурсе претендентам необходимо разместить свою заявку на портале вакансий. Срок подачи документов до 16:00 23 ноября 2023 г. Дополнительная информация по телефону +7 (831) 4626571.
10 лет РНФ
02.11.2023
Институт металлоорганической химии им. Г.А. Разуваева Российской академии наук сердечно поздравляет Российский Научный Фонд с 10-летним юбилеем.
Этот юбилей – прекрасный повод вспомнить все те успехи и достижения, которых удалось достичь за эти годы. Благодаря поддержке Фонда, российские ученые смогли воплотить в жизнь множество идей, которые уже в ближайшее время изменят нашу жизнь к лучшему. Сотни молодых ученых смогли закрепиться в науке и теперь определяют будущее страны.
Пусть юбилейный год принесет при поддержке Фонда еще больше замечательных открытий. Желаем Фонду процветания, а его сотрудникам – крепкого здоровья, благополучия и успешной работы.

Новости РНФ
01.11.2023
15 ноября завершается срок подачи заявок на участие в конкурсе на получение грантов РНФ по мероприятию «Проведение фундаментальных научных исследований и поисковых научных исследований отдельными научными группами».
Цианоарилпорфиразины как триггеры противоопухолевого иммунитета
В течение последних пятнадцати лет в ИМХ РАН разработано новое обширное семейство эффективных сенсибилизаторов для фотодинамической терапии на основе циано(арил)порфиразиновых пигментов. Для двух соединений (pzI и pzIII), принадлежащих этому семейству, недавно установлен высокий иммуногенный потенциал против экспериментальной глиомы, которая, как известно, является одной из самых тяжелых форм онкологии. Показано, что оба фотосенсибилизатора могут действовать как эффективные индукторы иммуногенного механизма смерти клеток глиомы GL261. При этом, как показали эксперименты in vivo, клетки, подвергшиеся фотодинамическому воздействию с использованием данных пигментов, приобретают свойства высоко эффективных профилактических вакцин, которые активируют противоопухолевый иммунитет, значительно снижают рост опухоли, существенно увеличивают время выживания экспериментальных животных и предотвращают опасность повреждения нервной системы. Биологические исследования in vivo с применением порфиразинов, синтезированных в ИМХ РАН, проводились в Гентском Университете и Институте изучения рака, г. Гент (Бельгия). Работа опубликована в журнале Pharmaceutics.

Биядерные металломакроциклы меди
27.10.2023
Сотрудниками ИМХ РАН на основе дитопного бис-диоксоленового лиганда с резорциновым мостиком синтезирован биядерный металломакроцикл меди, который благодаря кофациально (face-to-face) расположенным металлоцентрам способен инкапсулировать различные молекулы растворителя в качестве гостевых лигандов. Отличительная особенность этих комплексов – наличие внутренней полости, стенки которой образованы гидрофобными трет-бутильными группами, при этом доступ гостевой молекулы во внутреннее пространство металломакроцикла осуществляется через отверстия диаметром ~ 5 Å. Показано, что геометрия внутренней полости комплекса меняется в зависимости от координационных свойств инкапсулированной молекулы. Работа опубликована в журнале Dalton Transactions.

РСОШ благодарит Д.М. Любова за вклад в развитие интеллектуальных соревнований школьников
26.10.2023
За вклад в развитие интеллектуальных соревнований школьников в Российской Федерации в 2022/23 учебном году Российский Совет Олимпиад Школьников объявляет Благодарность члену экспертной комиссии по естественным наукам кандидату химических наук, старшему научному сотруднику ИМХ РАН Дмитрию Михайловичу Любову.

Хромофорные комплексы олова
25.10.2023
Сотрудниками ИМХ РАН получена серия новых бис-3,6-ди-трет-бутилкатехолатов олова(IV), содержащих металл-координированные диимины. Несмотря на октаэдрическое строение координационного узла, в синтезированных комплексах наблюдается перенос заряда лиганд(донор)-лиганд(акцептор), который характеризуется появлением соответствующей полосы поглощения в видимой области электронного спектра. Введение в состав комплекса различных дииминов позволяет в широких пределах изменять энергию переноса заряда. LL’CT-характер длинноволновых полос поглощения в электронных спектрах изученных соединений подтверждён результатами электрохимических и квантово-химических исследований. Наличие значительного числа межмолекулярных контактов приводит к усилению хромофорных свойств для кристаллических продуктов. Работа опубликована в журнале European Journal of Inorganic Chemistry.

Комплексы ранних переходных металлов с производными хинонов и иминохинонов
20.10.2023
Уважаемые коллеги!
В четверг 26 октября в 10:00 на семинаре в ИМХ РАН выступит Петров Павел Алексеевич, к.х.н., старший научный сотрудник лаборатории синтеза комплексных соединений Института неорганической химии им. А.В. Николаева СО РАН (г.Новосибирск).
Тема доклада Комплексы ранних переходных металлов с производными хинонов и иминохинонов.
Структурные и люминесцентные особенности ат-комплексов лантаноидов с полихлорированными 2-меркаптобензотиазолятными лигандами
19.10.2023

Для изучения влияния галогена, в частности хлора, содержащегося в «антенных» лигандах 2-меркаптобензотиазолятного типа, на люминесцентное поведение ат-комплексов лантаноидов сотрудниками ИМХ РАН были получены соответствующие производные с частично и полностью хлорированными 2-меркаптобензотиазолятами. С использованием методов люминесцентной спектроскопии, в том числе с временным разрешением, было показано, что введение хлоридных заместителей способно как повышать, так и понижать триплетный уровень таких лигандов. Теоретические и экспериментальные методы определения электронной плотности показали наличие в этих системах множества нековалентных взаимодействий, в которых участвуют атомы хлора. Реализация таких взаимодействий, вероятно, вносит основной вклад в понижение симметрии распределения отрицательного заряда в координационной сфере лантаноидов, что способствует увеличению интенсивности металл-центрированной фотолюминесценции. Оптимальное положение триплетного уровня, отсутствие C-H связей тушителей (заменены на C-Cl) и высокая асимметрия распределения отрицательного заряда, реализуемая через нековалентные взаимодействия атома хлора, делают перхлорированный 2-меркаптобензотиазол одной из лучших «антенн» для сенсибилизации металл-центрированной фотолюминесценции иона неодима, наблюдаемой в инфракрасном диапазоне. Работа опубликована в журнале Organometallics.
Развитие металлоорганической и координационной химии в XXI веке
13.10.2023
Уважаемые коллеги!
Приглашаем вас принять участие в работе научной конференции, посвященной 35-летию ФГБУН ИМХ РАН «Развитие металлоорганической и координационной химии в XXI веке».
Конференция состоится 22-23 ноября 2023 года в Нижегородском государственном университете им. Н.И. Лобачевского и Институте металлоорганической химии им. Г.А. Разуваева Российской академии наук, г. Нижний Новгород.
Научная конференция «Развитие металлоорганической и координационной химии в XXI веке» ставит перед собой следующие цели – повышение уровня квалификации научных сотрудников, приобретение ими опыта выступления на научных конференциях, ознакомление научной молодежи с современными направлениями исследований в области координационной и металлоорганической химии, налаживание межрегиональных научных связей. Участники конференции получат уникальную возможность ознакомиться с научными докладами ведущих Российских ученых.
Регистрация проходит до 1 ноября, тезисы принимаются до 10 ноября 2023 года.
Продолжается подготовка к юбилею
10.10.2023
В ИМХ РАН продолжается подготовка к празднованию 35-летию образования института. Подписан приказ о составе рабочей группы по организации праздничных мероприятий.
Юбилейные мероприятия планируется провести 22-23 ноября 2023 года.
Новости СМУ ИМХ РАН
06.10.2023
27 сентября 2023 года состоялось собрание научной молодёжи ИМХ РАН. На собрание были приглашены молодые учёные в возрасте до 39 лет включительно. Темой встречи являлось обсуждение положения о Совете молодых учёных ИМХ РАН (СМУ ИМХ РАН) и выборы председателя Совета. По итогам собрания было утверждено положение о СМУ, сформирована инициативная группа Совета, а также обсуждена программа его деятельности.
Наиболее цитируемые учёные мира
Опубликован очередной ежегодный список наиболее цитируемых ученых мира, составленный на основе базы данных Scopus, в которой индексируется более 20 000 научных журналов и содержатся сведения о более чем 8 миллионах исследователей. В число наиболее цитируемых исследователей вошли 909 россиян, в том числе директор ИМХ РАН академик И.Л. Федюшкин и заведующий сектором комплексов редкоземельных элементов д.х.н. М.Н. Бочкарёв.
VIII Российский день редких земель
03.10.2023
Приглашаем вас принять участие во всероссийской конференции «VIII Российский день редких земель».
Конференция охватывает все аспекты химии редкоземельных металлов (РЗМ), включая органические, неорганические, координационные и гибридные производные, а также неорганические материалы на основе РЗМ. Конференции РДРЗ стали традиционным форумом, собирающим ведущих учёных в области РЗМ со всей России. В 2024 году конференция пройдёт в Нижнем Новгороде, в Институте металлоорганической химии им. Г.А. Разуваева Российской академии наук с 14 по 16 февраля.
Регистрация проходит до 30 ноября 2023, тезисы принимаются до 15 января 2024 года.
Проведение фундаментальных научных исследований и поисковых научных исследований международными научными коллективами
02.10.2023
РНФ совместно с Вьетнамской Академией наук и технологий (VAST) открывают конкурс на получение грантов Фонда по мероприятию «Проведение фундаментальных научных исследований и поисковых научных исследований международными научными коллективами».
Гранты выделяются на осуществление научных исследований в 2024 – 2026 годах по следующим отраслям знаний:
- Математика, информатика и науки о системах;
- Физика и науки о космосе;
- Химия и науки о материалах;
- Биология и науки о жизни;
- Фундаментальные исследования для медицины;
- Сельскохозяйственные науки;
- Науки о Земле;
- Инженерные науки.
Размер одного гранта РНФ составляет от 4 до 7 млн рублей ежегодно. Финансирование получат проекты, которым удастся получить положительную оценку независимых экспертов обеих стран. Заявка на конкурс представляется не позднее 17 часов 00 минут (по московскому времени) 30 ноября 2023 года в виде электронного документа через ИАС РНФ. Результаты конкурса утверждаются правлением Фонда до 30 апреля 2024 года и в установленный срок размещаются на сайте РНФ. С информацией о конкурсе и требованиями к участникам можно ознакомиться на официальном сайте РНФ в разделе «Конкурсы».
Новые высокоэффективные катализаторы гидроаминирования олефинов
Сотрудниками ИМХ РАН разработаны новые каталитические системы на основе гетеробиметаллических бензгидрильных комплексов кальция(II) и иттербия(II), устроенных по типу контактных ионных пар. Анионная часть при этом состоит из трех бензгидрильных лигандов, η3-координированных с ионом M(II), а катионная представляет собой ион калия, инкапсулированный тремя η6-координированными фенильными кольцами. Комплексы продемонстрировали беспрецедентную каталитическую активность и 100% региоселективность в межмолекулярном гидроаминировании олефинов в мягких условиях. Комплекс кальция за счет согласованной активации двух субстратов на разных металлических центрах позволил впервые осуществить алкилирование аммиака стиролом с последующим гидроаминоалкилированием по одному из стирильных фрагментов с образованием N,N-дифенетил-1,4-дифенилбутан-2-амина. Работа опубликована в журнале ACS Catalysis.

Завершён конкурс на замещение должностей научных работников
29.09.2023
29 сентября 2023 года в ИМХ РАН был проведен конкурс на замещение вакантных должностей научных работников. По решению конкурсной комиссии на должности младшего научного сотрудника избраны:
- Лаборатория металлокомплексного катализа
Басалова Олеся Алексеевна - Лаборатория лиганд-промотируемых реакций
Базанов Андрей Андреевич
Силантьева Любовь Ивановна - Лаборатория гибридных наноматериалов
Вилков Илья Владимирович - Лаборатория функциональных металл-органических соединений
Кушнерова Ольга Александровна
Новые координационные полимеры на основе лантаноидов
Учёные из Института металлоорганической химии им. Г.А. Разуваева РАН впервые синтезировали координационные полимеры на основе лантаноидов, являющихся жесткими Льюисовскими кислотами, с применением мягкоосновных дитопных бистиазолятных лигандов, связывающихся с металлами через атомы серы. За счет «антенного» характера лиганда и необычной жестко-мягкой архитектуры связи металл-лиганд в этих системах происходит обратимое превращение 2D координационных полимеров в ионные комплексы, сопровождающееся разрывом связей лантаноид-сера и изменением типа люминесценции с металл-центрированной на лиганд-центрированную. Работа опубликована в журнале Inorganic Chemistry.

Обеспечение жильём молодых учёных в 2023 году
13.09.2023
На сайте Министерства науки и высшего образования РФ опубликован алгоритм действий молодых ученых организаций, подведомственных Минобрнауки России, необходимых для принятия участия в мероприятиях по обеспечению жильем молодых ученых основного мероприятия «Обеспечение жильем отдельных категорий граждан» в рамках государственной программы Российской Федерации «Обеспечение доступным и комфортным жильем и коммунальными услугами граждан Российской Федерации».
Байкальские чтения
11.09.2023
Делегация ИМХ РАН приняла участие в Международной конференции по химии «Байкальские чтения – 2023», проходившей с 4 по 8 сентября 2023 года в Иркутске и посвященной 65-летию Иркутского института химии им. А.Е. Фаворского СО РАН и 85-летию академика Бориса Александровича Трофимова. В конференции приняли участие ведущие ученые из Москвы, Санкт-Петербурга, Казани, Новосибирска, Томска, Иваново, Уфы, Улан-Удэ, а также из Китая, Узбекистана и Беларуси. На конференции были представлены устные доклады к.х.н. Арсеньева М.В. «Полифункциональные пространственно-экранированные (поли)фенолы и о-бензохиноны», к.х.н. Трофимовой О.Ю. «Гетеролептические металл-органические координационные полимеры на основе лигандов анилатного типа», к.х.н. Малеевой А.В. «Катехолаты галлия с дииминовыми лигандами как комплексы с переносом заряда на примере производных непереходных металлов», к.х.н. Барышниковой С.В. «Пространственно-экранированные комплексы олова(IV) с редокс-активными лигандами о-хинонового типа», к.х.н. Ершовой И.В. «Перенос заряда в комплексах галлия и индия с редокс-активными лигандами различной природы», к.х.н. Жиганшиной Э.Р. «Полифункциональные фотоинициаторы на основе бензилиден-циклопентанона. Их применение в композициях для нанолитографии», к.х.н. Арсеньевой К.В. «Хромофоры на основе катехолатных комплексов непереходных элементов 14-ой группы с α-дииминовыми лигандами и N-донорными линкерами» и аспиранта Климашевской А.В. «Синтез, структурные и спектральные характеристики донорно-акцепторных комплексов олова(IV) на основе о-бензохинонов с трет-октильными заместителями и лигандов α-дииминового типа», стендовый доклад к.х.н. Копцевой Т.С. «Оксиды и халькогениды алюминия с бис(имино)аценафтеновыми лигандами».


Начинается прием заявок на соискание Государственной премии РФ в области науки и технологий
08.09.2023
Срок приема документов: с 15 сентября по 15 декабря 2023 года.
Бумажные оригиналы заявок направляются в Совет при Президенте Российской Федерации по науке и образованию заказным почтовым отправлением, либо через филиал отдела по обеспечению фельдъегерской связи Администрации Президента.
Если заявка не содержит информацию ограниченного доступа, перед отправкой бумажных оригиналов ее необходимо зарегистрировать на сайте Российского научного фонда. Там же можно ознакомиться с требованиями к оформлению документов и полными правилами подачи заявки.
В ИМХ РАН открыты вакансии научных сотрудников
06.09.2023
Федеральное государственное бюджетное учреждение науки Институт металлоорганической химии им. Г.А. Разуваева Российской академии наук объявляет конкурс на замещение следующих вакантных должностей:
- Младший научный сотрудник Лаборатории металлокомплексного катализа
одна вакансия - Младший научный сотрудник Лаборатории лиганд-промотируемых реакций
две вакансии - Младший научный сотрудник Лаборатории гибридных наноматериалов
одна вакансия - Младший научный сотрудник Лаборатории функциональных металл-органических соединений
одна вакансия
Для участия в конкурсе претендентам необходимо разместить свою заявку на портале вакансий. Срок подачи документов до 16:00 26 сентября 2023 г. Дополнительная информация по телефону +7 (831) 4626571.
Ремонтные работы
07.08.2023
В июле 2023 года в ИМХ РАН (главный корпус, помещение №2) проведён ремонт узла учёта ХВС с заменой вентилей и кранов. При подготовке системы отопления к работе в зимний период заменены изношенные радиаторы отопления в 12 помещениях.
Наука VS фантастика: как нижегородские учёные создают реальность будущего
10.07.2023
В газете Нижегородская Правда опубликовано интервью с директором и сотрудниками Института металлоорганической химии им. Г.А. Разуваева, приуроченное к 35-летию ИМХ РАН и 60-летию Лаборатории стабилизации полимеров АН СССР.

Cтипендия имени академика Г.А. Разуваева
07.07.2023
Поздравляем аспирантов ИМХ РАН с присуждением стипендии имени академика Г.А. Разуваева:
- Матвея Данииловича Гришина
- Анастасию Владимировну Климашевскую
- Екатерину Алексеевну Козлову
- Светлану Константиновну Полякову
- Антона Федоровича Рогожина
Работы по ремонту в ИМХ РАН в первой половине 2023 года
03.07.2023
- Отремонтированы лабораторные комнаты №№ 114, 117, 118 для размещения в ИМХ РАН новых порошкового Tondga TD-3700 и монокристального Tongda TD-5000 рентгеновских дифрактометров.
- Проведён капитальный ремонт запорной арматуры на главной ветке теплотрассы, установлены водонагреватели в комнатах третьего этажа.
Результаты заседания Учёного Совета ИМХ РАН
29.06.2023
28 июня состоялось очередное заседание Учёного Совета ИМХ РАН.
- В ходе работы обсуждены вопросы участия научных работников нашего института в грантах, договорах, научных проектах других организаций. Участие в этих научно-исследовательских проектах возможно только при условиях согласия директора ИМХ РАН и подписания Соглашения между ИМХ РАН и сторонней организацией о проведении совместных работ по тематике этих научных проектов.
- Обсуждены мероприятия по празднованию 35-летия ИМХ РАН и 60-летия Лаборатории стабилизации полимеров – родоначальнице ИХ АН СССР – ИМХ РАН.
Принято решение провести научную конференцию с отчетами руководителей научных подразделений и приглашением ведущих ученых страны с пленарными лекциями. Мероприятия запланированы на конец ноября 2023 года.
MolMag-2023
Федеральное государственное бюджетное учреждение науки Институт «Международный томографический центр» Сибирского отделения Российской академии наук (МТЦ СО РАН) 9-14 июля 2023 проводит X Международную конференцию «Высокоспиновые молекулы и молекулярные магнетики» (MolMag-2023). В числе участников – научные сотрудники ИМХ РАН: д.х.н. М.П. Бубнов, д.х.н. В.А. Куропатов, к.х.н. К.А. Мартьянов, к.х.н. А.В. Черкасова, к.х.н. И.В. Ершова, к.х.н. А.В. Малеева, к.х.н. О.Ю. Трофимова.
Настройка поровой структуры биосовместимых полимеров под влиянием о-хинонового фотоинициатора
26.06.2023
Сотрудниками лаборатории фотополимеризации и полимерных материалов ИМХ РАН методом фотополимеризации синтезированы пористые полимерные монолиты из композиций на основе диметакрилата этиленгликоля в присутствии порообразующего агента и о-хинонового фотоинициатора. Для фотоинициирования использованы пространственно-экранированные о-бензохиноны, камфорхинон и 9,10-фенантренхинон. Также получены пористые монолиты путем термической радикальной полимеризации с использованием азобисизобутиронитрила (AIBN) при 100°С. Установлено, что все полимеры обладают системой открытых пор размером от долей микрона до десятков микрон. При этом средний размер пор D полимеров при фотоинициировании изменяется от 3.6 до 9.9 мкм в зависимости от использованного о-хинона, а для полимера, полученного с использованием AIBN величина D уменьшается до 0.8 мкм. Прочность пористых монолитов увеличивается симбатно с уменьшением доли крупных пор (более 12 мкм) в структуре полимера. Все полимеры не обладают цитотоксичностью. Для полимеров, полученных фотоинициированием характерно положительное воздействие на пролиферативную активность клеток, что делает их перспективными материалами для медицинского применения. Работа выполнена в соавторстве с российскими коллегами из ПИМУ (Приволжский исследовательский медицинский университет, Нижний Новгород). Работа опубликована в журнале Polymers (Q1).

Завершён конкурс на замещение вакантной должности младшего научного сотрудника
15.06.2023
15 июня 2023 года в ИМХ РАН был проведен конкурс на замещение вакантных должностей научных работников. По решению конкурсной комиссии на должность младшего научного сотрудника избран:
- Закария Хамза
Лаборатория металлокомплексного катализа
Результаты заседания Учёного Совета ИМХ РАН
13.06.2023
09 июня 2023 г. состоялось очередное 9-ое заседание Ученого Совета ИМХ РАН. В ходе работы Совета были приняты следующие решения:
- Рекомендовать 8 проектов для участия в конкурсе Российского научного фонда «Малые научные группы»:
- Руководитель Бубнов М.П.
Новые пятикоординационные бис-диоксоленовые комплексы поздних переходных металлов 3d-ряда с монодентатными лигандами различной природы – потенциальная основа для создания молекулярных устройств. - Руководитель Протасенко Н.А.
Редокс-изомерные системы нового типа на основе диоксолен-формазанатных комплексов металлов - Руководитель Балашова Т.В.
Комплексы лантаноидов с полициклическими борсодержащими лигандами как потенциальные фото- и электролюминесцентные материалы. - Руководитель Фагин А.А.
Синтез и свойства биэлементных металлоподобных соединений редкоземельных металлов состава MX2 и MX и их органических производных. - Руководитель Мещерякова И.Н.
Тетрадентатные редокс-активные ONNO лиганды как эффективные «хранилища» электронов. Синтез комплексов и направленная модификация лигандов. - Руководитель Толпыгин А.О.
Комплексы редкоземельных металлов для каталитического получения биосовместимых и биоразлагаемых полимерных материалов на основе циклических эфиров. - Руководитель Вилков И.В.
Применение и развитие методов спектроскопии характеристических потерь энергий электронами вблизи краёв поглощения для структурных исследований на границе раздела фаз в гетерофазных наноразмерных материалах. - Руководитель Батенькин М.А.
Роль постполимеризации при оптическом формировании полимеров нестационарным излучением.
- Руководитель Бубнов М.П.
- Провести в конце ноября 2023 г. праздничные мероприятия, посвященные 35-летию ИМХ РАН и 60-летию Лаборатории стабилизации полимеров АН СССР.
Общее собрание Российской академии наук и Отделения химии и наук о материалах РАН
05.06.2023
22-23 мая 2023 года в Москве прошло Общее собрание Российской академии наук и Отделения химии и наук о материалах РАН. От нашего института в собраниях приняли участие академик РАН И.Л. Федюшкин и профессор РАН А.В. Пискунов. Директор института академик РАН И.Л. Федюшкин избран членом бюро Отделения химии и наук о материалах Российской академии наук; заместитель директора по научной работе профессор РАН А.В. Пискунов избран членом бюро профессоров РАН по химическому отделению.
Современные тенденции в химии металлорганических соединений и катализе
31.05.2023

С 23 по 27 мая 2023 года представительная делегация сотрудников ИМХ РАН под руководством директора, академика РАН И.Л. Федюшкина приняла участие в работе 4го Международного симпозиума «Современные тенденции в химии металлорганических соединений и катализе», проводимого в Институте элементоорганических соединений им. А.Н. Несмеянова РАН. Столь яркое и значимое научное событие приурочено к столетию со дня рождения академика Марка Ефимовича Вольпина, директора ИНЭОС (1988-1996), выдающегося ученого, проложившего новые пути в органической, металлоорганической и бионеорганической химии и катализе. Исследования, проводимые Марком Ефимовичем, актуальны и по сей день, что подтверждается новейшими результатами ведущих исследовательских коллективов, представленными на Симпозиуме. От ИМХ РАН были представлены следующие доклады:
- Пленарная лекция И.Л. Федюшкина Compounds with Low-Valent p-Block Elements
- Приглашенные лекции А.В. Пискунова Design and tuning of electronic properties for LL’CТ metal complexes и С.Ю. Кеткова Specific Features of Metallocene Molecular and Electronic Structures Unveiled by Threshold Ionization Spectroscopy and DFT Calculations
- Устные доклады Т.С. Копцевой Transformation of Heteroallenes with Acenaphthene-1,2-diimine Aluminum Compounds и О.Ю. Трофимовой Mixed-ligand metal-organic coordination polymers based on redox-active linkers of the anilate type
Завершён конкурс на замещение вакантных должностей научных работников
30.05.2023
30 мая 2023 года в ИМХ РАН был проведен конкурс на замещение вакантных должностей научных работников. По решению конкурсной комиссии на должность старшего научного сотрудника избрана:
- Сектор комплексов редкоземельных элементов
Балашова Татьяна Виларьевна
На должности научного сотрудника избраны:
- Лаборатория металлокомплексов с редокс-активными лигандами
Норков Сергей Владимирович
Арсеньева Ксения Витальевна - Лаборатория фотополимеризации и полимерных материалов
Захарина Мария Юрьевна
В ИМХ РАН открыты вакансии научных сотрудников
24.05.2023
Федеральное государственное бюджетное учреждение науки Институт металлоорганической химии им. Г.А. Разуваева Российской академии наук объявляет конкурс на замещение следующих вакантных должностей:
- Младший научный сотрудник Лаборатории металлокомплексного катализа
одна вакансия
Для участия в конкурсе претендентам необходимо разместить свою заявку на портале вакансий. Срок подачи документов до 13 июня 2023 г. (16:00). Дополнительная информация по телефону +7 (831) 4626571.
В ИМХ РАН открыты вакансии научных сотрудников
06.05.2023
Федеральное государственное бюджетное учреждение науки Институт металлоорганической химии им. Г.А. Разуваева Российской академии наук объявляет конкурс на замещение следующих вакантных должностей:
-
- Научный сотрудник Лаборатории фотополимеризации и полимерных материалов
одна вакансия - Старший научный сотрудник Сектора комплексов редкоземельных элементов
одна вакансия - Научный сотрудник Лаборатории металлокомплексов с редокс-активными лигандами
две вакансии
- Научный сотрудник Лаборатории фотополимеризации и полимерных материалов
Для участия в конкурсе претендентам необходимо разместить свою заявку на портале вакансий. Срок подачи документов до 26 мая 2023 г. (16:00). Дополнительная информация по телефону +7 (831) 4626571.
Завершён конкурс на замещение вакантных должностей научных работников
28.04.2023
28 апреля 2023 года в ИМХ РАН был проведен конкурс на замещение вакантных должностей научных работников. По решению конкурсной комиссии на должности научного сотрудника избраны:
- Лаборатория фотополимеризации и полимерных материалов
Жиганшина Эльнара Ринатовна - Лаборатория металлокомплексного катализа
Лапшин Иван Вадимович
На должность младшего научного сотрудника избрана:
- Лаборатория металлокомплексного катализа
Радькова Наталья Юрьевна
Завершён конкурс на замещение вакантных должностей научных работников
28.03.2023
24 марта 2023 года в ИМХ РАН был проведен конкурс на замещение вакантных должностей научных работников. По решению конкурсной комиссии на должности ведущего научного сотрудника избраны:
- Лаборатория фотополимеризации и полимерных материалов
Чесноков Сергей Артурович - Лаборатория строения металлоорганических и координационных соединений
Кетков Сергей Юлиевич - Лаборатория органического синтеза на основе растительного сырья
Бочкарёв Леонид Николаевич - Лаборатория лиганд-промотируемых реакций
Скатова Александра Анатольевна - Сектор термохимических исследований
Семенов Владимир Викторович - Сектор комплексов редкоземельных элементов
Бочкарёв Михаил Николаевич
Конкурс научных работ молодых исследователей
03.03.2023
С 20 по 21 февраля 2023 г. в ИМХ РАН проведен конкурс работ молодых исследователей, посвященный памяти академика Григория Алексеевича Разуваева. В конкурсе приняло участие 15 человек. По результатам оценки представленных работ призовые места заняли следующие работы:
- I место
- Лапшин И.В. (лаборатория МКК)
Карбеновые лиганды в координационной химии редкоземельных металлов
- Лапшин И.В. (лаборатория МКК)
- II место
- Вилков И.В. (лаборатория ГНМ)
Гибридный наноматериал WC1-x/МУНТ: синтез, исследование, применение в качестве упрочняющих добавков в дисперсно-упрочненных алюминиевых сплавах - Протасенко Н.А. (лаборатория МРАЛ)
о-Семихинон-формазанатные комплексы кобальта и меди. Синтез, строение и магнитные свойства
- Вилков И.В. (лаборатория ГНМ)
- III место
- Кушнерова О.А. (лаборатория ФМОС)
Реакционная способность галлилена на основе dpp-bian лиганда: циклоприсоединение vs двухэлектронное окислительное присоединение - Гришин М.Д. (сектор ФОС)
3а,6а–Диаза-1,4–дифосфапенталены: синтез и комплексообразование с 1,2,4,5 – тетрацианобензолом - Мартьянов К.А. (лаборатория МРАЛ)
Диоксоленовые лиганды с диазаарильными заместителями
- Кушнерова О.А. (лаборатория ФМОС)
- Закария Хамза (лаборатория МКК)
вне конкурса
Учитывая высокий научный уровень всех представленных работ и в соответствии с условиями конкурса всем участникам объявлена благодарность:
- Младшему научному сотруднику лаборатории МКК Лапшину И. В.
- Младшему научному сотруднику лаборатории ГНМ Вилкову И.В.
- Научному сотруднику лаборатории МРАЛ Протасенко Н.А.
- Младшему научному сотруднику лаборатории ФМОС Кушнеровой О.А.
- Стажеру лаборатории МКК Закарии Хамзе
- Младшему научному сотруднику сектора ФОС Гришину М.Д.
- Научному сотруднику лаборатории МРАЛ Мартьянову К.А.
- Старшему научному сотруднику лаборатории ФМОС Додонову В.А.
- Младшему научному сотруднику лаборатории СРС Жеребцову М.А.
- Младшему научному сотруднику сектора КРЗЭ Рогожину А.Ф.
- Младшему научному сотруднику лаборатории СРС Храмовой Д.В.
- Младшему научному сотруднику лаборатории ФППМ Таракановой А.Е.
- Младшему научному сотруднику лаборатории ЛПР Базанову А.А.
- Младшему научному сотруднику лаборатории МРАЛ Климашевской А.В.
- Младшему научному сотруднику сектора КРЗЭ Поляковой С.К.
Участники конкурса, занявшие призовые места, будут премированы в марте 2023 года:
- Младший научный сотрудник лаборатории МКК Лапшин И.В. в размере 25 000 рублей – 1 место.
- Младший научный сотрудник лаборатории ГНМ Вилков И.В. в размере 20 000 рублей – 2 место.
- Научный сотрудник лаборатории МРАЛ Протасенко Н.А. в размере 20 000 рублей – 2 место.
- Младший научный сотрудник лаборатории ФМОС Кушнерова О.А. в размере 15 000 рублей – 3 место.
- Младший научный сотрудник сектора ФОС Гришин М.Д. в размере 15 000 рублей – 3 место.
- Научный сотрудник лаборатории МРАЛ Мартьянов К.А. в размере 15 000 рублей – 3 место.
В ИМХ РАН открыты вакансии научных сотрудников
01.03.2023
Федеральное государственное бюджетное учреждение науки Институт металлоорганической химии им. Г.А. Разуваева Российской академии наук объявляет конкурс на замещение следующих вакантных должностей:
- Ведущий научный сотрудник
Лаборатории фотополимеризации и полимерных материалов
одна вакансия - Ведущий сотрудник
Лаборатории строения металлоорганических и координационных соединений
одна вакансия - Ведущий сотрудник
Лаборатории органического синтеза на основе растительного сырья
одна вакансия - Ведущий сотрудник
Лаборатории лиганд-промотируемых реакций
одна вакансия - Ведущий сотрудник
Сектора термохимические исследования
одна вакансия - Ведущий сотрудник
Сектора комплексов редкоземельных элементов
одна вакансия
Для участия в конкурсе претендентам необходимо разместить свою заявку на портале вакансий. Срок подачи документов до 16:00 21 марта 2023 г. Дополнительная информация по телефону +7 (831) 4626571.
Расширенное заседание Учёного Совета ИМХ РАН
13.02.2023
13 февраля 2023 года состоялось расширенное заседание Учёного Совета ИМХ РАН, традиционно посвященное дню памяти основателя института академика АН СССР Григория Алексеевича Разуваева. На мероприятии с воспоминаниями о Г.А. Разуваеве выступили:
- директор института, академик РАН И.Л. Федюшкин,
- ведущий научный сотрудник, к.ф.-м.н. Б.С. Каверин,
- ученый секретарь, к.х.н. К.Г. Шальнова,
- ведущий научный сотрудник, д.х.н. В.В. Семенов.
Научное сообщение “Проблемы двухфотонной нанолитографии” сделал ведущий научный сотрудник, д.х.н. С.А. Чесноков.
В заключение младший научный сотрудник Матвей Даниилович Гришин выступил с презентацией, посвященной 80-летию победы в Сталинградской битве.
Завершён конкурс на замещение вакантных должностей научных работников
23.01.2023
23 января 2023 года в ИМХ РАН был проведен конкурс на замещение вакантных должностей научных работников. По решению конкурсной комиссии на должность старшего научного сотрудника избран:
- Лаборатория функциональных металл-органических соединений
Василий Александрович Ильичёв
На должности научного сотрудника избраны:
- Лаборатория металлокомплексов с редокс-активными лигандами
Кира Игоревна Пашанова - Лаборатория фотополимеризации и полимерных материалов
Алёна Алексеевна Локтева - Лаборатория фотополимеризации и полимерных материалов
Нина Александровна Леньшина
Чл.-корр. РАН В.К. Черкасов (1946-2023)
03.01.2023
Институт металлоорганической химии им. Г.А. Разуваева Российской академии наук с прискорбием сообщает, что 1 января 2023 года после продолжительной болезни скончался член-корреспондент РАН, доктор химических наук Владимир Кузьмич Черкасов.
В.К. Черкасов – известный специалист в области химии стабильных свободных радикалов и парамагнитных металлоорганических и координационных соединений. Одним из первых в нашей стране в начале 70-х годов прошлого века ввел в практику исследования метод спиновых ловушек. Владимир Кузьмич один из соавторов открытия нового явления – редокс-изомерии, свойственного парамагнитным комплексам переходных металлов с радикальными лигандами. В его работах на примере бистабильных о-семихиноновых комплексов кобальта показано, что на молекулярном уровне механизм фото(термо)механического эффекта обусловлен редокс-изомерными превращениями. В.К. Черкасовым с сотрудниками показана возможность конструирования многоспиновых координационных полимеров – прототипов молекулярных ферромагнетиков на основе о-семихиноновых комплексов металлов.
Прикладное значение имеют работы Владимира Кузьмича в области фотохимии о-хинонов. При его участии на основе результатов фундаментальных исследований в этой области разработаны новые фоточувствительные среды для записи информации, а также фотоинициирующие системы для полимеризации олигоэфиракрилатов и технологии изготовления оптических элементов.

В.К. Черкасов – лауреат Государственной премии СССР (1985 г.), автор более 400 научных статей, опубликованных в международных и отечественных журналах, 10 авторских свидетельств СССР, 2 патента РФ, 2 патента США. Под его научным руководством подготовлены и защищены 1 докторская и 13 кандидатских диссертаций.
В.К. Черкасов был заместителем председателя Нижегородского научного центра РАН, входил в составы экспертных советов РНФ, РФФИ и ВАК, являлся членом научных советов Отделения химии и наук о материалах РАН.
В ИМХ РАН открыты вакансии научных сотрудников
29.12.2022
Федеральное государственное бюджетное учреждение науки Институт металлоорганической химии им. Г.А. Разуваева Российской академии наук объявляет конкурс на замещение следующих вакантных должностей:
- Старший научный сотрудник Лаборатории функциональных металл-органических соединений
одна вакансия - Научный сотрудник Лаборатории металлокомплексов с редокс-активными лигандами
одна вакансия - Научный сотрудник Лаборатории фотополимеризации и полимерных материалов
две вакансии
Для участия в конкурсе претендентам необходимо разместить свою заявку на портале вакансий. Срок подачи документов до 16:00 18 января 2023 г. Дополнительная информация по телефону +7 (831) 4626571.
Профилактика гриппа и ОРВИ
20.12.2022

Наступила зима – сезон подъёма заболеваемости острыми респираторно–вирусными инфекциями и гриппом. Опасность этих заболеваний, особенно гриппа, в том, что распространяются они очень быстро, а это может привести к массовому заражению. С целью информирования по вопросам профилактики респираторных инфекций рекомендуем ознакомиться с информационными материалами по профилактике гриппа и ОРВИ от Управления Роспотребнадзора по Нижегородской области.

В ИМХ РАН открыты вакансии научных сотрудников
02.12.2022
Федеральное государственное бюджетное учреждение науки Институт металлоорганической химии им. Г.А. Разуваева Российской академии наук объявляет конкурс на замещение следующих вакантных должностей:
- Научный сотрудник группы рентгено-дифракционных исследований
одна вакансия
Для участия в конкурсе претендентам необходимо разместить свою заявку на портале вакансий. Срок подачи документов до 23 декабря 2022 г. 16:00. Дополнительная информация по телефону +7 (831) 4626571.
Завершён конкурс на замещение вакантных должностей научных работников
18.10.2022
18 октября 2022 года в ИМХ РАН был проведен конкурс на замещение вакантных должностей научных работников. По решению конкурсной комиссии на должности старшего научного сотрудника избраны:
- Черкасова Анна Валентиновна
Лаборатория металлокомплексов с редокс-активными лигандами - Додонов Владимир Алексеевич
Лаборатория лиганд-промотируемых реакций - Полуштайцев Юрий Викторович
Лаборатория фотополимеризации и полимерных материалов
Открыт конкурс на замещение вакантной должности старшего научного сотрудника лаборатории СРС
13.10.2022
Федеральное государственное бюджетное учреждение науки Институт металлоорганической химии им. Г.А. Разуваева Российской академии наук объявляет конкурс на замещение следующих вакантных должностей:
- Старший научный сотрудник Лаборатории органического синтеза на основе растительного сырья
одна вакансия
Для участия в конкурсе претендентам необходимо разместить свою заявку на портале вакансий. Срок подачи документов до 02 ноября 2022 г. (16:00). Дополнительная информация по телефону +7 (831) 4626571.
85 лет со дня рождения академика РАН и первого директора ИМХ РАН Г.А. Абакумова
03.10.2022
30 сентября исполнилось 85 лет со дня рождения выдающегося российского ученого, академика РАН, первого директора ИМХ РАН Глеба Арсентьевича Абакумова.
4 октября в Актовом зале Национального исследовательского Нижегородского государственного университета им. Н.И. Лобачевского состоится открытие IX Всероссийской конференции по химии полиядерных соединений и кластеров «Кластер – 2022», посвященной 85-летию академика РАН Г.А. Абакумова.
В связи с этими событиями мы размещаем на сайте Института интервью Глеба Арсентьевича, предоставленное из архива с.н.с. ИМХ РАН, к.х.н. Людмилы Васильевны Горбуновой. Беседа Глеба Арсентьевича с корреспондентом газеты «Курьер» Г. Шагиевой была опубликована в ноябре 1989 года. Это было время становления нашего института и первый год директорства Г.А. Абакумова.
Прошло более 30 лет, но так же актуальны размышления Глеба Арсентьевича о роли науки в жизни общества, о личностях, без которых развитие любого государства невозможно.
Завершён конкурс на замещение вакантных должностей научных работников
27.09.2022
27 сентября 2022 года в ИМХ РАН был проведен конкурс на замещение вакантных должностей научных работников. По решению конкурсной комиссии на должности научного сотрудника избраны:
- Лукина Дарья Алексеевна
Лаборатория лиганд-промотируемых реакций - Барышникова Светлана Викторовна
Лаборатория функциональных металл-органических соединений
На должности младшего научного сотрудника избраны:
- Гурина Галина Андреевна
Лаборатория металлокомплексного катализа - Казаков Геннадий Геннадьевич
Лаборатория металлокомплексов с редокс-активными лигандами
На должности младшего научного сотрудника 0,5 ст. избраны:
- Тараненко Глеб Русланович
Лаборатория металлокомплексного катализа - Храмова Дарья Владимировна
Лаборатория строения металлоорганических и координационных соединений - Гришин Матвей Даниилович
Сектор фосфорорганических соединений - Тараканова Анастасия Евгеньевна
Лаборатория фотополимеризации и полимерных материалов
В ИМХ РАН открыты вакансии научных сотрудников
21.09.2022
Федеральное государственное бюджетное учреждение науки Институт металлоорганической химии им. Г.А. Разуваева Российской академии наук объявляет конкурс на замещение следующих вакантных должностей:
- Старший научный сотрудник Лаборатории лиганд-промотируемых реакций
одна вакансия - Старший научный сотрудник Лаборатории фотополимеризации и полимерных материалов
одна вакансия - Старший научный сотрудник Лаборатории металлокомплексов с редокс-активными лигандами
одна вакансия
Для участия в конкурсе претендентам необходимо разместить свою заявку на портале вакансий. Срок подачи документов до 11 октября 2022 г. (16:00). Дополнительная информация по телефону +7 831 462-65-71.
В ИМХ РАН открыты вакансии научных сотрудников
06.09.2022
Федеральное государственное бюджетное учреждение науки Институт металлоорганической химии им. Г.А. Разуваева Российской академии наук объявляет конкурс на замещение следующих вакантных должностей:
- Младший научный сотрудник (½ ст.) Лаборатории фотополимеризации и полимерных материалов
две вакансии - Младший научный сотрудник (½ ст.) Лаборатории Органического синтеза на основе растительного сырья
одна вакансия - Младший научный сотрудник (½ ст.) Сектора фосфорорганических соединений
одна вакансия - Младший научный сотрудник (½ ст.) Лаборатории металлокомплексного катализа
одна вакансия
Для участия в конкурсе претендентам необходимо разместить свою заявку на портале вакансий. Срок подачи документов до 26 сентября 2022 г. (16:00). Дополнительная информация по телефону +7 (831) 4626571.
В ИМХ РАН открыты вакансии научных сотрудников
01.09.2022
Федеральное государственное бюджетное учреждение науки Институт металлоорганической химии им. Г.А. Разуваева Российской академии наук объявляет конкурс на замещение следующих вакантных должностей:
- Научный сотрудник Лаборатории лиганд-промотируемых реакций
одна вакансия - Научный сотрудник Лаборатории функциональных металл-органических соединений
одна вакансия - Младший научный сотрудник Лаборатории металлокомплексов с редокс-активными лигандами
одна вакансия - Младший научный сотрудник Лаборатории металлокомплексного катализа
одна вакансия
Для участия в конкурсе претендентам необходимо разместить свою заявку на портале вакансий. Срок подачи документов до 22 сентября 2022 г. (16:00). Дополнительная информация по телефону +7 (831) 4626571.
Завершён конкурс на замещение вакантных должностей научных работников
01.07.2022
29 июня 2022 года в ИМХ РАН был проведен конкурс на замещение вакантных должностей научных работников. По решению конкурсной комиссии на должность старшего научного сотрудника избран:
- Толпыгин Алексей Олегович
Лаборатории металлокомплексного катализа
На должности научного сотрудника избраны:
- Панова Юлия Сергеевна
Сектор фосфорорганических соединений - Мартьянов Константин Алексеевич
Лаборатория металлокомплексов с редокс-активными лигандами - Любова Татьяна Сергеевна
Лаборатория функциональных металл-органических соединений
Коллектив ИМХ РАН сердечно поздравляет Игоря Леонидовича Федюшкина с избранием действительным членом Российской академии наук!
08.06.2022
В ИМХ РАН доступна платформа SciFinder-n
В рамках централизованной (национальной) подписки на научные информационные ресурсы, организованной Российским фондом фундаментальных исследований (РФФИ) и компанией Chemical Abstracts Service (CAS) в ИМХ РАН с 7 июня 2022 г. доступна платформа SciFindern. Для доступа к электронным ресурсам CAS необходимо зарегистрироваться и авторизоваться. Для ранее авторизованных пользователей действительны все прежние логины и пароли для доступа к SciFindern.
В ИМХ РАН открыты вакансии научных сотрудников
04.06.2022
Федеральное государственное бюджетное учреждение науки Институт металлоорганической химии им. Г.А. Разуваева Российской академии наук объявляет конкурс на замещение следующих вакантных должностей:
- Научный сотрудник Сектора фосфорорганических соединений
одна вакансия - Научный сотрудник Лаборатории металлокомплексов с редокс-активными лигандами
одна вакансия - Научный сотрудник Лаборатории функциональных металл-органических соединений
одна вакансия - Старший научный сотрудник Лаборатории металлокомплексного катализа
одна вакансия
Для участия в конкурсе претендентам необходимо разместить свою заявку на портале вакансий. Срок подачи документов до 25 июня 2022 г. (16:00). Дополнительная информация по телефону +7 (831) 4626571.
Расширенное заседание Учёного Совета ИМХ РАН
06.05.2022
5-го мая 2022 года состоялось расширенное заседание Учёного Совета института, посвященное 77 годовщине Победы над фашистскими захватчиками в Великой Отечественной Войне 1941-1945 года.
Прозвучала бессмертная музыка композитора А.В. Александрова на слова Василия Лебедева-Кумача «Священная война».
Выступившие К.Г. Шальнова, М.Н. Бочкарев, А.В. Черкасова, Б.С. Каверин, М.А. Лопатин призвали вечно помнить беспримерный подвиг советского народа.
Смешанные комплексы европия-тербия в качестве молекулярных люминесцентных термометров: экспериментальное и теоретическое исследование термочувствительности
19.04.2022
Сотрудниками лаборатории металлокомплексного катализа ИМХ РАН синтезированы и охарактеризованы стабильные по отношению к кислороду и воде катионные комплексы лантаноидов, в которых ионы Ln3+ (Eu, Gd Tb, Dy, Er, Yb) координированы тремя нейтральными бис(имидазолил)пиридиновыми лигандами. Показано, что введение в координационную сферу ионов Ln3+ бис(имидазолил)пиридиновых лигандов позволяет эффективно сенсибилизировать металлцентрированную эмиссию ионов Eu3+, Tb3+ и Dy3+. На основе смешанного комплекса Eu/Tb (1/10) разработан эффективный ратиометрический люминесцентный термометр, демонстрирующий рекордное значение чувствительности, равное 6.6% K−1 в диапазоне 150–170 K. Проведенные теоретические расчеты, которые превосходно согласуются с экспериментом, позволили детально описать механизм возбуждения металлцентрированной люминесценции для чистых комплексов Eu, Tb, Dy, Yb и для смешанных образцов Eu/Tb.
Работа выполнена в соавторстве с российскими коллегами из Москвы (ИНЭОС РАН, ФИАН, МГУ), а также с зарубежными коллегами из Университета Авейру (Португалия) и Университета Монпелье (Франция). Работа опубликована в журнале Journal of Materials Chemistry C (Q1).

Завершён конкурс на замещение вакантных должностей научных работников
25.02.2022
25 февраля 2022 года в ИМХ РАН был проведен конкурс на замещение вакантных должностей научных работников. По решению конкурсной комиссии на должность старшего научного сотрудника избран:
- Лаборатория лиганд-промотируемых реакций
Макаров Валентин Михайлович
На должности научного сотрудника избраны:
- Лаборатория поисково-прикладных исследований
Лермонтова Светлана Алексеевна - Лаборатория органического синтеза на основе растительного сырья
Разборов Данила Александрович - Лаборатория строения металлоорганических и координационных соединений
Рычагова Елена Александровна
На должности младшего научного сотрудника избраны:
- Лаборатория поисково-прикладных исследований
Лукина Дарья Алексеевна
Христолюбова Александра Валерьевна - Лаборатория фотополимеризации и полимерных материалов
Жиганшина Эльнара Ринатовна
Юдин Владимир Валерьевич
Комплексы переходных металлов с функционализированными о-иминохиноновыми лигандами
20.02.2022
Сотрудники ИМХ РАН опубликовали обзор, посвященный синтезу, строению и свойствам комплексов поздних переходных металлов 3-d ряда с функционализированным лигандами о-иминохинонового типа. Обзор опубликован в престижном журнале Coordination Chemistry Reviews (Q1, IF = 22.315) и находится в свободном доступе до 30 марта 2022 года при переходе по ссылке:
authors.elsevier.com/a/1eYwX2Tz3tcgB
Kira I. Pashanova, Andrey I. Poddel’sky, Alexandr V. Piskunov
Complexes of “late” transition metals of the 3d row based on functionalized o-iminobenzoquinone type ligands: Interrelation of molecular and electronic structure, magnetic behaviour
Coord. Chem. Rev., 2022, 459, 214399

11 февраля отмечается международный день женщин и девочек в науке
11.02.2022
11 февраля отмечается международный день женщин и девочек в науке. В нашем институте работает 60 научных работников – женщин, среди них 2 доктора наук, 34 кандидата наук, всего 46,15% от списочной численности научных работников.
Наши женщины проявляют себя не только в научной, но и в административной деятельности: доктор химических наук, профессор РАН Александра Анатольевна Скатова руководит лабораторией лиганд-промотируемых реакций, является координатором Российского научного фонда; доктор химических наук Ольга Владимировна Кузнецова руководит лабораторией физико-химических исследований, является заместителем директора Центра коллективного пользования ИМХ РАН; кандидат химических наук Клара Геннадьевна Шальнова – ученый секретарь института.
6 человек являются руководителями грантов Президента Российской Федерации, Российского научного фонда: А.А. Скатова, Н.А. Леньшина, Т.В. Балашова, А.В. Малеева, К.И. Пашанова, Н.А. Протасенко. И.В. Ершова и С.В. Барышникова получают стипендии Президента Российской Федерации.
Следует отметить, что все проекты, выполняемые под руководством вышеперечисленных сотрудников, являются фундаментальными и обогащают науку новыми знаниями в области традиционной для нашего института тематики, связанной с изучением редокс-активных лигандов и их металлоорганических комплексов. Кроме того, эти исследования имеют инновационную составляющую и направлены на создание новых функциональных материалов.
Большой интерес, как с точки зрения фундаментальных знаний, так и практической, представляют междисциплинарные исследования сектора хромофорных соединений для медицины под руководством старшего научного сотрудника, кандидата химических наук Ларисы Григорьевны Клапшиной.
Этим работам посвящена статья «В атаку на раковые клетки», опубликованная в журнале «Поиск-НН», № 10, декабрь 2021, с которой мы знакомим посетителей сайта ИМХ РАН.
8 февраля – День Российской науки
08.02.2022
8 февраля в день Российской науки Институт металлоорганической химии им. Г.А. Разуваева вспоминает успехи и события прошедшего года.
В начале 2021 года прошло важное для института мероприятие – выборы директора. По результатам голосования рабочего коллектива директором ИМХ РАН на ближайшие 5 лет был выбран член-корреспондент РАН, д.х.н., профессор Игорь Леонидович Федюшкин.
Несмотря на трудности, связанные с эпидемиологической обстановкой, сотрудники Института в 2021 году успешно выполняли научные исследования в рамках Государственного задания. Кроме того, проводились работы по 14 грантам Российского Фонда Фундаментальных Исследований, 17 грантам Российского Научного Фонда и 4 грантам Совета по грантам Президента Российской Федерации для государственной поддержки молодых российских ученых и по государственной поддержке ведущих научных школ Российской Федерации.
Среди множества полученных в 2021 году научных результатов целый ряд был признан лучшими и вошли в отчеты Российской академии наук. Результат о получении мономолекулярных магнитов с рекордным анизотропным барьером перемагничивания был признан лучшим среди результатов ОХНМ РАН в 2021 году. Сведения о тетрапиррольных макрогетероциклах, как мощных индукторах иммуногенной смерти раковых клеток отмечен в Научном совете по медицинской химии. Научным советом по органической химии признаны заслуживающими внимания результаты об активации диоксида углерода на комплексах непереходных металлов с дииминовыми лигандами, синтезе бифункциональных о-хинонов, необычных фосфорсодержащих гетероциклах, а также спектральных особенностях сэндвичевых соединений. Среди разработок прикладного характера особенно ярко выделяются результаты исследований в области гибридных материалов на основе многостенных углеродных нанотрубок, термохромных люминесцентных материалов, инициаторов двухфотонной полимеризации и пористых полимерных биосовместимых скаффолдов.
По результатам исследований, выполняемых в ИМХ РАН в 2021 году, сотрудниками Института в соавторстве было опубликовано 132 статьи в рецензируемых отечественных и зарубежных журналах. Среди представленных публикаций больше половины статей приходится на периодические издания первого (Q1 – 42 статьи) и второго (Q2 – 29 статьи) квартилей. Сотрудники ИМХ РАН в 2021 году сделали более 40 научных докладов на конференциях различного уровня, включая международные форумы.
В 2021 году деятельность ЦКП “Аналитический центр ИМХ РАН” была поддержана грантом в форме субсидии на обеспечение развития материально-технической инфраструктуры в рамках реализации основного мероприятия “Развитие инфраструктуры научной, научно-технической деятельности (центров коллективного пользования, уникальных научных установок)” подпрограммы 5 “Инфраструктура научной, научно-технической и инновационной деятельности” государственной программы Российской Федерации “Научно-технологическое развитие Российской Федерации” по проекту “Реализация мероприятий и выполнение работ по дооснащению Аналитического центра ИМХ РАН, обеспечивающих комплексное развитие инфраструктуры исследовательской деятельности, повышение уровня ее доступности и роста эффективности ее использования”.
Как и в прежние годы значимую роль в научной деятельности ИМХ РАН берут на себя молодые ученые. Среди них можно отметить обладателей стипендии (Ершова И.В., Барышникова С.В.) и гранта молодых кандидатов наук (Пашанова К.И., Ковылин Р.С.) Совета по грантам Президента РФ, номинантов награды Почётная грамота Министерства образования, науки и молодежной политики Нижегородской области за достигнутые результаты в развитии научно-образовательного комплекса Нижегородской области (Золотухин А.А., Копцева Т.С.), а также лауреатов областной стипендии им. академика Г.А. Разуваева (Арсеньева К.В., Вилков И.В., Жиганшина Э.Р., Кушнерова О.А., Лапшин И.В., Лукина Д.А., Христолюбов Д.О., Христолюбова А.В., Шишулин А.В.). Перспективы дальнейшего кадрового развития ИМХ РАН подтверждаются также способностью молодых ученых Института руководить проектами Российского Научного Фонда. В 2021 году с этим успешно справились Додонов В.А., Мартьянов К.А., Толпыгин А.О., Ильичев В.А., Разборов Д.А., Селихов А.Н., Леньшина Н.А., Протасенко Н.А.
По итогам отбора заявок от научно-образовательных центров в Минобрнауки Российской Федерации в ИМХ РАН создана новая молодежная «Лаборатория органического синтеза на основе растительного сырья» под руководством к.х.н. Морозова А.Г.
Не прошли незамеченными заслуги и опытных сотрудников Института. Памятной медалью в честь 800-летия Нижнего Новгорода были награждены: директор Игорь Леонидович Федюшкин, зам. директора Клара Геннадьевна Шальнова, зам. директора Александр Владимирович Пискунов, гл. бух. Надежда Николаевна Адясова, пом. рук. Дмитрий Александрович Данилов, г.н.с. Владимир Кузьмич Черкасов, в.н.с. Михаил Николаевич Бочкарёв, в.н.с. Александра Анатольевна Скатова, с.н.с. Николай Олегович Дружков, с.н.с. Максим Вячеславович Арсеньев.
Научные успехи Института были отмечены также межведомственной комиссией по оценке результативности деятельности научных организаций, выполняющих научно-исследовательские, опытно-конструкторские и технологические работы гражданского назначения. ИМХ РАН, по результатам работы комиссии, был включен в перечень ведущих организаций, отнесённых к первой категории.
Начался прием конкурсных работ на соискание премий Правительства РФ 2022 года в области науки и техники для исследователей и молодых ученых
07.02.2022
Стартовал прием заявок на конкурсы работ, представляемых на соискание премий Правительства Российской Федерации 2022 года в области науки и техники для исследователей и молодых ученых.
Премии ежегодно присуждаются российским и иностранным гражданам, а также лицам без гражданства за научно-исследовательские и опытно-конструкторские работы, завершившиеся созданием и применением в производстве новых технологий, техники, приборов, оборудования, материалов и веществ, в таких областях, как сельское хозяйство, экология, строительство и архитектура, оборона и безопасность страны, полезные ископаемые и экономика, а также за практическую реализацию изобретений, открывающих новые направления в технике и технологиях.
Работы принимаются при наличии материалов и документов, которые подтверждают результаты исследований или их осуществление на практике не менее чем за год до срока приема работ. Все работы оформляются на русском языке.
Перед подачей рекомендуется выбрать предполагаемую секцию для рассмотрения работы: безопасная и эффективная энергетика; поиск, разведка, добыча и переработка полезных ископаемых; новые материалы, производственные технологии и процессы; сельское хозяйство и легкая промышленность; медицина и здравоохранение; машиностроение, транспорт и ракетно-космическая техника; информационные технологии и вычислительные системы; строительные технологии и архитектура; био-, экотехнологии и охрана окружающей среды; специальная секция.
Если работу выполняет авторский коллектив, то количество человек в нем не должно превышать 5 человек для молодых ученых и 10 человек для исследователей. Возраст участников ― молодых ученых, кроме научного руководителя коллектива, не должен превышать 35 лет на момент выдвижения работы. Количество возможных заявок не ограничено.
Для молодых ученых учреждено 7 ежегодных премий по 1 млн руб., для исследователей выделено 20 ежегодных премий по 2 млн руб. В случае присуждения премии авторскому коллективу денежное вознаграждение делится поровну между лауреатами. Каждому члену авторского коллектива также торжественно вручается наградной комплект, состоящий из диплома и почетного знака лауреата.
Заявки принимаются до 20 февраля 2022 года. Подать заявку могут авторы или их доверенные лица на сайте правпремии.рф или лично в рабочие дни в Министерстве науки и высшего образования РФ по адресу: г. Москва, Брюсов переулок, д. 21, каб. 134. В здании действует пропускная система, поэтому прием работ осуществляется по предварительной (за два дня) записи по телефону.
Контакты для справок:
Синявская Анастасия Сергеевна, 8 (495) 547-12-59 (доб. 3815);
Терехина Алина Алексеевна, 8 (495) 547-12-59 (доб. 3823).
Электронная почта: pravpremii@minobrnauki.gov.ru.
ФГБУЗ «Московский дом-пансионат ветеранов науки»
03.02.2022
Информируем вас о том, что в 2022 году в рамках госзадания Минобрнауки все сотрудники ИМХ РАН, не зависимо от стажа и занимаемой должности, могут воспользоваться бесплатными путевками на санаторно-курортное лечение в Московском доме-пансионате ветеранов науки.
Путевки предоставляются на 21 день, включают в себя проживание в комфортабельных двухместных номерах с удобствами, питание и ряд медицинских услуг (физиотерапевтическое лечение, лечебная физкультура, проведение капельниц, инъекций по назначению врачей (лекарственные препараты не включены). Пансионат находится в 10 минутах ходьбы от метро Коньково в зоне Тропаревского лесопарка, рядом с природным источником родниковой воды и храмом блаженной Матроны Московской в Коньково.
Для получения путевки необходимо обратиться к куратору в комиссию по распределению путевок:
Ксения Альбертовна (ФГБНУ ФИЦ «Казанский научный центр РАН»)
+7 843 236 89 73
gerknc@mail.ru
Необходимые документы для получения путевки (для куратора):
- Справка для получения путевки (форма 070у)
- Заявление на получение путевки от сотрудника (образец вышлет куратор)
- Справка с места работы
При заселении в пансионат с собой необходимо иметь:
- Справка для получения путевки (форма 070у)
- Санаторно-курортная карта (форма 072у)
- Справка с места работы (копия)
- Справка об эпидокружении (об отсутствии контактов с инфекционными больными, выдается врачом в поликлинике)
- Отрицательный мазок ПЦР из зева и носа на коронавирус (давностью не более 2 суток)
- Сертификат о вакцинации против коронавирусной инфекции COVID-19
- Паспорт
- Полис ОМС
- СНИЛС
Для получения дополнительной информации непосредственно о пансионате, изменении дат заездов, запросов на одноместное размещение (платно, уточнять заранее о наличии мест), возможности приехать с родственниками обращаться к замдиректору по лечебной работе Московского дома-пансионата ветеранов науки Щукиной Оксане Владимировне (+7 495 337 1004, 3371004@mdpv.ru).
По возможности подавайте заявки на путевки заранее, чтобы кураторы могли правильно сформировать заявку на квартал в Минобрнауки!
СтипендиатРоссии.РФ
26.01.2022
Результат ИМХ РАН признан лучшим результатом Отделения химии и наук о материалах РАН 2021 года
24.01.2022
20 января 2022 года Бюро Отделения химии и наук о материалах РАН (ОХНМ РАН) определило лучшие научные результаты 2021 года, полученные в институтах, находящихся под научно-методическим руководством ОХНМ РАН (42 института РАН). Результаты рассматривались по двум секциям ОХНМ РАН – секции химических наук и секции материалов. Лучшим результатом в секции химических наук признан результат, полученный в Институте металлоорганической химии им. Г.А. Разуваева – активном участнике Нижегородского НОЦ. Коллектив авторов под руководством члена-корреспондента РАН А.А. Трифонова сообщил о синтезе серии мономолекулярных магнитов, имеющих рекордные величины анизотропного барьера и температуры блокирования.

Синтез новых эффективных мономолекулярных магнетиков (Single Molecular Magnets) является одной из ключевых задач в области создания материалов для спинтроники, квантового компьютинга и устройств хранения информации со сверхвысокой плотностью. В рамках решения этой задачи впервые получена серия катионных комплексов диспрозия(III) с фторированными алкоксидными группами, которые являются истинными мономолекулярными магнетиками. Показано, что использование фторированных алкоксидных лигандов позволяет получить комплексы с оптимальной для возникновения магнитной анизотропии ионов Dy3+ геометрией – линейным расположением анионных алкоксидных лигандов. Комплекс [(C6F5CH(Me)O)2Dy(THF)5][BPh4] продемонстрировал высокую температуру блокирования (22 K) и рекордный анизотропный барьер (1469 см−1) для известных на сегодняшний день SMM на основе координационных комплексов диспрозия(III).
Результаты представлены в работе:
J. Long, A. O. Tolpygin, D. M. Lyubov, N. Y. Rad’kova, A. V. Cherkasov, Y. V. Nelyubina, Y. Guari, J. Larionova, A. A. Trifonov
High magnetization reversal barriers in luminescent dysprosium octahedral and pentagonal bipyramidal single-molecule magnets based on fluorinated alkoxide ligands
Dalton Trans., 2021, 50, 8487–8496
DOI: 10.1039/d1dt01319j

Оригинальные изображения и текст новости опубликованы на сайте Нижегородского НОЦ.
Список кандидатов в Учёный Совет ИМХ РАН
Список кандидатов в Учёный совет ИМХ РАН:
- Федюшкин И.Л. (входит в Учёный Совет автоматически)
- Шальнова К.Г. (входит в Учёный Совет автоматически)
- Черкасов В.К. (входит в Учёный Совет автоматически)
- Трифонов А.А. (входит в Учёный Совет автоматически)
- Пискунов А.В.
- Петров Б.И.
- Скатова А.А.
- Кетков С.Ю.
- Бочкарев М.Н.
- Бочкарев Л.Н.
- Корнев А.Н.
- Объедков А.М.
- Поддельский А.И.
- Чесноков С.А.
- Морозов А.Г.
- Клапшина Л.Г.
- Кузнецова О.В.
- Фукин Г.К.
- Любов Д.М.
- Арсеньев М.В.
- Куропатов В.А.
- Бубнов М.П.
- Семенов В.В.
21 января – Международный день аспиранта!
21.01.2022
Дорогие аспиранты!
Поздравляем вас с Международным днем аспиранта!
Для молодого исследователя аспирантура является своеобразной стартовой площадкой для начала его научной деятельности, в этот период формируется научное мышление, происходит знакомство с научным сообществом. При этом будущий успех зависит не только от способностей начинающего ученого, но и от всех предыдущих достижений научной школы, частью которой становится аспирант.
С момента своего основания ИМХ РАН осуществляет подготовку научных и научно-педагогических кадров. На сегодняшний день в аспирантуре института проходит обучение 12 аспирантов, подготовка ведется по направлению 04.06.01. Химические науки. За последние три года успешно защитили кандидатские диссертации 11 выпускников. Начиная еще студентами свою исследовательскую деятельность в лабораториях ИМХ РАН, аспиранты под руководством научных руководителей добиваются значительных научных результатов, публикуются в высокорейтинговых российских и зарубежных журналах, участвуют в престижных конференциях. За научные успехи наши аспиранты неоднократно награждались именными стипендиями и грантами. Так, за исследование реакционной способности редокс-активного дигаллана с аценафтендииминовым лигандом аспирант Владимир Додонов был отмечен стипендией Президента РФ, а аспирант Роман Румянцев за экспериментальное и теоретическое исследование распределения электронной плотности в гексафторизопропоксидных комплексах лантаноидов отмечен стипендией Правительства РФ. Ежегодно аспиранты ИМХ РАН входят в число лауреатов стипендии им. академика Г.А. Разуваева, являются основными соисполнителями грантов российских научных фондов, грантов Президента РФ для молодых ученых.
В международный день аспиранта хотим пожелать всем молодым исследователям замечательных открытий, интересных публикаций и новых горизонтов на выбранном научном пути!
Завершён конкурс на замещение вакантных должностей научных работников
22.12.2021
21 декабря 2021 года в ИМХ РАН был проведен конкурс на замещение вакантных должностей научных работников. По решению конкурсной комиссии на должности ведущего научного сотрудника избраны:
- Лаб. металлокомплексов с редокс-активными лигандами
Михаил Павлович Бубнов - Лаб. фотополимеризации и полимерных материалов
Виктор Борисович Федосеев
На должность старшего научного сотрудника избран:
На должности научного сотрудника избраны:
- Лаб. металлокомплексного катализа
Татьяна Викторовна Махрова - Лаб. химии редкоземельных элементов
Василий Александрович Ильичёв - Лаб. физико-химических исследований
Надия Мустафовна Хамалетдинова - Лаб. строения металлоорганических и координационных соединений
Григорий Юрьевич Жигулин
На должности младшего научного сотрудника избраны:
- Сектор рентгенодифракционных исследований
Антон Владимирович Черкасов - Лаб. поисково-прикладных исследований
Татевик Артюшевна Егиазарян
Выплаты стимулирующего характера за публикационную активность в ИМХ РАН
21.12.2021
В декабре 2021 года комиссия ИМХ РАН по оценке результативности деятельности научных работников закончила свою работу и подвела итоги публикационной активности научного подразделения института. Учитывались статьи научных сотрудников в периодических изданиях, РИД (программы, патенты и ноу-хау), монографии, а также выступления сотрудников на семинаре ИМХ РАН. Расчет показателя результативности научного работника (ПРНР) производился как средний за два последних года (2020-2021). По итогам ранжирования все научные сотрудники были разделены на девять групп согласно количеству набранных баллов. На основании выполненных расчетов назначены выплаты стимулирующего характера за публикационную активность. Итоги подсчета результативности научных работников утверждены на заседании Ученого Совета ИМХ РАН. Размер выплаты определяется номером группы:
- более 200 баллов ПРНР
стимулирующая выплата 150 000 рублей - от 100 до 200 баллов ПРНР
стимулирующая выплата 130 000 рублей - от 70 до 99 баллов ПРНР
стимулирующая выплата 110 000 рублей - от 50 до 69 баллов ПРНР
стимулирующая выплата 90 000 рублей - от 40 до 49 баллов ПРНР
стимулирующая выплата 70 000 рублей - от 21 до 39 баллов ПРНР
стимулирующая выплата 50 000 рублей - от 11 до 20 баллов ПРНР
стимулирующая выплата 30 000 рублей - от 1 до 10 баллов ПРНР
стимулирующая выплата 15 000 рублей - 0 баллов ПРНР
стимулирующая выплата отсутствует
Первый однокомпонентный мономер-инициатор бензилиденкетонового ряда, инициирующий одно- и двухфотонную радикальную фотополимеризацию
15.12.2021
Сотрудниками ИМХ РАН синтезирован первый однокомпонентный мономер-инициатор бензилиденкетонового ряда, способный инициировать как одно-, так и двухфотонную радикальную фотополимеризацию. Наличие четырех сложноэфирных групп позволяет существенно увеличить растворимость данного класса инициаторов в высоковязких композициях олигоэфиракрилатов, а включение полимеризационно-активных метакрилатных групп в инициатор приводит к его низкой вымываемости и обеспечивает биобезопасность конечного полимера. Композиции на основе нового мономера-инициатора позволили создать наноструктуры с минимальным линейным размером 72±5 нм (менее, чем λ/10), что открывает перспективы их использования в нанолитографии. Работа выполнена совместно с коллегами из МФТИ (г. Долгопрудный), ФИАН (г. Москва) и ПИМУ (г. Нижний Новгород). Результаты работы опубликованы в журнале «European Polymer Journal» (Q1).

Завершён конкурс на замещение вакантных должностей научных работников
02.12.2021
Второго декабря 2021 года в ИМХ РАН был проведен конкурс на замещение вакантных должностей научных работников. По решению конкурсной комиссии на должность заместителя директора по научной работе избран:
На должность научного сотрудника избран:
В ИМХ РАН открыты вакансии научных сотрудников
30.11.2021
Федеральное государственное бюджетное учреждение науки Институт металлоорганической химии им. Г.А. Разуваева Российской академии наук объявляет конкурс на замещение следующих вакантных должностей:
- Ведущий научный сотрудник
Лаб. фотополимеризации и полимерных материалов
одна вакансия - Ведущий научный сотрудник
Лаб. металлокомплексов с редокс-активными лигандами
одна вакансия - Старший научный сотрудник
Лаб. металлокомплексов с редокс-активными лигандами
одна вакансия - Научный сотрудник
Лаб. металлокомплексного катализа
одна вакансия - Научный сотрудник
Лаб. химии редкоземельных элементов
одна вакансия - Научный сотрудник
Лаб. строения металлоорганических и координационных соединений
одна вакансия - Научный сотрудник
Лаб. физико-химических исследований
одна вакансия - Младший научный сотрудник
Лаб. поисково-прикладных исследований
одна вакансия - Младший научный сотрудник
Сектор рентгенодифракционных исследований
одна вакансия
Для участия в конкурсе претендентам необходимо разместить свою заявку на портале вакансий. Срок подачи документов до 20 декабря 2021 г. (16:00). Дополнительная информация по телефону +7 (831) 4626571.
Об утверждении перечня научных работников, подлежащих замещению по конкурсу, и порядка проведения указанного конкурса
26.11.2021
В сооответствии с частью третьей статьи 336.1 ТК РФ и по согласованию с Министерством труда и социальной защиты РФ утверждены перечень должностей научных работников, подлежащих замещению по конкурсу и порядок проведения конкурса на замещение должностей научных работников.
Приказ №715 вступает в силу 1 марта 2022 года и действует шесть лет со дня его вступления в силу.
В ИМХ РАН открыты вакансии научных сотрудников
10.11.2021
Федеральное государственное бюджетное учреждение науки Институт металлоорганической химии им. Г.А. Разуваева Российской академии наук объявляет конкурс на замещение следующих вакантных должностей:
- Заместитель директора по научной работе
одна вакансия - Научный сотрудник Лаборатории металлокомплексов с редокс-активными лигандами
одна вакансия
Для участия в конкурсе претендентам необходимо разместить свою заявку на портале вакансий. Срок подачи документов до 01 декабря 2021 г. (16:00). Дополнительная информация по телефону +7 831 4626571.
Завершён конкурс на замещение вакантных должностей научных работников
08.11.2021
08 ноября 2021 года в ИМХ РАН был проведен конкурс на замещение вакантных должностей научных работников. По решению конкурсной комиссии на должность заведующего Лабораторией органического синтеза на основе растительного сырья избран:
- Морозов Александр Геннадьевич
На должности младших научных сотрудников избраны:
- Жеребцов Максим Александрович
Лаборатория органического синтеза на основе растительного сырья - Климашевская Анастасия Владимировна
Лаборатория металлокомплексов с редокс-активными лигандами - Козлова Екатерина Алексеевна
Лаборатория поисково-прикладных исследований - Муравьева Мария Сергеевна
Лаборатория поисково-прикладных исследований - Полякова Светлана Константиновна
Лаборатория химии редкоземельных элементов - Рогожин Антон Федорович
Лаборатория химии редкоземельных элементов
В память 800-летия Нижнего Новгорода
19.10.2021
Поздравляем руководителей и сотрудников Института металлоорганической химии им. Г.А. Разуваева РАН, получивших медаль В пямать 800-летия Нижнего Новгорода:
- директор чл.-корр. РАН Игорь Леонидович Федюшкин
- зам. дир. к.х.н. Клара Геннадьевна Шальнова
- зам. дир д.х.н. Александр Владимирович Пискунов
- гл. бух. Надежда Николаевна Адясова
- пом. рук. Дмитрий Александрович Данилов
- г.н.с. чл.-корр. РАН Владимир Кузьмич Черкасов
- в.н.с. д.х.н. Михаил Николаевич Бочкарёв
- в.н.с. д.х.н. Александра Анатольевна Скатова
- с.н.с. к.х.н. Николай Олегович Дружков
- с.н.с. к.х.н. Максим Вячеславович Арсеньев
В ИМХ РАН открыты вакансии научных сотрудников
14.10.2021
Федеральное государственное бюджетное учреждение науки Институт металлоорганической химии им. Г.А. Разуваева Российской академии наук объявляет конкурс на замещение следующих вакантных должностей:
- Заведующий Лаборатории органического синтеза на основе растительного сырья
одна вакансия - Младший научный сотрудник Лаборатории органического синтеза на основе растительного сырья (0,75 ст.)
одна вакансия - Младший научный сотрудник Лаборатории химии редкоземельных элементов (0,75 ст.)
две вакансии - Младший научный сотрудник Лаборатории металлокомплексов с редокс-активными лигандами (0,75 ст.)
одна вакансия - Младший научный сотрудник Лаборатории поисково-прикладных исследований (0,75 ст.)
одна вакансия - Младший научный сотрудник Лаборатории поисково-прикладных исследований (0,50 ст.)
одна вакансия
Для участия в конкурсе претендентам необходимо разместить свою заявку на портале вакансий. Срок подачи документов до 5 ноября 2021 г. (16:00). Дополнительная информация по телефону +7 (831) 4626571.
Завершён конкурс на замещение вакантных должностей научных работников
30.09.2021
30 сентября 2021 года в ИМХ РАН был проведен конкурс на замещение вакантных должностей научных работников. По решению конкурсной комиссии на должность младшего научного сотрудника избраны:
- Иван Вадимович Лапшин
Лаборатория металлокомплексного катализа - Ксения Витальевна Арсеньева
Лаборатория металлокомплексов с редокс-активными лигандами
В ИМХ РАН открыты вакансии научных сотрудников
07.09.2021
Федеральное государственное бюджетное учреждение науки Институт металлоорганической химии им. Г.А. Разуваева Российской академии наук объявляет конкурс на замещение следующих вакантных должностей:
- Младший научный сотрудник Лаборатории металлокомплексного катализа
одна вакансия - Младший научный сотрудник Лаборатории металлокомплексов с редокс-активными лигандами
одна вакансия
Для участия в конкурсе претендентам необходимо разместить свою заявку на портале вакансий. Срок подачи документов до 28 сентября 2021 г. (16:00). Дополнительная информация по телефону +7 (831) 4626571.
Завершён конкурс на замещение вакантных должностей научных работников
30.08.2021
30 августа 2021 года в ИМХ РАН был проведен конкурс на замещение вакантных должностей научных работников. По решению конкурсной комиссии
на должность научного сотрудника избран:
- Румянцев Роман Валерьевич
Лаборатория физико-химических исследований
На должность младшего научного сотрудника избран:
- Беликов Алексей Александрович
Лаборатория физико-химических исследований
Открыт конкурс на замещение вакантных должностей
20.07.2021
Федеральное государственное бюджетное учреждение науки Институт металлоорганической химии им. Г.А. Разуваева Российской академии наук объявляет конкурс на замещение следующих вакантных должностей:
- научный сотрудник лаборатории ФХИ
одна вакансия - младший научный сотрудник лаборатории ФХИ
одна вакансия
Для участия в конкурсе претендентам необходимо разместить свою заявку на портале вакансий. Срок подачи документов до 16 августа 2021 г. 16:00. Дополнительная информация по телефону +7 (831) 4626571.
Поздравляем с 75-летием чл.-корр. РАН Владимира Кузьмича Черкасова!
15.06.2021
14 июня 2021 года исполнилось 75 лет со дня рождения и 50 лет научной деятельности главному научному сотруднику ИМХ РАН, доктору химических наук, профессору, члену-корреспонденту Российской академии наук, лауреату Государственной премии СССР Владимиру Кузьмичу Черкасову.
Владимир Кузьмич внес огромный вклад в развитие металлоорганической химии. Он – один из авторов концепции «спиновых меток», давшей мощный толчок к развитию свободно-радикальных комплексов переходных и непереходных металлов.
Одним из первых в стране он ввел в практику исследования метод «спиновых ловушек», получивший впоследствии широкое распространение.
В.К. Черкасов – соавтор открытия нового явления, свойственного соединениям переходных металлов с радикальными лигандами – редокс изомерии.
Важное прикладное значение имеют работы, выполненные под его руководством, в области фотохимии орто-хинонов. Разработаны новые, защищенные авторскими свидетельствами и патентами, фоточувствительные среды для записи информации и фотополимеры.
В.К. Черкасов автор более 437 печатных работ, под его руководством подготовлены курсовые, бакалаврские, дипломные, магистерские работы, 16 кандидатских и 1 докторская диссертация.
Коллектив ИМХ РАН сердечно поздравляет Владимира Кузьмича с юбилеем и желает дальнейших успехов в развитии любимой науки, здоровья, благополучия, тепла и радости в семейном кругу.
Обратимое присоединение CO2 к комплексу непереходного металла
Одной из важнейших задач современной химии является разработка методов восстановительного превращения диоксида углерода в ценные органические соединения. Основная проблема заключается в том, что этот процесс требует разрыва одной или двух очень прочных связей O=C(O) (532 кДж/моль). Сотрудниками ИМХ РАН реализован кардинально новый подход к направленной активации диоксида углерода путем циклоприсоединения к комплексу непереходного металла – алюминия. Принципиально важно, что данная реакция протекает обратимо и в очень мягких условиях.
Сотрудниками ИМХ РАН проведена экспертиза конкурсных заявок на право получения грантов Нижегородской обл.
03.06.2021
Министерство образования, науки и молодежной политики Нижегородской области выражает признательность и искреннюю благодарность Максиму Вячеславовичу Арсеньеву, Александру Николаевичу Корневу и Сергею Артуровичу Чеснокову за большую работу по проведению экспертизы и оценки конкурсных заявок на право получения грантов Нижегородской области в сфере науки, технологий и техники в 2021 году.
ИМХ РАН вошёл в состав Консорциума химических институтов РАН
24.05.2021
19 декабря 2021 года Институт металлоорганической химии им. Г.А. Разуваева Российской академии наук был принят в состав Консорциума химических институтов Российской академии наук.
4 декабря 2020 года в Президиуме РАН с участием президента РАН Александра Сергеева состоялось подписание соглашения между Российской академией наук и 12 институтами химического и материаловедческого профиля.
Первыми участниками Консорциума стали институты РАН Москвы и Черноголовки: Институт общей химии, Институт элементоорганических соединений, Институт общей и неорганической химии, Институт физической химии и электрохимии, Институт проблем химической физики, Институт нефтехимического синтеза, Институт биохимической физики, Институт синтетических полимерных материалов, Федеральный исследовательский центр химической физики, Институт физиологически активных веществ и Институт структурной макрокинетики и проблем материаловедения.
Консорциум создан в целях координации совместной деятельности, формирования, представления и защиты общих интересов, интеграции научной и научно-технической деятельности участников в соответствии с задачами и приоритетами научно-технической политики России и Стратегии научно-технологического развития Российской Федерации.
Утверждён перечень ведущих организаций, отнесённых к первой категории
21.05.2021
22 апреля 2021 года на заседании межведомственной комиссии по оценке результативности деятельности научных организаций, выполняющих научно-исследовательские, опытно-конструктурские и технологические работы гражданского назначения, был утверждён перечень ведущих организаций, отнесённых к первой категории, в который включён в том числе и Институт металлоорганической химии им. Г.А. Разуваева.
Чл.-корр. РАН Игорь Леонидович Федюшкин официально вступил в должность директора ИМХ РАН
17.05.2021
13 мая 2021 года чл.-корр. РАН Игорь Леонидович Федюшкин официально вступил в должность директора Института металлоорганической химии им. Г.А. Разуваева Российской академии наук на новый пятилетний срок.
Игорь Леонидович занимал должность руководителя ИМХ РАН с 2016 года. 24 февраля 2021 срок его полномочий завершился. В соответствии с Уставом ИМХ РАН, новые выборы директора состоялись путем тайного голосования. 19 января 2021 года сотрудники Института выбрали нового руководителя из двух кандидатур, утвержденных Министерством науки и высшего образования Российской Федерации, д.х.н., проф. РАН Александра Владимировича Пискунова и чл.-корр. РАН Игоря Леонидовича Федюшкина. 36 голосов были отданы за Александра Владимировича и 76 – за Игоря Леонидовича.
По регламенту Минобрнауки России до утверждения кандидатуры на должность директора Института, избранной тайным голосованием, Игорь Леонидович был назначен врио директора. 13 мая 2021 он вновь стал директором ИМХ РАН.
Ушёл из жизни Б.Б. Троицкий
03.03.2021
Дирекция института с глубоким прискорбием сообщает, что 24 февраля 2021 года ушел из жизни один из первых сотрудников лаборатории стабилизации полимеров АН СССР, преобразованной далее в ИХ АН СССР, а затем в Институт металлоорганической химии АН СССР, в настоящее время – Институт металлоорганической химии им. Г.А. Разуваева Российской академии наук, Борис Борисович Троицкий.
Вся научная деятельность Бориса Борисовича была связана с исследованиями в области полимеров. Он широко известен в научных кругах, как один из ведущих специалистов в области теории и старения поливинилхлорида. В последние годы он активно работал над практическими аспектами использования полимеров. Разработанная им уникальная композиция в рамках проекта Федеральной целевой программы открывает большие возможности для создания покрытий на силикатные стекла с большой пропускной способностью солнечного света.
Борис Борисович – автор и соавтор более 300 научных работ, 30 авторских свидетельств и российских патентов, а также 9 иностранных патентов. Под его руководством защищено 7 кандидатских диссертаций и десятки курсовых, дипломных и магистерских работ.
Борис Борисович был высокоэрудированным и разносторонним специалистом, добрым и отзывчивым человеком.
Память о нем навсегда останется в наших сердцах.
В ИМХ РАН открыты вакансии научных сотрудников
02.03.2021
Федеральное государственное бюджетное учреждение науки Институт металлоорганической химии им. Г.А. Разуваева Российской академии наук объявляет конкурс на замещение следующих вакантных должностей:
- Старший научный сотрудник Лаборатории металлокомплексного катализа
одна вакансия - Старший научный сотрудник Лаборатории фотополимеризации и полимерных материалов
три вакансии
Для участия в конкурсе претендентам необходимо разместить свою заявку на портале вакансий. Срок подачи документов до 16:00 22 марта 2021 г. Дополнительная информация по телефону +7 (831) 4626571.
Поздравляем научных сотрудников ИМХ РАН с победами в конкурсах
18.02.2021
Поздравляем с победами в конкурсах:
- Министерства науки и высшего образования Российский Федерации на получение стипендии Президента Российской Федерации:
- научного сотрудника лаборатории МРАЛ к.х.н. Ирину Васильевну Ершову
- научного сотрудника лаборатории ППИ к.х.н. Светлану Викторовну Барышникову
- Российского научного фонда по мероприятию «Проведение исследований на базе существующей научной инфраструктуры мирового уровня» научных сотрудников лаборатории ЛПР к.х.н. В.А. Додонова и к.х.н. Д.А. Разборова
Весенняя сессия вебинаров Elsevier
15.02.2021
Elsevier анонсирует весеннюю сессию вебинаров в выдачей сертификатов за полное прохождение базового и селективного модуля (18 часов). Для получения сертификата необходимо пройти не менее семи из девяти вебинаров и прослушать не менее 30 минут каждого вебинара. Если вы пропустили какие-либо сессии, вы сможете посмотреть их в записи до 19 марта. Подведение итогов и рассылка сертификатов состоится 22 марта.
Полное расписание с темами и датами вебинаров доступно для ознакомления на сайте ИМХ РАН.
Сотрудники ИМХ РАН награждены Почётной грамотой Минобрнауки Нижегородской области
10.02.2021
Поздравляем научного сотрудника лаборатории металлокомплексов с редокс-активными лигандами Алексея Александровича Золотухина и научного сотрудника лаборатории лиганд-промотируемых реакций Татьяну Сергеевну Копцеву с награждением Почётной грамотой Министерства образования, науки и молодежной политики Нижегородской области за достигнутые результаты в развитии научно-образовательного комплекса Нижегородской области.
Результаты выборов руководителя ИМХ РАН
05.02.2021
24 февраля 2021 года заканчивается срок полномочий директора Института члена-корреспондента Российской академии наук Игоря Леонидовича Федюшкина.
В соответствии с Уставом Института, Положением о порядке проведения выборов директора 19 января 2021 года состоялись выборы директора тайным голосованием из числа 2-х кандидатур, утвержденных Министерством науки и высшего образования Российской Федерации, А.В. Пискунова и И.Л. Федюшкина.
Результаты тайного голосования:
- Число голосов избирателей, поданных за кандидатов на должность директора: Пискунов А.В. – 36; Федюшкин И.Л. – 76.
- Число действительных бюллетеней – 112.
- Число недействительных бюллетеней – 1.
ПОСТАНОВИЛИ:
- Утвердить итоговый протокол избирательной комиссии от 19.01.2021.
- В соответствии с п. 29 Устава ИМХ РАН, Положением о порядке проведения выборов директора, утвержденным Ученым Советом ИМХ РАН 30.12.2020 г., протокол № 16, считать выборы состоявшимися.
- По результатам тайного голосования считать избранным на должность директора Федерального государственного бюджетного учреждения науки Института металлоорганической химии им. Г.А. Разуваева Российской академии наук – Федюшкина Игоря Леонидовича, получившего большинство голосов от числа принявших участие в голосовании работников Института.
По регламенту Минобрнауки России до утверждения кандидатуры на должность директора Института, избранной тайным голосованием работниками Института, на переходный период назначается врио директора.
В соответствии с решением Ученого Совета ИМХ РАН на эту должность рекомендован И.Л. Федюшкин. После прохождения всех процедур согласования и утверждения в Минобрнауки России, врио директора И.Л. Федюшкин будет назначен директором ИМХ РАН на новый срок – 5 лет.
Положение об антимонопольном комплаенсе
01.02.2021
На сайте ИМХ РАН опубликовано Положение об антимонопольном комплаенсе.
Выборы директора ИМХ РАН
13.01.2021
В соответствии с Распоряжением Минобрнауки России от 22 декабря 2020 года № 453-р «Об утверждении кандидатур на должность руководителей научных организаций, подведомственных Министерству науки и высшего образования Российской Федерации», кандидатуры А.В. Пискунова и И.Л. Федюшкина утверждены для участия в выборах руководителя ФГБУН Института металлоорганической химии им. Г.А. Разуваева РАН.
Александр Владимирович Пискунов
Игорь Леонидович Федюшкин
В соответствии с Уставом ИМХ РАН и Положением о выборах директора ИМХ РАН, утвержденного Учёным Советом Института 30 декабря 2020 года (протокол № 16), выборы руководителя ИМХ РАН будут проводиться 19 января 2021 года с 9:30 до 15:00. Место проведения – читальный зал библиотеки. Учитывая сложную эпидемиологическую ситуацию, участие работников Института в голосовании будет осуществляться в строгом соответствии с графиком посещения библиотеки, который будет опубликован на сайте Института 18 января 2021 года.
Обсуждение программ кандидатов организовано с помощью электронной почты. Все ваши вопросы и замечания вы можете направить на официальный электронный адрес ИМХ РАН (office@iomc.ras.ru). Они будут опубликованы на сайте Института вместе с ответами и комментариями кандидатов на пост руководителя ИМХ РАН.
Стипендия им. академика Г.А. Разуваева на 2020-2021 учебный год
11.01.2021
Министерство образования, науки и молодёжной политики Нижегородской области сообщает, что приказом от 12 ноября 2020 года № 316-01-23-97/20 “О назначении стипендии имени академика Г.А. Разуваева для аспирантов образовательных организаций высшего образования и научных учреждений на 2020-2021 учебный год” стипендия имени академика Г.А. Разуваева со сроком выплаты с 1 сентября 2020 года по 30 июня 2021 года назначена следующим аспирантам:
- Ксения Витальевна Арсеньева
- Илья Владимирович Вилков
- Эльнара Ринатовна Жиганшина
- Ольга Александровна Кушнерова
- Иван Вадимович Лапшин
- Дарья Алексеевна Лукина
- Дмитрий Олегович Христолюбов
- Александра Валерьевна Христолюбова (Шеянова)
- Александр Владимирович Шишулин
Koмплeкcы диaмaгнитныx кaтиoнoв c aниoн-paдикaльными лигaндaми
11.11.2020
Сотрудниками ИМХ РАН опубликована обзорная статья в журнале «Успехи химии». B oбзope пpeдcтaвлeны и пpoaнaлизиpoвaны извecтныe к нacтoящeмy мoмeнтy дaнныe o cинтeзe, мoлeкyляpнoм и элeктpoннoм cтpoeнии, a тaкжe мaгнитныx cвoйcтвax би-, тpи- и тeтpapaдикaльныx кoмплeкcoв, coдepжaщиx диaмaгнитный иoн мeтaллa и peдoкc-aктивныe лигaнды в пapaмaгнитнoй фopмe. Библиография — 193 ссылки.

В ИМХ РАН открыты вакансии научных сотрудников
31.10.2020
Федеральное государственное бюджетное учреждение науки Институт металлоорганической химии им. Г.А. Разуваева Российской академии наук объявляет конкурс на замещение следующих вакантных должностей:
- научный сотрудник лаборатории поисково-прикладных исследований
две вакансии (срок подачи документов до 16:00 20 ноября 2020 года) - младший научный сотрудник лаборатории строения металлоорганических и координационных соединений
одна вакансия (срок подачи документов до 10:30 29 декабря 2020 года)
Для участия в конкурсе претендентам необходимо разместить свою заявку на портале вакансий. Дополнительная информация по телефону +7 (831) 4626571.
Выдвижение кандидатур на должность директора ИМХ РАН
23.10.2020
23 октября 2020 года состоялось заседание Ученого Совета института по вопросу выдвижения кандидатур на должность директора ИМХ РАН.
Выдвинуты: чл.-корр. РАН, д.х.н. И.Л. Федюшкин и проф. РАН, д.х.н. А.В. Пискунов.
Доступ к журналам семейства Cell Press
13.10.2020
В рамках тестового доступа к научным ресурсам, реализуемого Российским фондом фундаментальных исследований, с 15 сентября по 15 декабря 2020 г. ИМХ РАН предоставлен доступ к комплексу решений для специалистов медико-биологической и химическо-фармацевтической областей: премиальному портфолио журналов Cell Press.
Комплекс ресурсов Elsevier поддержит ученых в проведении качественных исследований в области медицины, наук о жизни, химии и разработки новых лекарств, а также публикации результатов в высокоцитируемых международных журналах.
Журналы семейства Cell Press – это профильные высокоцитируемые издания в области биологии и химии, публикующие научную информацию для ученых на переднем крае науки. Контент данных журналов представляет собой наиболее востребованный и цитируемый контент на платформе ScienceDirect. В портфолио входят 20 журналов, в том числе, такие журналы как Cell, Neuron, Cancer Cell, Matter, Joule, Chem и другие.
Завершён конкурс на замещение вакантных должностей научных работников
05.10.2020
5 октября 2020 года в ИМХ РАН был проведен конкурс на замещение вакантных должностей научных работников. По решению конкурсной комиссии
на должность научного сотрудника избраны:
- Ольга Валерьевна Новикова
Лаборатория физико-химических исследований - Галина Сергеевна Забродина
Лаборатории строения металлоорганических и координационных соединений - Владимир Геннадьевич Соколов
Лаборатории лиганд-промотируемых реакций
Нижегородский фестиваль «Фенист» пройдёт онлайн
29.09.2020
С 28 сентября по 5 октября состоится нижегородский фестиваль наук, искусств и технологий «Фенист». В этом году он пройдет в формате трансляции на youtube-канале фестиваля. В программе запланированы лекции от ведущих учёных и популяризаторов науки, научные дискуссии с экспертами, показы научно-популярных фильмов и удаленные наблюдения Луны и планет. Фестиваль организует Институт прикладной физики РАН при поддержке партнеров – ведущих университетов, лицеев и школ Нижнего Новгорода, научно-просветительского центра «Знание-НН», Нижегородского планетария им. Г.М. Гречко, ассоциации учителей физики и астрономии Нижегородской области.
Одно из направлений программы фестиваля – это лекции для школьников от ведущих популяризаторов науки. Владимир Сурдин, старший научный сотрудник Государственного астрономического института им. П.К. Штернберга, доцент МГУ расскажет про исследование Марса. Игорь Иванов, старший научный сотрудник Объединенного института ядерных исследований и специалист в области физики элементарных частиц, объяснит, как фотографам XIX века удалось сфотографировать микросекунду. Денис Андреюк, кандидат биологических наук, доцент МГУ, поговорит со слушателями про коллективный интеллект, коммуникации в обществе и этапы развития человеческой цивилизации. Фуад Алескеров, доктор технических наук, профессор НИУ ВШЭ, расскажет, как математика используется в медицине и бизнесе, а Татьяна Гартман, учитель русского языка и автор блога «Училка VS ТВ» – в каких словах мы часто делаем ошибки. Также в программе «Фениста» есть лекции, посвященные истории кириллицы и репродуктивной медицине.
Вечером, с 28 сентября по 2 октября, на youtube-канале «Фениста» будут проходить научные дискуссии со специалистами в таких областях, как астрономия и химия, медицина и питание, лингвистика и психология, компьютерные технологии и искусственный интеллект. В них примут участие известные ученые и популяризаторы науки: Борис Шустов, член-корреспондент РАН, директор Института астрономии РАН; Дмитрий Вибе, профессор РАН, заведующий отделом Института астрономии РАН; Алексей Водовозов, врач-токсиколог и научный журналист; Сергей Белков, химик-технолог, флейворист, популяризатор науки; Александр Лутовинов, профессор РАН, заместитель директора Института космических исследований РАН; Максим Кронгауз, доктор филологических наук, профессор РГГУ и НИУ ВШЭ; Александр Пиперски, кандидат филологических наук, лауреат премии «Просветитель 2017», сотрудник НИУ ВШЭ; Виктор Ерухимов, специалист по компьютерному зрению и основатель компании Itseez; Иван Ямщиков, Ph.D, научный сотрудник Института Макса Планка (Лейпциг, Германия); Сергей Шумский, директор Научно-координационного совета Центра науки и технологий искусственного интеллекта (МФТИ). Эксперты обсудят актуальные проблемы, проекты и тенденции в своих научных сферах, а также ответят на вопросы слушателей, которые можно оставлять в комментариях под трансляцией. Кроме того, «Фенист» присоединяется к Дням научного кино Фестиваля актуального научного кино «ФАНК». В программе запланированы показы трех научно-популярных фильмов, которые после просмотра можно будет обсудить с экспертом.
Программа всех мероприятий опубликована в группе фестиваля Вконтакте. Для участия в отдельных дискуссиях будет организована регистрация.

Тестовый доступ к ресурсам Wiley для российских организаций в 2020 году
28.09.2020
На сайте Wiley доступна запись вебинара, состоявшегося 22 сентября и посвящённого вопросам организации тестового доступа к ресурсам Wiley для российских организаций в рамках инициативы РФФИ.
В ИМХ РАН открыты вакансии научных сотрудников
11.09.2020
Федеральное государственное бюджетное учреждение науки Институт металлоорганической химии им. Г.А. Разуваева Российской академии наук объявляет конкурс на замещение следующих вакантных должностей:
- научный сотрудник Лаборатории физико-химических исследований
одна вакансия - научный сотрудник Лаборатории строения металлоорганических и координационных соединений
одна вакансия - научный сотрудник Лаборатории лиганд-промотируемых реакций
одна вакансия
Для участия в конкурсе претендентам необходимо разместить свою заявку на портале вакансий. Срок подачи документов до 2 октября 2020 г. (16:00). Дополнительная информация по телефону +7 (831) 462-65-71.
Медали РАН с премиями для молодых учёных и студентов вузов России за лучшие научные работы
10 сентября 2020 г. состоялось заседание Ученого Совета ИМХ РАН. Единогласным решением членов Ученого Совета на соискание медалей Российской академии наук с премиями для молодых ученых России и для студентов высших учебных заведений России за лучшие научные работы были выдвинуты три кандидатуры:
- Арсеньев Максим Вячеславович
Научный сотрудник, кандидат химических наук М.В. Арсеньев – высококвалифицированный специалист в области органического синтеза, координационной и полимерной химии. С 2011 г. по настоящее время им опубликовано 34 статьи в рецензируемых Scopus/WoS журналах. Результаты работы М.В. Арсеньева докладывались на всероссийских и международных конференциях по органической химии, химии координационных соединений и химии высокомолекулярных соединений и были отмечены дипломами за устные и стендовые доклады. М.В. Арсеньев ведет большую преподавательскую работу. В настоящее время он по совместительству доцент кафедры физической химии ННГУ им. Н.И. Лобачевского. Под его руководством подготовлены курсовые, дипломные, магистерские исследования; он активно участвует в работе со школьниками. Успехи М.В. Арсеньева были отмечены стипендией имени академика Г.А. Разуваева и благодарственным письмом Правительства Нижегородской области. - Додонов Владимир Алексеевич
Научный сотрудник, кандидат химических наук В.А. Додонов – высококвалифицированный специалист, отличный экспериментатор, обладающий широкими фундаментальными знаниями, а также способностью как планировать экспериментальную работу, интерпретировать и представлять научные результаты, так и руководить работой студентов и аспирантов. В.А. Додонов – автор 12 статей, рецензируемых в Web of Science, 8 из которых опубликованы в ведущих иностранных журналах 1 квартиля (Q1), а 3 статьи помещены на обложку зарубежных журналов первого квартиля. Кроме того, им опубликованы 30 тезисов докладов, сделанных на российских и международных конференциях. В.А. Додонов ведет активную педагогическую работу, руководит проектами РНФ, РФФИ, грантом Президента Российской Федерации. В.А. Додонов активно поддерживает и развивает международное сотрудничество ИМХ РАН. Помимо связей с лабораторией проф. P. Roesky технологического института в г. Карлсруэ (Германия), где он проходил 10 месячную стажировку, Д.А. Додонов активно сотрудничает с группой проф. Xiao-Juan Yang Северо-Западного политехнического университета г. Сиань (КНР). В.А. Додонов награжден почетной грамотой Министерства образования, науки и молодежной политики Нижегородской области, дипломами за первые и призовые места за выступления на российских конференциях. - Селихов Александр Николаевич
Научный сотрудник, кандидат химических наук А.Н. Селихов – высококвалифицированный специалист в области сложного органического и металлоорганического синтеза. С 2011 г. по настоящее время им опубликовано 14 статей в рецензируемых Scopus/WoS высокорейтинговых журналах первого квартиля, из них 8 статей – за последние два года.
Результаты работы А.Н. Селихова докладывались на всероссийских и международных конференциях по металлоорганической химии, при этом опубликовано 18 тезисов в материалах этих конференций. А.Н. Селихов неоднократно участвовал в выполнении проектов РФФИ и РНФ в качестве руководителя и ответственного исполнителя; в настоящее время он руководитель проекта по гранту Президента Российской Федерации. А.Н. Селихов активно участвует в работе со студентами и магистрантами ННГУ им. Н.И. Лобачевского. Успехи А.Н. Селихова были отмечены стипендией имени академика Г.А. Разуваева и дипломом конкурса научных работ имени академика Ю.А. Буслаева.
Открыт тестовый доступ к дополнительным информационным ресурсам
10.09.2020
В рамках развития проекта «Национальная подписка» и при содействии Российского фонда фундаментальных исследований издательство Wiley радо предоставить участникам проекта тестовый доступ на 2020 год к дополнительным информационным ресурсам для научных исследований.
Срок тестового доступа составит 2 месяца – с 15 сентября по 14 ноября 2020 г. Дополнительные ресурсы, предоставляемые на в рамках тестового доступа:
- Расширенная коллекция научных журналов Wiley с охватом архивов с 1997 по 2020 гг.
Это существенное расширение доступа по сравнению с текущей подпиской в 2020 г., в которой архив ограничен пятью последними годами (2016-2020 гг.). Все 1500+ журналов будут доступны на платформе Wiley Online Library. - Подборка справочников и энциклопедий Wiley по медицине и химии
Список всех доступных 45 наименований доступен по этой ссылке, а сами материалы также представлены на платформе Wiley Online Library. Справочники Wiley являются уникальными изданиями с многолетней историей и репутацией надежных источников систематизированной информации для исследователей, преподавателей и студентов. - Кокрейновская библиотека – авторитетный ресурс по доказательной медицине
Предназначен для специалистов в области медицины и здравоохранения, но также будет полезен и широкому кругу читателей, интересующихся подходами к лечению заболеваний, основанных на последних клинических данных. Кокрейновская библиотека включает базу данных систематических обзоров, регистр кклинических исследований и базу данных кокрейновских ответов для практикующих врачей.
Заседание Учёного совета, посвящённое памяти академика РАН Г.А. Абакумова
31.08.2020
29 августа 2019 года ушёл из жизни научный руководитель ИМХ РАН, академик Российской Академии наук, крупный учёный с мировым именем, более двадцати шести лет руководивший Институтом металлоорганической химии им. Г.А. Разуваева Российской академии наук, Глеб Арсентьевич Абакумов.
31 августа 2020 года состоялось заседание Учёного совета, посвящённое памяти этого выдающегося учёного.
Выступившие с воспоминаниями о Г.А. Абакумове И.Л. Федюшкин, К.Г. Шальнова, В.К. Черкасов и С.А. Чесноков говорили о большой значимости его научных исследований для развития мировой и отечественной науки, широчайшей эрудиции в различных областях науки, искусства, образования, о его неоценимом вкладе в создание и развитие ИМХ РАН. То, что Институт выжил в сложнейшие девяностые годы – прямая заслуга Глеба Арсентьевича.
Благодаря заложенному Г.А. Абакумовым фундаменту научной, научно-организационной и образовательной деятельности ИМХ РАН в настоящее время входит в группу ведущих научных учреждений страны. Одни только кадровые показатели говорят о значительном прогрессе в развитии института. За тридцать один год (1988-2019 гг.), из которых двадцать семь лет (1988-2015 гг.) Г.А. Абакумов был директором Института, четыре сотрудника стали членами-корреспондентами Российской Академии наук: Г.А. Домрачев, В.К. Черкасов, И.Л. Федюшкин и А.А. Трифонов; Г.А. Абакумов был избран академиком РАН; докторские диссертации защитили 16 человек, кандидатские – 72 сотрудника; четыре сотрудника А.В. Пискунов, А.А. Скатова, А.И. Поддельский и Г.К. Фукин избраны профессорами Российской академии наук; трое учёных И.Л. Федюшкин, А.А. Трифонов и С.Ю. Кетков получали престижную международную стипендию фонда фон Гумбольдта (Германия).
Г.А. Абакумов был душой всех международных и всероссийских конференций, организатором которых был ИМХ РАН, а он – председателем Оргкомитетов этих конференций.
Глеб Арсентьевич вкладывал всю свою интеллектуальную мощь в научный рост своих многочисленных учеников, был для них настоящим наставником и мудрым учителем.
Светлая память о Г.А. Абакумове навсегда будет в наших сердцах.
Международный антифашистский форум – 2020
27.08.2020
7-10 сентября 2020 г. в Москве пройдет Международный антифашистский форум, посвященный Международному дню памяти жертв фашизма и 75-летию Великой Победы. Организаторами мероприятия выступают Международный союз бывших малолетних узников фашизма, Общественное движение «Сильная Россия», Общественная организация «Офицеры России». В ходе Форума прозвучат доклады о современных проявлениях фашизма в различных странах, а также формах и методах эффективного противодействия им со стороны общества. Будут затронуты вопросы фальсификации истории Второй мировой войны, оказания моральной, правовой и материальной помощи бывшим узникам фашизма, патриотического воспитания подрастающего поколения, молодежи и другие.
В ИМХ РАН открыты вакансии для выпускников вузов
25.08.2020
Федеральное государственное бюджетное учреждение науки Институт металлоорганической химии им. Г.А. Разуваева Российской Академии наук объявляет конкурс на замещение следующих вакантных должностей:
- стажёр-исследователь
три вакансии
Для участия в конкурсе претендентам необходимо разместить свою заявку на портале вакансий. Срок подачи документов до 16:00 30 сентября 2020 г. Дополнительная информация по телефону +7 (831) 4626571.
125 лет со дня рождения Г.А. Разуваева
24.08.2020
23 августа 2020 года исполнилось 125 лет со дня рождения основателя Института, Героя Социалистического Труда, Лауреата Ленинской премии СССР, Лауреата государственных премий СССР, действительного члена (академика) Академии наук СССР, почётного академика Нью-Йоркской Академии наук Григория Алексеевича Разуваева. 24 августа сотрудники Института возложили цветы на могилу Г.А. Разуваева, а 25 августа состоялось Заседание Учёного Совета ИМХ РАН, посвященное этой юбилейной дате. Со вступительным словом выступил директор ИМХ РАН, председатель Учёного Совета чл.-корр. РАН Игорь Леонидович Федюшкин, а с воспоминаниями о Г.А. Разуваеве – К.Г. Шальнова, М.Н. Бочкарёв, Б.И. Петров.
В ИМХ РАН открыты вакансии научных сотрудников
27.07.2020
Федеральное государственное бюджетное учреждение науки Институт металлоорганической химии им. Г.А. Разуваева Российской академии наук объявляет конкурс на замещение следующих вакантных должностей:
- Лаборатория лиганд-промотируемых реакций
младший научный сотрудник
три вакансии - Лаборатории металлокомплексного катализа
младший научный сотрудник
три вакансии - Лаборатория металлокомплексов с редокс-активными лигандами
младший научный сотрудник
две вакансии - Лаборатория химии редкоземельных элементов
младший научный сотрудник
одна вакансия - Лаборатория строения металлоорганических и координационных соединений
младший научный сотрудник
одна вакансия
Срок подачи документов в Учёный секретариат — два месяца со дня опубликования на сайте ИМХ РАН. Телефон для справок: +7 (831) 462 65 71.
Обнаружена яркая рентгено- и катодолюминесценция комплексов тербия
Сотрудниками ИМХ РАН совместно с исследователями из НИИИС им. Ю.Е. Седакова установлено, что органические комплексы редкоземельных металлов проявляют люминесценцию при облучении катодными и рентгеновскими лучами (сцинтилляция). Самую высокую интенсивность свечения показали комплексы европия и тербия. Интенсивность катодолюминесценции пиразолонатного комплекса тербия с нейтральными трифенилфосфиноксидными лигандами Tb(pmip)3(TPPO)2 в 40 раз выше, чем антрацена, используемого обычно в качестве стандарта при оценке сцинтилляторов. Интенсивность рентгенолюминесценции того же комплекса на два порядка превышает интенсивность свечения CaI2:Eu2+, являющегося сегодня лучшим сцинтилляционным материалом. На рисунке приведена фотография люминесцирующих образцов комплексов редкоземельных металлов Tb(pmip)3(TPPO)2 (1), Tb(NON)3 (2), Sc(OON)3 (3), Tb(acac)3(H2O)3 (4), Eu(TTA)3 (5) и антрацена (6) под воздействием катодного излучения.
Полученные данные показывают, что комплексы тербия могут быть использованы в высокочувствительных приборах регистрации ионизирующего излучения и рентгеновских медицинских аппаратах с высоким разрешением. Поскольку катодные лучи, представляющие собой поток электронов, имитируют бета-излучение от радиоактивных нуклидов, применяющихся при конструировании автономных источников электроэнергии длительного пользования (бета-батареи), можно прогнозировать эффективность использования в таких батареях тербиевых комплексов.
Информационные ресурсы Springer Nature
10.07.2020
В рамках национальной подписки сотрудникам ИМХ РАН доступны электронные книги Springer, опубликованные в 2019 г. Также доступны следующие базы данных:
- Платформа Springer Link – более 3000 журналов Springer 1997-2020 годов.
- Платформа Nature – девяносто авторитетных естественнонаучных журналов, включая старейший и один из самых авторитетных научных журналов.
- База данных Springer Materials – самая полная база данных, описывающая свойства и характеристики материалов. Она аккумулирует информацию из таких дисциплин, как материаловедение, физика, физическая и неорганическая химия, машиностроение и другие.
- База данных Springer Protocols – это бесценный ресурс для современных исследовательских лабораторий. Крупнейшая база данных воспроизводимых лабораторных протоколов (более 40 000) предоставляет доступ к надежный и проверенным данным, накопленным за последние 30 лет.
- База данных zbMath – самая полная математическая база данных, охватывающая материалы с конца 19 века. zbMath содержит около 4 000 000 документов из более 3000 журналов и 170 000 книг по математике, статистике, информатике, а также машиностроению, физике, естественным наукам и другие.
- База данных Nano – впервые стала доступна для всех грантополучателей РФФИ. Этот уникальный ресурс предоставляет данные о более 200 000 наноматериалов и наноустройств.
Завершён конкурс на замещение вакантных должностей научных работников
29.06.2020
29 июня 2020 года в ИМХ РАН был проведен конкурс на замещение вакантных должностей научных работников. По решению конкурсной комиссии
на должность младшего научного сотрудника избраны:
- Лаборатория металлокомплексного катализа
Наталья Юрьевна Радькова - Сектор рентгенодифракционных исследований
Роман Валерьевич Румянцев
Поздравляем с Юбилеем Александра Николаевича Корнева!
22.06.2020
21 июня 2020 года исполнилось 60 лет ведущему научному сотруднику и заведующему сектором фосфорорганических соединений, доктору химических наук Александру Николаевичу Корневу!

Александр Николаевич внёс большой вклад в научно-исследовательскую работу Института металлоорганической химии им. Г.А. Разуваева. Им подготовлены десятки специалистов по элементоорганической и органической химии, в том числе пять кандидатов химических наук.
От всей души поздравляем Александра Николаевича с Юбилеем и желаем ему крепкого здоровья, ярких научных идей и выдающихся результатов!
В Нижегородском НОЦ создают многофункциональные полимерные имплантаты
Ученые исследуют возможности использования в медицине биосовместимых полимеров.
В проекте участвуют ученые Института металлорганической химии им. Г.А. Разуваева РАН, Приволжского исследовательского медицинского университета Минздрава РФ и Нижегородского государственного университета им. Н.И. Лобачевского, входящих в созданный в рамках нацпроекта «Наука» Нижегородского НОЦ.
Сотрудниками ИМХ РАН были разработаны нетоксичные катализаторы для получения биоразлагаемых и биосовместимых полимеров, сопоставимых по характеристикам и цене с синтетическими полимерами, загрязняющими окружающую среду. Сейчас ведутся исследования возможности использования биополимеров в разных областях, в т.ч. в сфере упаковки, а также в медицинской сфере.
Совместный проект ученых Нижегородского НОЦ нацелен на разработку многофункциональных полимерных имплантатов – имплантатов-матриц, имплантатов-скаффолдов и терапевтических имплантатов. Уникальность имплантата-скаффолда состоит в том, что он не только восполняет отсутствующий участок кости или замещает её целиком, но и служит матрицей для делящихся клеток, которые постепенно формируют костную ткань в объеме полимерной матрицы. Пористая полимерная матрица имплантата-скаффолда будет иметь геометрию, точно соответствующую костному дефекту конкретного пациента и изготавливаться методом стереолитографии из компонентов отечественного производства.
Введение в полимерную матрицу противовоспалительных и противоопухолевых агентов позволит создать терапевтические имплантаты, обеспечивающие еще и локальную терапию за счет контролируемого и пролонгированного высвобождения терапевтических агентов вблизи очага воспаления или канцерогенеза, снизив общую токсичность препаратов по сравнению с традиционным системным введением.
Проект Нижегородского НОЦ относится к разработкам в сфере персонализированной медицины, рынок которой по прогнозам компании Deloitte к 2022 году достигнет 2,4 триллиона долларов при совокупном годовом росте (CAGR) в 11,8 процента, что более чем вдвое превысит прогнозируемый годовой рост в 5,2 процента для всего сектора здравоохранения. Дальнейшее успешное масштабирование проекта НОЦ позволит претендовать на долю в данном рынке продукции из Российской Федерации.
Фото и текст: Министерство науки и высшего образования РФ
Новый материал для светодиодов на основе комплекса меди
02.06.2020
Группа химиков из России и стран ЕС разработала новый материал для органических светодиодов на основе комплекса меди. Российский коллектив рассчитал молекулярные параметры соединения, немецкие ученые синтезировали сам комплекс и сконструировали светодиод, швейцарская группа изучила свойства материала с помощью сверхбыстрой рентгеновской спектроскопии. Исследования поддержаны грантом Российского научного фонда, а результаты работы опубликованы в Nature Communications и Journal of American Chemical Society.

От предшественников новый материал отличается сочетанием низкой стоимости, высокой эффективности и повышенной устойчивости. «Светодиоды за последние годы произвели настоящий переворот в индустрии осветительных приборов. С каждым годом все чаще используются дисплеи на основе органических светодиодов (OLED). Основные преимущества технологии OLED — низкое энергопотребление при высокой яркости и возможность создания тонких и гибких экранов. Последние модели современных телевизоров, телефонов, фотоаппаратов и прочих гаджетов имеют дисплеи именно такого типа. Но существует и обратная сторона медали: яркие органические светодиоды часто включают в себя редкие химические элементы — например, иридий или рутений. Из-за этого создание больших светоизлучающих матриц стоит очень дорого. Задача нашего крупного международного коллектива заключалась в разработке материала для бюджетного и эффективного органического светодиода», — рассказывает заведующий лабораторией строения металлоорганических и координационных соединений ИМХ РАН д.х.н. Сергей Кетков.
Теоретические разработки научной группы из ИМХ РАН позволили определить особенности электронного строения комплекса, заранее спланировать условия экспериментов по исследованию фотофизических свойств нового материала и впоследствии интерпретировать полученные экспериментальные результаты, заложив основы для будущих исследований. Кроме того, с помощью методов квантовой химии российским ученым удалось установить, как изменяется электронная плотность молекулы в процессах переноса энергии.
Синтезом соединения занимались химики из Германии. Исследователям удалось получить новый люминесцирующий комплекс, содержащий каркас из четырех атомов меди, связанных с атомами углерода и фосфора, и сконструировать на его основе прототип органического светодиода, используя центрифугирование. Синтезированное соединение оказалось очень перспективным из-за эффективной люминесценции, поэтому его отправили на дальнейшее исследование.
Ученые из Швейцарии экспериментально изучали сверхбыстрые процессы, происходящие в молекулах комплекса. С помощью уникальной рентгеновской спектроскопии исследователи выяснили механизмы переноса энергии, приводящие к излучению света с высоким выходом, а также определили, как изменяются электрические заряды на атомах меди при переходах. Исследователи из Швейцарии отмечают, что знания, полученные ими при изучении механизмов работы светодиода, в будущем помогут в создании новых, еще более мощных источников света. Содержащие медь светодиоды будут значительно дешевле, чем OLED на основе соединений иридия и прочих редких элементов. Разработанный учеными материал окажется особенно полезен при создании осветителей большой площади.
75 лет Победы
07.05.2020
Накануне 75-ой годовщины Великой Победы все чаще говорят о подвиге, мужестве и любви к Родине советского народа, который сражался на фронте или самоотверженно трудился в тылу, приближая Победу. Ярким примером такого подвига и верности отечеству в годы войны является деятельность репрессированных советских ученых в застенках ГУЛАГа. Среди этих выдающихся личностей был основатель Института химии АН СССР, преобразованного в последствие в Институт металлоорганической химии РАН, Григорий Алексеевич Разуваев. За основу текста авторы взяли воспоминания самого Григория Алексеевича, а также выдержки из статей в открытых источниках.
Конкурс на замещение вакантной должности
23.04.2020
Федеральное государственное бюджетное учреждение науки Институт металлоорганической химии им. Г.А. Разуваева Российской академии наук объявляет конкурс на замещение должности младшего научного сотрудника:
- Лаборатория металлокомплексного катализа (1 вакансия)
- Сектор рентгенодифракционных исследований (1 вакансия)
Срок подачи документов в Учёный секретариат — 2 месяца со дня опубликования на сайте ИМХ РАН. Телефон для справок: +7 (831) 462 65 71.
Завершён конкурс на замещение вакантных должностей научных работников
24.03.2020
24 марта 2020 года в ИМХ РАН был проведен конкурс на замещение вакантных должностей научных работников. По решению конкурсной комиссии на должность старшего научного сотрудника избраны:
- Любов Дмитрий Михайлович
Лаборатория металлокомплексного катализа - Ковылина Татьяна Александровна
Лаборатория физико-химических исследований
На должность научного сотрудника избраны:
- Арсеньев Максим Вячеславович
Лаборатория фотополимеризации и полимерных материалов - Ковылин Роман Сергеевич
Лаборатория фотополимеризации и полимерных материалов - Протасенко Наталья Алексеевна
Лаборатория металлокомплексов с редокс-активными лигандами
План неотложных мероприятий по предупреждению распространения коронавирусной инфекции (COVID-19)
19.03.2020
C 19 марта 2020 года в ИМХ РАН введён в действие план неотложных мероприятий по предупреждению распространения коронавирусной инфекции (COVID-19).
Приказ № 28-ОК
16.03.2020
В соответствии с приказом № 28-ОК от 13 марта 2020 года и в целях обеспечения санитарно-противоэпидемических и профилактических мероприятий в связи с COVID-19 часть сотрудников ИМХ РАН переводится на дистанционную работу с 16 по 29 марта 2020 года. Кроме того, в указанные даты ограничено посещение ИМХ РАН студентами образовательных учреждений, направленных на прохождение производственной практики и выполнения курсовых, дипломных, бакалаврских и магистерских работ.
Полный текст приказа доступен в PDF.
Поздравляем с Международным женским днём!
06.03.2020
Милые дамы!
Администрация ИМХ РАН, Профсоюз, а также все без исключения сотрудники Института от всей души поздравляют вас с наступающим праздником весны – Международным женским днём 8 Марта! Желаем улыбок, хорошего настроения, радости и счастья!

V Межрегиональная междисциплинарная молодежная научно-практическая конференция
28.02.2020
Первичная профсоюзная организация ИПФ РАН, администрация ИПФ РАН, Нижегородская региональная (территориальная) организация Профсоюза работников РАН при поддержке Профсоюза работников РАН проводят с 15 по 18 июня 2020 г. на базе отдыха ИПФ РАН «Варнавино» V Межрегиональную междисциплинарную молодежную научно-практическую конференцию (МНПК-2020).
Основной целью конференции является расширенное знакомство молодых сотрудников научных учреждений с научными направлениями, которые развиваются в других организациях, а также нахождение общих точек в организации совместных исследований. Другой целью конференции является развитие рабочей площадки для обсуждения производственных и социальных вопросов с уполномоченными лицами от Минобрнауки, административных структур и представителями инновационных предприятий.
Конференция будет проводиться на летней базе отдыха ФИЦ ИПФ РАН «Варнавино», находящейся на берегу Ветлуги в экологически чистом районе, живописнейшем и богатом природными дарами.
Желающим принять участие в работе конференции необходимо пройти регистрацию в срок до 1 мая 2020 г.
В связи с ограниченным количеством мест для размещения оргкомитет оставляет за собой право досрочно прекратить регистрацию участников.
В ИМХ РАН открыты вакансии научных сотрудников
27.02.2020
Федеральное государственное бюджетное учреждение науки Институт металлоорганической химии им. Г.А. Разуваева Российской академии наук объявляет конкурс на замещение следующих вакантных должностей:
- старший научный сотрудник Лаборатории физико-химических исследований
одна вакансия - старший научный сотрудник Лаборатории металлокомплексного катализа
одна вакансия - научный сотрудник Лаборатории металлокомплексов с редокс-активными лигандами
одна вакансия - научный сотрудник Лаборатория фотополимеризации и полимерных материалов
две вакансии
Для участия в конкурсе претендентам необходимо разместить свою заявку на портале вакансий. Срок подачи документов до 19 марта 2020 г. (16:00). Дополнительная информация по телефону +7 (831) 4626571.
Пороговая ионизационная спектроскопия сэндвичевых комплексов переходных металлов
25.02.2020
Исследования, проводимые сотрудниками ИМХ РАН, позволили разработать комплексный подход изучения сэндвичевых комплексов переходных металлов, играющих ключевую роль во многих областях современной химии, включая катализ, биомедицину, металлсодержащие полимеры и наноэлектронику. Применение данного типа соединений обусловлено их уникальными окислительно-восстановительными свойствами. Применение лазерного излучения и особой схемы возбуждения, а также охлаждение исследуемых молекул в сверхзвуковой струе обеспечивают методам пороговой ионизации беспрецедентную точность при определении энергий ионизации сэндвичевых соединений. Это позволяет обнаружить и количественно описать такие тонкие явления, как изотопные эффекты и взаимное влияние заместителей. В частности, удается детектировать и исследовать различия в свойствах индивидуальных вращательных изомеров сэндвичевых молекул с ареновыми лигандами, а также определить роли внутри- и межмолекулярных взаимодействий в изменениях редокс-потенциалов при замещении в кольце. В сочетании с квантово-химическими расчетами, лазерная ионизационная спектроскопия раскрывает механизмы влияния лиганда на особенности электронного строения сэндвичевых комплексов, имеющие ключевое значение для их практического использования.

Обзор последних достижений в области исследований эффектов заместителей в сэндвичевых комплексах переходных металлов с помощью пороговой ионизационной спектроскопии опубликован в высокорейтинговом журнале Dalton Transactions в разделе Frontier article.
Тонкоплёночные просветляющие покрытия для стекла
18.02.2020
В ИМХ РАН разработана технология получения просветляющих покрытий на основе композиционных плёночных наноматериалов. Покрытия данного типа позволяют увеличить светопропускание прозрачных материалов на 5-8%, что важно для их дальнейшего применения в оптических изделиях для солнечной энергетики, в лазерной оптике, в сельском хозяйстве и других областях. В настоящий момент сотрудниками ИМХ РАН запатентован новый способ получения прозрачных тонкопленочных покрытий на силикатном стекле из золь-композиции диоксида кремния с каталитическими количествами акрилатных полимеров, позволяющий значительно снизить температуру отверждения пленки с 400-500°С до 60-90°С с одновременным повышением твёрдости покрытия. Разработка позволит не только достичь значительной экономии энергии и времени в процессе отжига, но и применить данную технологию для получения просветляющих покрытий на органических стеклах.

31-ое расширенное заседание Учёного совета ИМХ РАН, посвящённое памяти академика АН СССР Г.А. Разуваева
13.02.2020
12 февраля 2020 года состоялось очередное расширенное заседание Ученого Совета, посвященное памяти основателя института академика Академии наук СССР Григория Алексеевича Разуваева.
Память о любом человеке связана с его делами, его значимостью в жизни окружающих людей: семьи, коллег по работе, а иногда и целой страны. Значимость Григория Алексеевича в жизни его учеников, сотрудников, руководимых им организаций, огромна и бесценна.
Мы неоднократно говорим о его жизненном пути, его достижениях и роли в жизни института. Вместе с тем, очень важный период остался в тени: это долгие годы репрессий, заключения и ярлык врага народа. Этот страшный и чудовищный период в жизни нашей страны, который погубил тысячи талантливых людей, прошелся катком и по судьбе Григория Алексеевича. Однако, будучи глубоко порядочным Человеком с большой буквы, интеллигентом, он вместе с другими безвинно осужденными учеными работал на нашу великую Победу.
Коротко о военном периоде жизни Г.А. Разуваева. Он был арестован в 1934 году по ложному доносу бывшего аспиранта Хрулева и осужден по статье 58 4,7,11 , Контрреволюционная деятельность, 4 – помощь европейской буржуазии, 7 – вредительство, 11 – группировки. Затем долгих 8 лет заключения: лесоповал, пешие переходы по этапу, Воркутинские шахты.
После начала Великой Отечественной войны вышел Указ об использовании специалистов по их специальности, и он начал работать на Водном промысле, около Ухты, в Ухтпечлаге в должности начальника производства. Надо сказать, что еще в тридцатые годы прошлого века на Водном промысле были начаты работы по извлечению радия-мезатория из вод реки Ухта. Это была невиданная по масштабам работа для извлечения одного грамма радия требуется 250 тыс. тонн сырья (воды). Для справки: в самых богатых рудах Северной Канады и Бельгийского Конго один грамм радия добывается из 4-6 тонн руды, т.е. сырья требуется более, чем в 40000 раз меньше.
Как вспоминала жена Григория Алексеевича Елена Владимировна Разуваева, заключенные работали в огромном бараке, общие правила безопасной работы полностью отсутствовали, а опасность работы с радиоактивными веществами вообще была неизвестна.
И вот в таких невозможных для сегодняшнего исследователя условиях группа талантливых ученых, по статусу заключенные, смогли создать промышленность на севере страны по извлечению радия из необычного источника сырья – воды. Это, кроме Григория Алексеевича, начальник химической лаборатории Федор Александрович Торопов, доктор технических наук И.Я. Башилов, профессор – геохимик И.И. Гинзбург, инженеры М.Д. Крашенинников, А.В. Кулевский, Н.М. Шур, а также сотни рядовых исполнителей, которые ценой своей жизни вносили вклад в Победу.
Расширенное заседание Учёного совета ИМХ РАН
06.02.2020
12 февраля 2020 года в читальном зале библиотеки ИМХ РАН состоится расширенное заседание Учёного совета, посвящённое памяти основателя Института Григория Алексеевича Разуваева.
09:30 – Посещение кладбища
14:00 – Учёный совет
- Вступительное слово
Директор ИМХ РАН, чл.-корр. РАН И.Л. Федюшкин - Военный период жизни Г.А. Разуваева. Роль советских репрессированных ученых в приближении великой Победы.
Учёный секретарь ИМХ РАН К.Г.Шальнова - Воспоминания о Г.А. Разуваеве.
Сотрудники ИМХ РАН награждены Почётной грамотой министерства образования, науки и молодёжной политики Нижегородской области
В соответствии с приказом № 316-01-31-05 от 5 февраля 2020 года за достигнутые результаты в развитии научно-образовательного комплекса Нижегородской области и в связи с Днём Российской науки награждены Почётной грамотой министерства образования, науки и молодёжной политики Нижегородской области:
- Алексей Олегович Толпыгин
к.х.н., с.н.с. лаб. МКК - Маргарита Петровна Шурыгина
к.х.н., н.с. лаб. ФППМ
2020: Год памяти и славы
05.02.2020
В ФГБУН Институте металлоорганической химии им. Г.А. Разуваева Российской академии наук в Год памяти и славы (2020) запланированы следующие мероприятия:
- 12 февраля 2020 года
Расширенное заседание Учёного Совета ИМХ РАН, посвященное памяти основателя института академика Г.А. Разуваева «Вклад репрессированных советских ученых в Победу» - 24 апреля 2020 года
Общее собрание сотрудников института, посвященное 75 годовщине Победы:
Доклад «Роль Российских учёных в разгроме фашистских захватчиков»;
Демонстрация фильма Михаила Ромма «Обыкновенный фашизм». - Март 2020 года
Открытая лекция для школьников «Вклад нижегородцев (горьковчан) в Победу в Великой Отечественной Войне - Июнь 2020 года
Открытая лекция для студентов ННГУ «Разработки российских ученых для фронта»
Новый способ формирования полимерных 2D-структур
04.02.2020
Сотрудниками ИМХ РАН разработан новый способ формирования полимерных 2D-структур методом двухлучевой фотополимеризации. Полученный результат стал возможен благодаря удачной экспериментальной реализации предложенной авторским коллективом математической модели процесса. В основе литографии процесса лежит фотополимеризация УФ-отверждаемой (365 нм) композиции, контролируемая действием неоднородного видимого света, генерируемого обычным мультимедийным проектором. Формирование 2D-структуры с толщиной слоя 20 мкм происходит благодаря использованию в полимеризующейся композиции ингибитора, который способен деградировать под действием видимого света.

Титановые катализаторы для полимеризации L-лактида
31.01.2020
Полимеры, получаемые путем каталитической полимеризации с раскрытием цикла различных циклических эфиров и лактидов, широко используются в медицине для производства имплантатов, стентов, шовного и покровного материалов, а также носителей для контролируемой доставки лекарств. Сотрудниками ИМХ РАН получены новые алкоксиды титана (IV), содержащие редокс-активный аценафтен-1,2-дииминовый лиганд (dpp-bian), проявляющие различную каталитическую активность в полимеризации с раскрытием цикла L-лактида контролируемую окислительно-восстановительным состоянием dpp-bian лиганда. Kоординационное соединение титана, стабилизированное анион-радикалом dpp-bian•–, позволяет осуществлять процесс с относительно низкой скоростью, но в контролируемом режиме, обеспечивая получение узкодисперсного линейного полилактида.

Графическая иллюстрация статьи размещена на обложке специального выпуска журнала, посвященного 150-летию создания Периодической таблицы химических элементов “EuChemS Inorganic Chemistry Celebrates IYPT”. Расширенный абстракт исследования в форме интервью опубликован отдельно.
Завершён конкурс на замещение вакантных должностей научных работников
21.01.2020
21 января 2020 года в ИМХ РАН был проведен конкурс на замещение вакантных должностей научных работников. По решению конкурсной комиссии на должность научного сотрудника избраны:
- Алёна Алексеевна Локтева
Лаборатория поисково-прикладных исследований - Кира Игоревна Пашанова
Лаборатория металлокомплексов с редокс-активными лигандами - Нина Александровна Леньшина
Лаборатория фотополимеризации и полимерных материалов
Эффективные катализаторы тандемного гидросилилирования/восстановления углекислого газа до метана
10.01.2020
В ИМХ РАН разработаны эффективные катализаторы, позволяющие в ходе каскада последовательных реакций превращать углекислый газ в метан. Впервые для осуществления каталитического тандемного гидросилилирования/восстановления CO2 до метана были использованы алкильные комплексы циркония и гафния на основе новых азотсодержащих лигандов. Полученные комплексы в присутствии трифенилбора позволяют проводить восстановление CO2 до CH4 различными силанами с высокими скоростями и выходами, достигающими 98-99%. Результаты работы опубликованы в ChemCatChem.

В ИМХ РАН открыты вакансии научных сотрудников
28.12.2019
Федеральное государственное бюджетное учреждение науки Институт металлоорганической химии им. Г.А. Разуваева Российской академии наук объявляет конкурс на замещение следующих вакантных должностей:
- научный сотрудник Лаборатории металлокомплексов с редокс-активными лигандами (одна вакансия)
- научный сотрудник Лаборатории поисково-прикладных исследований (одна вакансия)
- научный сотрудник Лаборатория фотополимеризации и полимерных материалов (одна вакансия)
Для участия в конкурсе претендентам необходимо разместить свою заявку на портале вакансий ученые-исследователи.рф. Срок подачи документов до 17 января 2020 г. (16:00). Дополнительная информация по телефону +7 (831) 4626571.
Программа развития ИМХ РАН (2019-2023)
27.12.2019
Утверждена по согласованию с Российской академией наук программа развития ИМХ РАН на 2019-2023 годы:
- Программа развития ИМХ РАН
- Пояснительная записка к программе развития ИМХ РАН
- Целевые показатели реализации Программы развития ИМХ РАН
- Выписка из протокола заседания Учёного Совета от 6 мая 2019 года №6
- Заявление на проведение экспертизы Программы развития ИМХ РАН
- Заключение РАН на программу развития ИМХ РАН
Стабилизированные синглетные фосфинидены
26.12.2019
Сотрудниками ИМХ РАН установлена природа дуализма химических свойств 3a,6a-диаза-1,4-дифосфа-пенталенов (DDPs), которые можно рассматривать не просто как гетероциклические соединения, а как форму существования стабилизированных синглетных фосфиниденов. Было установлено, что DDPs подвергаются обратимой олигомеризации в растворе, что приводит к 1,2,3-диазафосфолзамещенным циклотетрафосфинам. Превращение 10-π-электронной гетеропенталеновой системы в стабилизированный фосфиниден происходит при удлинении связи P-N, чему способствуют слабые кислоты и основания Льюиса. DFT-расчеты показывают, что нижняя свободная молекулярная орбиталь DDP имеет высокую локализацию у атома фосфора (фосфиниденового типа), когда расстояние N-P-связи достигает значения 2.53 Å. Олигомеризация является концентрационно-зависимым процессом. Увеличение концентрации раствора мономера способствует образованию тетрамера, и наоборот: сильное разбавление приводит к мономеру. Растворы тетрамеров являются светочувствительными и дают мономеры при облучении.

Результаты работы опубликованы в Inorganic Chemistry.
Пористые полимерные материалы
18.12.2019
Сотрудниками ИМХ РАН разработан и опубликован в Chemistry Select принципиально новый подход к получению пористых полимерных матриц, основанный на эффекте самоформирования пористых неупорядоченных структур при фотополимеризации сложных композиций из полифункциональных метакрилатов. Предложен метод получения монолитных пористых материалов с системой открытых взаимосвязанных пор. В зависимости от природы мономеров и порообразующих соединений, входящих в состав композиций, размеры пор варьируются от единиц до десятков микрон. Уникальным свойством матриц является высокая пористость (72%) в сочетании с хорошей сорбцией воды. Совместно с сотрудниками «Приволжского исследовательского медицинского университета» Минздрава России получены положительные результаты по адгезии и жизнеспособности мультипотентных мезенхимальных стромальных клеток из жировой ткани человека (стволовые клетки) на поверхности таких нецитотоксичных полимеров, что делает перспективным возможное использование полученных пористых материалов в качестве скаффолдов для костной пластики.

Размерный эффект и эффект формы при фазовых превращениях
17.12.2019
17 декабря 2019 г. в библиотеке ИМХ РАН прошло расширенное заседание Ученого Совета ИМХ РАН. Для участия в заседании были приглашены сотрудники кафедры физической химии Национального исследовательского Нижегородского государственного университета им. Н.И Лобачевского. Вниманию слушателей был представлен доклад аспиранта ИМХ РАН А.В. Шишулина на тему «Размерный эффект и эффект формы при фазовых превращениях». В докладе сообщалось о результатах теоретических термодинамических исследований для систем из двух ограниченно растворимых друг в друге жидкостей. Были рассмотрены закономерности влияния геометрических факторов (формы и объема пор) на фазовую диаграмму состояния двухкомпонентных жидких систем в пористых матрицах. На ряде примеров показано, что деформация пористой матрицы, определяющая геометрические характеристики пор, может быть использована для управления взаимной растворимостью компонентов и стабильностью сосуществующих равновесных фаз. Доклад вызвал живой интерес аудитории и продолжительную дискуссию.
Конкурс научно-исследовательских работ молодых ученых ИМХ РАН
28.11.2019
С 26 по 27 ноября 2019 г. проведен конкурс научно-исследовательских работ молодых ученых ИМХ РАН. В конкурсе приняло участие 17 человек: А.Н. Селихов, Л.И. Силантьева, Д.А. Лукина, И.В. Лапшин, О.Ю. Трофимова, А.А. Беликов, Г.А. Гурина, А.А. Кукинов, Р.С. Ковылин, Г.Г. Казаков, В.А. Додонов, Э.Р. Жиганшина, И.В. Вилков, С.В. Норков, И.В. Ершова, Т.В. Астафьева, М.Ю. Захарина. Жюри отмечает высокий уровень докладов и выражает благодарность всем участникам конкурса.
По результатам оценки представленных работ призовые места заняли следующие работы:
- I место
- Ершова И. В. (лаб. МРАЛ)
- II место
- Додонов В.А., Кушнерова О.А. (лаб. ЛПР)
- Лапшин И.В. (лаб. МКК)
- III место
- Селихов А. Н. (лаб. МКК)
- Ковылин Р.С. (лаб. ФППМ)
- Захарина М. Ю. (лаб. ФППМ)
Cеминар «Инструменты и методики подготовки статьи мирового уровня»
27.11.2019
Приглашаем научных сотрудников и аспирантов к участию в семинаре «Инструменты и методики подготовки статьи мирового уровня». Во время семинара будут рассмотрены следующие вопросы:
- Что такое научная публикация сегодня, какие существуют источники информации;
- Как правильно выбрать тип публикации;
- Способы подбора журнала для вашей публикации;
- Подготовка статьи: требования, предъявляемые к публикации в международном журнале, основные разделы публикации;
- Доработка статьи;
- Этические аспекты.
Семинар продолжительностью 90 мин. пройдёт в библиотеке ИМХ РАН в понедельник, 2 декабря в 10:00. Семинар проводит Виктор Евгеньевич Парфёнов, сертифицированный тренер по продуктам Elsevier.
Новогодняя история
26.11.2019

Флуоресцентные порфиразины для фотодинамической терапии рака
21.11.2019
В Институте Металлоорганической Химии им. Г.А. Разуваева Российской академии наук (ИМХ РАН) разработаны и запатентованы новые потенциальные агенты для фотодинамической терапии (ФДТ) рака на основе флуоресцентных цианоарилпорфиразиновых пигментов (Pz).
Эксперименты in vivo на животных показали высокую эффективность этих соединений в качестве фотосенсибилизаторов в ФДТ для агрессивных форм онкологии (колоректальная карцинома СТ-26). Показано, что биологически значимое торможение роста опухоли (ТОР ≥ 50%) наблюдается только в группах животных, которым вводили Pz и одновременное проводили световое воздействие в дозе 150 Дж/см<sub>2</sub>. Коэффициент ТОР при фотодинамическом воздействии Pz на опухоль составил около 95%. Проведенные с использованием новых потенциальных противораковых препаратов эксперименты in vivo показали отличные результаты по выживаемости экспериментальных животных. Наблюдалась не только регрессия опухолей, но и полное выздоровление большей части животных из экспериментальной группы.
Проведены исследования in vitro влияния цианоарилпорфиразинов на первичные нейрональные клетки в темновых условиях и на клетки глиомы в условиях освещения светом. Обнаружено отсутствие системной токсичности порфиразинов в отношении здоровых нейронов и высокая фотоиндуцированная цитотоксичность в отношении клеток глиомы. Этот результат открывает перспективы использования новых цианоарилпорфиразиновых фотосесибилизаторов для основной или адьювантной терапии рака головного мозга.
Работа проводилась в рамках сотрудничества ИМХ РАН с кафедрой биофизики биологического факультета Национального исследовательского Нижегородского государственного университета им. Н.И. Лобачевского и Института прикладной физики РАН.

Результаты опубликованы:
- S.A. Lermontova, L.G. Klapshina, I.S. Grigorev, I.V. Balalaeva, N.Yu. Shilyagina, V.A. Vodeneev, I.V. Turchin, V.I. Plekhanov, Method of photodynamic therapy with efficiency control in real time mode // Patent RU 2672806 C1 19.11.2018
- T.A. Mishchenko, V.D. Turubanova, E.V. Mitroshina, R. Alzeibak, N.N. Peskova, S.A. Lermontova, L.G. Klapshina, I.V. Balalaeva, M.V. Vedunova, D.V. Krysko, Effect of novel porphyrazine photosensitizers on normal and tumor brain cells // J. Biophotonics. 2019; e201960077
- S.A. Lermontova, I.S. Grigoryev, N.N. Peskova, E.Yu. Ladilina, T.S. Lyubova, V.I. Plekhanov, I.D. Grishin, I.V. Balalaeva, L.G. Klapshina, Cyano-aryl Porphyrazine Pigments with Polycyclic Substituents as the Promising Agents of Photodynamic Therapy and Potential Sensors of Local Viscosity // Macroheterocycles 2019, V 13, N3
Лазерная фотоионизационная спектроскопия
14.11.2019
Сотрудники Института металлорганической химии им. Г.А. Разуваева РАН совместно с коллегами из Института атомарных и молекулярных наук (Тайвань) разработали новую технику спектрального анализа металлокомплексов, проявляющих длинноволновые ридберговские переходы. Впервые удалось осуществить двухфотонную ионизацию сэндвичевого соединения хрома через промежуточное невырожденное ридберговское состояние. Полученный спектр резонансной многофотонной ионизации в сочетании с квантовохимическими расчетами металлоорганического соединения позволил обнаружить неожиданные эффекты влияния органических лигандов на молекулярное и электронное строение возбужденных сэндвичевых молекул. Полученный результат открывает новые перспективы использования лазерной фотоионизационной спектроскопии как мощного инструмента исследования тонких эффектов влияния строения металлокомплексов на их спектральные и окислительно-восстановительные свойства, определяющие их научную и прикладную значимость.

Прецизионные рентгенодифракционные исследования O,N-гетероциклического станнилена
08.11.2019
В журнале European Journal of Inorganic Chemistry сотрудниками ИМХ РАН были опубликованы результаты прецизионного рентгенодифракционного исследования нового O,N-гетероциклического станнилена (SnAPtBu). В кристалле мономерные молекулы комплекса SnAPtBu объединены в димерные пары [tBuAPSn]2 за счет донорно-акцепторных взаимодействий между атомами олова и азота (промежуточный тип химических взаимодействий согласно теории AIM (∇2ρ(r) > 0, he(r) < 0)). Экспериментально оцененная энергия димеризации составляет –21.96 ккал/моль. В свою очередь, экспериментально обнаруженная реализация ковалентных взаимодействий (∇2ρ(r)) > 0, he(r) < 0) между атомами олова димерных пар на аномально большом расстоянии в 3.3523(2) Å, приводит к образованию бесконечных цепочек ({…[tBuAPSn]2…[SnAPtBu]2…}n) в кристалле. Энергия Sn…Sn взаимодействий составляет –9.1 ккал/моль. Согласно квантово-химическим расчетам, это связывание реализуется за счет двойного взаимодействия неподеленных электронных пар и вакантных орбиталей двух соседних атомов металлов.

Конкурс молодых учёных ИМХ РАН
07.11.2019
Администрация ИМХ РАН и Совет молодых ученых ИМХ РАН с 26 по 27 ноября 2019 года проводит конкурс научно-исследовательских работ молодых ученых ИМХ РАН.
В конкурсе могут участвовать все научные сотрудники ИМХ РАН, принимающие участие в выполнении научно-исследовательских работ по плану НИР института, и не достигшие на момент проведения конкурса полных 36 лет. На конкурс представляются результаты научно-исследовательских работ, выполненных в 2017-2018 гг. в соответствии с планом НИР института, как индивидуально, так и в составе научных коллективов.
Всем участникам конкурса предоставляется не более 15 минут для доклада и не более 5 минут для обсуждения (20 минут на одного человека).
Для участия в конкурсе авторы работ представляют в конкурсную комиссию заявку, включающую название работы, состав авторского коллектива (с указанием должности каждого автора, его принадлежности к научному подразделению ИМХ РАН, а также E-mail автора, представляющего работу на конкурсе), краткую (не более 0.5 стр.) аннотацию работы.
Заявки в электронном виде в формате DOC/DOCX помещать по адресу \\SERVER\EXCHANGE\КОНКУРС МОЛОДЫХ УЧЕНЫХ 2019.
Срок подачи работ на конкурс до 19 ноября 2019 года включительно.
Завершён конкурс на замещение вакантных должностей научных работников
06.11.2019
6 ноября 2019 года в ИМХ РАН был проведен конкурс на замещение вакантных должностей научных работников. По решению конкурсной комиссии на должность младшего научного сотрудника Лаборатории поисково-прикладных исследований была избрана Людмила Сергеевна Охлопкова.
01.11.2019
Поздравляем к.х.н. Дмитрия Любова с высокой оценкой его деятельности в качестве члена экспертной комиссии по естественным наукам Российского Совета олимпиад школьников!
Галлиевые «ножницы» для связей C=N в изоцианатах
Изоцианаты являются важным классом органических соединений, имеющих широкое промышленное применение и представляющих собой ценные строительные блоки в реакциях органического синтеза. В работе исследователей из ИМХ РАН впервые реализовано циклоприсоединение изоцианатов к комплексу непереходного металла, а именно аценафтен-1,2-дииминовому комплексу галлия со связью металл–металл. При этом реакция протекает хемо- и региоселективно по связи C=N.
Результаты работы опубликованы в Chemistry: A European Journal и размещены на обложке журнала.

Эффективные катализаторы для регио- и хемоселективного гидрофосфинирования алкенов
30.10.2019
В публикации, вышедшей в Chemistry: A European Journal, сотрудниками ИМХ РАН впервые продемонстрирована возможность проведения каталитической реакции межмолекулярного гидрофосфинирования олефинов и ацетиленов фосфином (РН3), позволяющей с исключительной регио- и хемоселективностью получать первичные, вторичные и третичные фосфины. Эта реакция является атом-экономным и экологичным бесхлорным методом получения широкой гаммы фосфинов из недорогого и доступного сырья. Разработанные катализаторы на основе амидных комплексов кальция и двухвалентных лантаноидов [(Me3Si)2N]2M(NHC)2 (M = Ca, Yb(II), Sm(II)), содержащих координированные карбеновые лиганды, позволяют проводить реакцию в мягких условиях (60 °С, 1 атм.) с высокими скоростями и количественными выходами. Показано, что ключевым фактором, оказывающим влияние на каталитическую активность металлокомплексов в реакциях гидрофосфинирования, является природа основания Льюиса, координированного на ион металла. Установлено, что хемоселективность реакции определяется различием в скоростях присоединения РН3, первичных и вторичных фосфинов к кратным связям С−С.

Стипендия им. академика Г.А. Разуваева на 2019-2020 учебный год
25.10.2019
Поздравляем лауреатов стипендии им. академика Г.А. Разуваева на 2019-2020 учебный год (приказ Министерства образования, науки и молодежной политики Нижегородской области №316-01-23-202-пд от 17 октября 2019 г.):
- Э.Р. Жиганшина
- И.В. Лапшин
- Д.А. Лукина
- Л.И. Силантьева
- К.В. Арсеньева
- А.В. Шеянова
- А.В. Шишулин
ИМХ РАН на Первом канале
22.10.2019
ИМХ РАН посетила съёмочная группа Первого канала. В новостном выпуске был показан сюжет о последних достижениях Института, представленных директором чл.-корр. РАН Игорем Леонидовичем Федюшкиным.
Конференция по актуальным вопросам охраны труда и применения средств индивидуальной защиты
Администрация Приокского района Нижнего Новгорода информирует, что с 12 по 14 ноября 2019 года на Нижегородской ярмарке (Павильон № 1) будут проходить специализированная выставка «Безопасность. Охрана. Спасение» и областная конференция по актуальным вопросам охраны труда и применения средств индивидуальной защиты.
Cотрудниками ИМХ РАН созданы материалы, устойчивые к действию радиации
18.10.2019
Исследователи из Института металлоорганической химии имени Г.А. Разуваева и Нижегородского государственного университета выявили повышенную устойчивость к ионизирующему излучению у ряда координационных соединений лантаноидов. Устойчивость к облучению исследуемых металлорганических соединений оказалась почти на 50% выше, чем для неорганических веществ, использующихся в настоящее время для работы в условиях повышенной радиации. Результаты работы опубликованы в журнале Scientific Reports. Исследование поддержано грантом Российского научного фонда.
Сообщение о данном открытии опубликовано в новостных лентах: ТАСС, Газета.ру, Федеральное агентство новостей, RT, РИА Новости.
Доступ к базе данных Reaxys
10.10.2019
Для сотрудников ИМХ РАН открыт доступ к базе данных Reaxys до 31 декабря 2019 года.
Завершён конкурс на замещение вакантных должностей научных работников
02.10.2019
1 октября 2019 года в ИМХ РАН был проведен конкурс на замещение вакантных должностей научных работников. По решению конкурсной комиссии на
должность ведущего научного сотрудника избран:
- Вячеслав Александрович Куропатов
Лаборатория металлокомплексов с редокс-активными лигандами
На должность научного сотрудника избрана:
- Светлана Викторовна Барышникова
Лаборатория металлокомплексов с редокс-активными лигандами
Актуальные проблемы современной химии (16-21 сентября)
01.10.2019
Кластер международных конференций «Актуальные проблемы современной химии» прошел с 16 по 21 сентября на борту теплохода «Михаил Фрунзе», который стартовал в Нижнем Новгороде и следовал по маршруту Ярославль – Горицы – Углич – Плёс – Нижний Новгород.
Организаторами мероприятия стали Институт металлорганической химии им. Г.А. Разуваева РАН, Институт химической физики им. Н.Н. Семенова РАН, Институт проблем химической физики РАН, Национальный исследовательский Нижегородский государственный университет им. Н.И. Лобачевского, Отделение химии и наук о материалах РАН, Научный совет по высокомолекулярным соединениям РАН, Северо-западный Университет (Сиань, Китай) при финансовой поддержке Министерства науки и высшего образования РФ, а также Российского фонда фундаментальных исследований.
Кластер проводился в рамках празднования 150-летия со дня открытия Периодической Таблицы Химических Элементов Д.И. Менделеева и включал в себя три конференции – Международную конференцию «Металлоорганическая химия со всего мира (7-е Разуваевские чтения)», XVIII Международная конференция по химии и физикохимии олигомеров и Российско-Китайский симпозиум по координационной и супрамолекулярной химии. Общее число участников кластера составило 240 российских и зарубежных ученых. Среди них академики РАН Белецкая И.П. и Берлин А.А., член-корреспонденты РАН Черкасов В.К., Федюшкин И.Л., Гришин Д.Ф., Федин В.П., Антипин И.С., Горбунова Ю.Г., а также 4 профессора РАН.
Конференции включали в себя пленарные, устные и стендовые доклады. Проведены конкурсы среди молодых ученых, выступавших с устными и стендовыми докладами. В рамках кластера конференций обсуждались проблемы синтеза и строения координационных соединений. Рассматривались вопросы практически важных химических, физико-химических и оптофизических свойств, обуславливающих прикладное значение как металлорганических, так высокомолекулярных соединений. Представлены сообщения о синтезе композиционных материалов на основе полифункциональных мономеров, методах получения полимерных материалов, процессах фотополимеризации, аддитивных технологиях и проблемах получения материалов для медицины.
География российских участников кластера охватывает целый ряд российских регионов. Наиболее многочисленные делегации прибыли из Москвы, Перми, Новосибирска, Санкт-Петербурга, Казани, Нижнего Новгорода, Черноголовки, Екатеринбурга, Ярославля, Ростова-на-Дону, Тольяти, Волгограда, Калининграда, Кемерова и Астрахани. Также в рамках кластера конференций представили свои доклады 40 иностранных ученых из стран ближнего и дальнего зарубежья – Германии, Польши, Японии, Австрии, Китая, Франции, Украины, Израиля, Португалии.
В ИМХ РАН открыты вакансии научных сотрудников
06.09.2019
Федеральное государственное бюджетное учреждение науки Институт металлоорганической химии им. Г.А. Разуваева Российской академии наук объявляет конкурс на замещение следующих вакантных должностей:
- ведущий научный сотрудник Лаборатории металлокомплексов с редокс-активными лигандами, д.х.н.
одна вакансия - научный сотрудник Лаборатории металлокомплексов с редокс-активными лигандами, к.х.н.
одна вакансия
Для участия в конкурсе претендентам необходимо разместить свою заявку на портале вакансий. Срок подачи документов до 27 сентября 2019 г. (16:00). Дополнительная информация по телефону +7 (831) 4626571.
Г.А. Абакумов (1937–2019)
29.08.2019
29 августа 2019 года на 82 году жизни скончался выдающийся российский учёный, академик РАН, лауреат Государственной премии СССР, научный руководитель Федерального государственного бюджетного учреждения науки Института металлоорганической химии им. Г.А. Разуваева РАН Глеб Арсентьевич Абакумов. Церемония прощания состоится 31 августа в 12:00 во втором корпусе ННГУ.
Конкурс на замещение вакантной должности м.н.с.
28.08.2019
Федеральное государственное бюджетное учреждение науки Институт металлоорганической химии им. Г.А. Разуваева Российской академии наук объявляет конкурс на замещение должности младшего научного сотрудника:
- Лаборатория поисково-прикладных исследований (1 вакансия)
Срок подачи документов в Учёный секретариат — 2 месяца со дня опубликования на сайте ИМХ РАН. Телефоны для справок: +7 (831) 462 65 71.
Завершён конкурс на замещение вакантных должностей научных работников
20.06.2019
20 июня 2019 года в ИМХ РАН был проведён конкурс на замещение вакантных должностей научных работников. По решению конкурсной комиссии на должность научного сотрудника избраны:
Лаборатория металлокомплексов с редокс-активными лигандами
Лаборатория металлокомплексного катализа
IX Всероссийский Фестиваль науки «NAUKA 0+»
13.06.2019
Минобрнауки России информирует, что в 2019 году стартовал IX Всероссийский Фестиваль науки «NAUKA 0+» — крупнейший научно-популярный проект в области науки и технологии, который проводится в России с 2006 года.
Организатором Всероссийского Фестиваля науки выступает Минобрнауки России при поддержке Минпросвещения России, МГУ им. М.В. Ломоносова, Правительства города Москвы и РАН.
Фестиваль науки рассчитан на самую широкую аудиторию. Главная идея — популяризация науки в обществе, привлечение внимания к деятельности учёных и преподавателей, повышение интереса к научным достижениям и исследовательским работам, вовлечение молодёжи в науку, а также развитие научного творчества среди школьников и студентов.
Основная тема Фестиваля науки 2019 года приурочена к празднованию Международного года Периодической таблицы химических элементов. Такое решение было принято по итогам заседания Оргкомитета Фестиваля науки, прошедшего 26 декабря 2018 года в Минобрнауки России.
В этом году Всероссийский Фестиваль науки продолжает приём работ на бесплатные конкурсы, нацеленные на развитие самостоятельной творческой и исследовательской деятельности молодёжи. Конкурсы позволяют выявить талантливую молодёжь, которая сможет в дальнейшем проявить себя как в науке, так и в творчестве.
С более подробной информацией о конкурсах Фестиваля науки можно ознакомиться в прилагаемых материалах, а также на официальном сайте в разделе «Конкурсы». Вопросы по конкурсам можно направить по адресу konkurs@festivalnauki.ru.
Digital Science & Research Solutions
30.05.2019
С 1 июня по 31 октября 2019 года для сотрудников ИМХ РАН открыт тестовый доступ к платформе Digital Science & Research Solutions.
Результаты XII конкурса объектов интеллектуальной собственности на соискание премии Нижегородской области им. И.П. Кулибина
29.05.2019
Завершился XII конкурс объектов интеллектуальной собственности на соискание премии Нижегородской области им. И.П.Кулибина. По результатам конкурса ИМХ РАН награжден Дипломом за активную деятельность в сфере охраны интеллектуальной собственности в 2018 году.
В номинации «Лучшие изобретения года в сфере химии»:
- Дипломом за I место награжден патент РФ № 2612247 «Способ получения гибридного материала на основе многостенных углеродных нанотрубок с покрытием карбида титана» (А.М. Объедков, К.В. Кремлёв, С.Ю. Кетков, Б.С. Каверин, Н.М. Семёнов, Г.А. Домрачев);
- Дипломом за III место награжден патент РФ № 2618278 «Способ получения гибридного материала на основе многостенных углеродных нанотрубок, декорированных дистанционно разделенными кристаллическими наночастицами алюминия» (А.М. Объедков, К.В. Кремлёв, С.Ю. Кетков, Б.С. Каверин, Н.М. Семёнов, Г.А. Домрачев).
В ИМХ РАН открыты вакансии научных сотрудников
28.05.2019
Федеральное государственное бюджетное учреждение науки Институт металлоорганической химии им. Г.А. Разуваева Российской академии наук объявляет конкурс на замещение следующих вакантных должностей:
- научный сотрудник лаб. металлокомплексов с редокс-активными лигандами
к.х.н., две вакансии - научный сотрудник лаб. металлокомплексного катализа
к.х.н., одна вакансия
Для участия в конкурсе претендентам необходимо разместить свою заявку на портале вакансий. Срок подачи документов до 16:00 18 июня 2019 г. Дополнительная информация по телефону +7 831 462–65–71.
Доступ к свежим выпускам научных журналов РАН
22.05.2019
Научно-издательский совет РАН напоминает, что с начала прошлого года все научные журналы РАН размещаются в свободном доступе. В течение года с момента публикации все статьи в научных журналах можно просматривать, а по истечении года — скачивать.
Электронные версии свежих выпусков научных журналов РАН представлены на следующих сайтах:
- sciencejournals.ru — журналы по химии и наукам о материалах, наукам о жизни, по физике, энергетики, машиностроению, механике, и процессам управления;
- journals.eco-vector.com — журналы по наукам о Земле, а также «Вестник РАН» и «Доклады РАН».
На сайте elibrary.ru можно не только читать свежие выпуски научных журналов, но и архивные номера за 2008–2017 годы.
IV открытый конкурс научных работ молодых нижегородских учёных
17.05.2019
Поздравляем младшего научного сотрудника ИМХ РАН Алёну Алексеевну Локтеву с получением Диплома II степени IV открытого конкурса научных работ молодых нижегородских учёных в области физики, химии и технологии наноструктур и элементов наноэлектроники в номинации работ, выполненных молодыми учёными, не имеющими учёной степени.
II Всероссийский химический диктант
08.05.2019
В 2019 году периодическому закону Дмитрия Менделеева исполняется 150 лет! В честь великого открытия этот год объявлен Международным годом Периодической таблицы химических элементов. Ярким мероприятием, приуроченным к знаменательному событию, станет ежегодный Всероссийский химический диктант, который в этом году пройдет 18 мая. Главная цель диктанта — продемонстрировать школьникам и взрослым, насколько значима и интересна наука!
Приглашаем всех желающих принять очное участие во Всероссийском химическом диктанте на площадке химического факультета ННГУ им. Н.И. Лобачевского. Номер площадки 1206, название площадки — Химический факультет ННГУ, адрес площадки: Нижегородская область, Нижний Новгород, пр. Гагарина, 23, корпус 2, зал научных демонстраций. Для участия необходима регистрация на сайте.
В ходе диктанта участникам предстоит проверить свои знания в области химии и ответить на 25 увлекательных вопросов за 45 минут. Каждый вопрос тестового задания демонстрируют роль и значение химии в жизни современного человека и общества, показывают химическую природу окружающего мира, поэтому, чтобы ответить правильно, специальные химические знания не требуются.
График работы площадки:
- 12:30 — начало работы площадки;
- 12:30–13:00 — сбор, регистрация участников и выдача бланков участников Диктанта;
- 13:00–13:15 — инструктаж по заполнению бланков для написания заданий;
- 13:15–14:00 — написание Диктанта;
- 14:00–14:30 — сбор заполненных бланков для написания Диктанта;
- 14:30 — закрытие площадки.
«Наконец-то XXI век вступил в пору своего совершеннолетия, которое начинается со знаменательного в истории мировой науки события – Международного года Периодической таблицы химических элементов, основателем которой является наш соотечественник Дмитрий Иванович Менделеев. Именно образование и наука – национальные достояния России. И в этом году мы, совместно с корпорацией «Российский учебник» и Ассоциацией учителей и преподавателей химии, проведем II Всероссийский химический диктант, чтобы продемонстрировать ребятам и взрослым, насколько замечательна и многогранна наука химия», – президент химического факультета МГУ, академик РАН Валерий Лунин.
Подробная информация о конкурсе доступна на сайте: химдиктант.рф.
Доклад директора ИМХ РАН о результатах работы в 2018 году
16.04.2019
16 апреля 2019 года сотрудники Института металлоорганической химии им. Г.А. Разуваева РАН заслушали доклад директора ИМХ РАН чл.-корр. РАН Игоря Леонидовича Федюшкина о результатах работы Института в 2018 году.
Поздравляем победителей конкурса РНФ для отдельных научных групп
01.04.2019
На конкурс «Проведение фундаментальных научных исследований и поисковых научных исследований отдельными научными группами» поступило более трёх с половиной тысяч заявок. По результатам отбора было принято решение о поддержке 681 проекта. В числе победителей три проекта ИМХ РАН:
- д.х.н. Александр Николаевич Корнев
Диазадифосфапенталены: от нековалентных взаимодействий до реагентов для органического синтеза и строительных блоков для материалов молекулярной электроники - чл.-корр. РАН, д.х.н. Игорь Леонидович Федюшкин
Металл-органические координационные полимеры с редоксактивными дииминовыми фрагментами - чл.-корр. РАН, д.х.н. Владимир Кузьмич Черкасов
Твердофазная редокс-изомерия в о-семихиноновых комплексах кобальта и родия. Термо-(фото)-механический эффект
Размер каждого гранта составит шесть миллионов рублей ежегодно. Проекты будут реализовываться в 2019–2021 годах.
Завершён конкурс на замещение вакантных должностей научных работников
28.03.2019
28 марта 2019 года в ИМХ РАН был проведен конкурс на замещение вакантных должностей научных работников. По решению конкурсной комиссии должность старшего научного сотрудника избран Михаил Владимирович Москалёв (лаборатория лиганд-промотируемых реакций).
Информация о результатах деятельности и об использовании имущества ИМХ РАН
12.03.2019
Опубликована информация о результатах деятельности и об использовании имущества ФГБУН Института металлоорганической химии им. Г.А. Разуваева РАН.
В ИМХ РАН открыты вакансии научных сотрудников
06.03.2019
Федеральное государственное бюджетное учреждение науки Институт металлоорганической химии им. Г.А. Разуваева Российской академии наук объявляет конкурс на замещение следующих вакантных должностей:
- старший научный сотрудник, к.х.н.
одна вакансия
Для участия в конкурсе претендентам необходимо разместить свою заявку на портале вакансий scienceid.net. Срок подачи документов до 27 марта 2019 г. (16:00). Дополнительная информация по телефону +7 (831) 4626571.
Министр науки и высшего образования РФ Михаил Котюков выразил соболезнования в связи с уходом из жизни Жореса Алферова
04.03.2019
Министр науки и высшего образования РФ Михаил Котюков выразил соболезнования в связи с уходом из жизни Жореса Алферова:
«Сегодня мы получили печальную новость об уходе из жизни выдающегося деятеля современности — Нобелевского лауреата, академика РАН, Жореса Алферова. От имени Министерства науки и высшего образования Российской Федерации и от себя лично выражаю глубочайшее соболезнование родным и близким, коллегам и друзьям Жореса Ивановича. Это невосполнимая потеря для общества. Уникальный учёный, активный общественный и политический деятель, благотворитель и неравнодушный к судьбе своей страны человек, Жорес Алферов стал примером преданности науке для тысяч исследователей. Его труды, изобретения и разработки позволили советской и российской науке выйти на качественно новый уровень. Жорес Иванович был идейным вдохновителем и создателем Санкт-Петербургского Академического университета Российской академии наук. Своей энергией и опережающими время идеями воодушевлял молодёжь на новые научные поиски и прорывы. Его непревзойдённые лидерские качества, мудрость, способность к предвидению, отеческая забота об учениках всегда будут для нас примером. Сегодня Россия и весь мир потеряли великого человека и великого ученого».
Доступ к журналам «Наука»
02.03.2019
Журналы издательства «Наука» сейчас доступны на следующих ресурсах:
- На сайте sciencejournals.ru в свободном доступе находятся некоторые журналы за 2018 и 2019 год.
- На сайте ras.jes.su в свободном доступе находятся некоторые журналы за 2018 год.
- На сайте eLibrary доступны некоторые журналы издательства «Наука» за 2012–2017 года и отдельные номера предыдущих лет.
Завершён конкурс на замещение вакантных должностей научных работников
21.02.2019
21 февраля 2019 года в ИМХ РАН был проведен конкурс на замещение вакантных должностей научных работников. По решению конкурсной комиссии на должность ведущего научного сотрудника избран:
- Андрей Игоревич Поддельский
Лаборатория поисково-прикладных исследований
На должности старшего научного сотрудника избраны:
- Александр Геннадьевич Морозов
Лаборатория поисково-прикладных исследований - Валентин Михайлович Макаров
Лаборатория лиганд-промотируемых реакций
На должности научного сотрудника избраны:
- Данила Александрович Разборов
Лаборатория поисково-прикладных исследований - Ольга Викторовна Казарина
Лаборатория поисково-прикладных исследований - Светлана Алексеевна Лермонтова
Лаборатория поисково-прикладных исследований - Вадим Евгеньевич Гальперин
Лаборатория поисково-прикладных исследований - Елена Александровна Рычагова
Лаборатория строения металлоорганических и координационных соединений
На должности младшего научного сотрудника избраны:
- Татевик Артюшевна Егиазарян
Лаборатория поисково-прикладных исследований - Александра Валерьевна Шеянова
Лаборатория поисково-прикладных исследований - Дарья Алексеевна Лукина
Лаборатория поисково-прикладных исследований - Татьяна Сергеевна Копцева
Лаборатория поисково-прикладных исследований - Владимир Валерьевич Юдин
Лаборатория поисково-прикладных исследований - Александр Владимирович Шишулин
Лаборатория поисково-прикладных исследований - Светлана Юрьевна Бухвалова
Лаборатория поисково-прикладных исследований - Татьяна Вадимовна Астафьева
Лаборатория поисково-прикладных исследований - Эльнара Ринатовна Жиганшина
Лаборатория поисково-прикладных исследований
Поздравляем Михаила Николаевича Бочкарёва с Юбилеем!
12.02.2019
12 февраля 2019 года исполняется 80 лет со дня рождения и 60 лет научной деятельности ведущему научному сотруднику, доктору химических наук, заслуженному деятелю науки Российской Федерации Михаилу Николаевичу Бочкарёву.
Михаил Николаевич внёс существенный вклад в развитие Института металлоорганической химии им. Г.А. Разуваева. Им создана всемирно известная школа по изучению комплексов редкоземельных элементов, подготовлены десятки специалистов в области органической и элементоорганической химии.
Поздравляем!
Программа конференции «V Российский день редких земель»
30.01.2019
На сайте конференции «V Российский день редких земель», которая пройдёт в ИМХ РАН 14–15 февраля 2019 года, опубликована программа конференции.
В ИМХ РАН открыты вакансии научных сотрудников
29.01.2019
ИМХ РАН объявляет конкурс на замещение следующих вакантных должностей:
-
- ведущий научный сотрудник, д.х.н.
одна вакансия - старший научный сотрудник, к.х.н.
две вакансии - научный сотрудник, к.х.н.
шесть вакансий - младший научный сотрудник
девять вакансий
- ведущий научный сотрудник, д.х.н.
Для участия в конкурсе претендентам необходимо разместить свою заявку на портале вакансий учёные-исследователи.рф. Срок подачи документов до 19 февраля 2018 года (16:00). Дополнительная информация по телефону +7 (831) 462–6571.
Новогоднее поздравление Министра науки и высшего образования РФ Михаила Котюкова руководству и сотрудникам ИМХ РАН
28.12.2018
Уважаемые коллеги!
От имени Министерства науки и высшего образования Российской Федерации и от себя лично поздравляю Вас с наступающим Новым 2019 годом!
Провожать старый год традиционно принято подведением итогов. Встречать наступающий — планами и ожиданиями. 2019 год обещает быть насыщенным событиями. Мы с вами включаемся в реализацию амбициозных национальных проектов «Наука» и «Образование». Наша цель — лидерские позиции России в мировом научно-технологическом развитии, устойчивый рост экономики и реальные результаты внедрения научных достижений в жизнь россиян. Предстоит большая работа, но российская наука способна обеспечить выполнение поставленных задач.
От всей души желаю Вам и Вашим близким в наступающем Новом году крепкого здоровья, мира, добра и счастья! Пусть год будет богат на открытия, победы и достижения во имя благополучия и процветания России!
Михаил Котюков,
Министр науки и высшего образования Российской Федерации
Поздравляем аспиранта Романа Румянцева с получением стипендии Правительства РФ!
25.12.2018
В соответствии с приказом Минобрнауки № 1193 от 19 декабря 2018 года «О назначении стипендий Правительства Российской Федерации студентам и аспирантам, обучающимся по очной форме в государственных организациях, осуществляющих образовательную деятельность по образовательным программам высшего образования, находящихся в ведении Министерства науки и высшего образования Российской Федерации, на 2018/19 учебный год» в связи с отличными результатами аспиранту четвёртого года подготовки очной формы обучения Роману Валерьевичу Румянцеву назначена стипендия Правительства Российской Федерации на 2018/19 учебный год.
Поздравляем аспиранта Владимира Додонова с получением стипендии Президента РФ!
24.12.2018
В соответствии с приказом Минобрнауки № 1127 от 11 декабря 2018 года «О назначении стипендий Президента Российской Федерации студентам и аспирантам, осваивающим образовательные программы высшего образования в организациях, осуществляющих образовательную деятельность, находящихся в ведении Министерства науки и высшего образования Российской Федерации, а также о назначении стипендий Президента Российской Федерации студентам, осваивающим образовательные программы высшего образования в частных организациях, осуществляющих образовательную деятельность, на 2018/19 учебный год» в связи с отличными результатами и досрочной защитой кандидатской диссертации аспиранту четвёртого года подготовки очной формы обучения Владимиру Алексеевичу Додонову назначена стипендия Президента Российской Федерации на 2018/19 учебный год.
Завершён конкурс на замещение должностей научных работников
20.12.2018
20 декабря 2018 года в ИМХ РАН был проведен конкурс на замещение вакантных должностей научных работников. По решению конкурсной комиссии на должность ведущего научного сотрудника избран:
- Виктор Борисович Федосеев (лаб. ФППМ)
На должности младшего научного сотрудника избраны:
- Нина Александровна Леньшина (лаб. ФППМ)
- Алёна Алексеевна Локтева (лаб. ФППМ)
- Светлана Викторовна Барышникова (лаб. МРАЛ)
Нанотехнологии — прорыв в будущее!
19.12.2018
XIII Всероссийская Интернет-олимпиада по нанотехнологиям «Нанотехнологии — прорыв в будущее!» продолжает традиции олимпиады, проводимой с 2007 года. Ежегодно в олимпиаде принимают участие около 10 000 школьников, студентов, аспирантов, молодых ученых, учителей. Организаторами Олимпиады выступают Московский государственный университет имени М.В. Ломоносова и Фонд инфраструктурных и образовательных программ.
На протяжении нескольких лет Олимпиада по нанотехнологиям является олимпиадой первого (высшего) уровня из списка Российского совета олимпиад школьников, что предоставляет абитуриентам из Российской Федерации и ряда стран СНГ возможность поступления в университеты Российской Федерации на льготных условиях. XIII Олимпиада внесена в перечень РСОШ олимпиад школьников на 2018/19 учебный год под номером 7 и имеет первый уровень по четырем предметам: химия, физика, математика, биология.
Олимпиада включает ряд конкурсов, которые позволят любому участнику в максимальной степени проявить свои силы, знания, опыт и творческие способности. Большинство конкурсов проводятся в два этапа: заочный (отборочный Интернет-тур) и очный.
Основной, теоретический тур олимпиады для школьников, проводится по комплексу предметов – химия, физика, математика и биология. Отдельно проводится конкурс проектных работ школьников – «Гениальные мысли». Для самых маленьких школьников предусмотрен конкурс «Юный эрудит».
Для студентов, аспирантов, молодых ученых, учителей и преподавателей организован конкурс научно-популярных статей «Просто о сложном», в котором предлагается изложить простым языком материалы своих научных статей в высокорейтинговых журналах, и конкурс тьюторов, который позволит отобрать научно-исследовательские проекты для реализации школьниками.
Дополнительно для студентов старших курсов проводится Всероссийский этап олимпиады по нанотехнологиям, победители которого смогут принять участие в международной студенческой олимпиаде по нанотехнологиям в составе команды Российской Федерации.
Все победители и призеры Олимпиады получат официальные дипломы, ценные призы и подарки.
Участие в Олимпиаде на всех стадиях бесплатное.
Компания Clarivate Analytics предлагает воспользоваться свободным доступом к базе Russian Science Citation Index
12.12.2018
С 12 по 29 декабря доступ к RSCI будет открыт для всех государственных научных и научно-образовательных организаций Российской Федерации. Для получения доступа не нужно оформлять специальных заявок – достаточно зайти на платформу Web of Science и выбрать Russian Science Citation Index из списка доступных баз данных.
На текущий момент в базе содержатся почти полмиллиона записей из российских журналов, причем существенную долю составляют публикации из общественно-гуманитарных журналов (больше 30%). Вся информация в базе RSCI представлена на двух языках – русском и английском, поэтому только в этой базе можно делать запросы на русском языке. Рекомендации по поиску можно найти в разделе «Справка» и непосредственно под поисковой строкой, перейдя по ссылке «поиск на русском языке».
Напоминаем, что с начала этого года всем пользователям доступен бесплатный инструмент Kopernio, который предоставляет доступ к абсолютно легальным полным текстам статей, находящимся на различных платформах в открытом доступе в интернете. Установить Kopernio можно здесь, что позволит находить и читать статьи, работая с базой RSCI и всеми базами на платформе Web of Science.
Мы надеемся, что свободный доступ к RSCI позволит российским ученым и исследователям узнать о лучших публикациях российских авторов, цитируемых во всем мире, и познакомиться с текстами этих статей. К примеру, можно найти самые влиятельные публикации русскоязычных авторов в области ботаники или экономики, сделать отчет по собственным публикациям в RSCI и проанализировать, как ваши работы упоминаются в работах других исследователей в России и мире.
Кроме того, мы будем рады, если доступ к RSCI поможет представителям организаций быстро и корректно заполнить итоговую отчетную документацию для Министерства науки и высшего образования.
Более подробную информацию о базе Russian Science Citation Index, ее задачах и этапах ее развития можно прочитать на сайте Clarivate Analytics или на сайте РАН.
Кластер конференций на теплоходе «Михаил Фрунзе»
10.12.2018
С радостью сообщаем, что 16–21 сентября 2019 года ИМХ РАН проводит кластер международных конференций “Topical Problems of Modern Chemistry” на комфортабельном теплоходе «Михаил Фрунзе»:
- International conference “Organometallic Chemistry Around the World”
(VII Razuvaev Lectures) - XVIII International Conference on Chemistry and Physical Chemsitry of Oligomers
- Russian-Chinese Workshop on Coordination and Supramolecular Chemistry
В ИМХ РАН открыты вакансии научных сотрудников
24.11.2018
Федеральное государственное бюджетное учреждение науки Институт металлоорганической химии им. Г.А. Разуваева Российской академии наук объявляет конкурс на замещение следующих вакантных должностей:
- ведущий научный сотрудник, д.х.н.
одна вакансия
Для участия в конкурсе претендентам необходимо разместить свою заявку на портале вакансий ученые-исследователи.рф. Срок подачи документов до 14 декабря 2018 г. Дополнительная информация по телефону +7 (831) 4626571.
Планируемые мероприятия в 2019 году
21.11.2018
Учёным советом ИМХ РАН принято решение о проведении в 2019 году двух научных мероприятий:
- Конференция «V Российский день редких земель» (февраль 2019 года);
- Кластер конференций по актуальным проблемам химии (сентябрь 2019 года).
Конкурсная комиссия ИМХ РАН по закупкам
29.01.2018
В соответствии с ФЗ №223 от 18 июля 2011 года и ФЗ №44 от 5 апреля 2013 года для проведения конкурсных процедур по закупкам утверждена единая конкурсная комиссия в следующем составе:
Председатель комиссии:
зам. директора по общим вопросам
Б.И. Петров
контрактный управляющий
Секретарь комиссии: в.н.с. О.В. Кузнецова
Члены комиссии:
- главный инженер Д.А. Данилов
- в.н.с. С.А. Чесноков
- помощник руководителя И.Л. Василевская
Дополнительное соглашение к трудовому договору научных работников
04.12.2017
Решением Учёного совета ИМХ РАН рекомендовано принять текст Дополнительного соглашения к трудовому договору научных работников ИМХ РАН, разработанному Администраций Института, в связи с переходом на «эффективный контракт».
Эффективный контракт
01.11.2017
1 ноября 2017 года состоялось очередное заседание Учёного совета ИМХ РАН. В ходе заседания были обсуждены некоторые вопросы внутренней жизни Института, в частности, подготовка к переводу сотрудников института на «эффективный контракт».
Отчёт научного сотрудника к.х.н. С.В. Клементьевой
16.10.2017
16 октября 2017 года состоялось очередное заседание Учёного совета ИМХ РАН. На заседании был заслушан отчёт научного сотрудника лаборатории ОПНМ к.х.н. С.В. Клементьевой о выполнении работы по календарному плану проекта по стипендии Президента Российской Федерации.
В ходе обсуждения презентации С.В. Клементьевой члены Учёного совета отметили, что никакие экспериментальные работы в соответствии с планом в 2017 году автором проведены не были, а представленные данные о синтезе, структуре соединений были получены до начала выполнения проекта по стипендии Президента Российской Федерации. В результате тайного голосования из 16 членов Учёного совета 13 человек проголосовали о невыполнении С.В. Клементьевой календарного плана 2017 года, два члена проголосовали «за», один — воздержался. Данная информация направлена в Министерство образования и науки Российской Федерации.



